1/21
Looks like no tags are added yet.
Name | Mastery | Learn | Test | Matching | Spaced |
|---|
No study sessions yet.
A. What does it mean for a sequence to be monotonic?
B. What does it mean for a sequence to be bounded?
C. If the question just asks if the sequence is bounded, what should you find first to make the problem easier?
D. T or F: If a sequence isn’t monotonic, it’s also not bounded
A. If the sequence is always increasing or decreasing
B. There are two numbers (one at the top and one at the bottom) where the sequence’s values will never go beyond
C. First find it the sequence is monotonic and if it is, use that information to help you find if its bounded
D. False
What is the Monotonic Sequence Theorem?
If a sequence is monotonic and bounded, it is convergent

Determine if the sequence is convergent or divergent


Determine if the sequence is convergent or divergent


Determine if the sequence is convergent or divergent


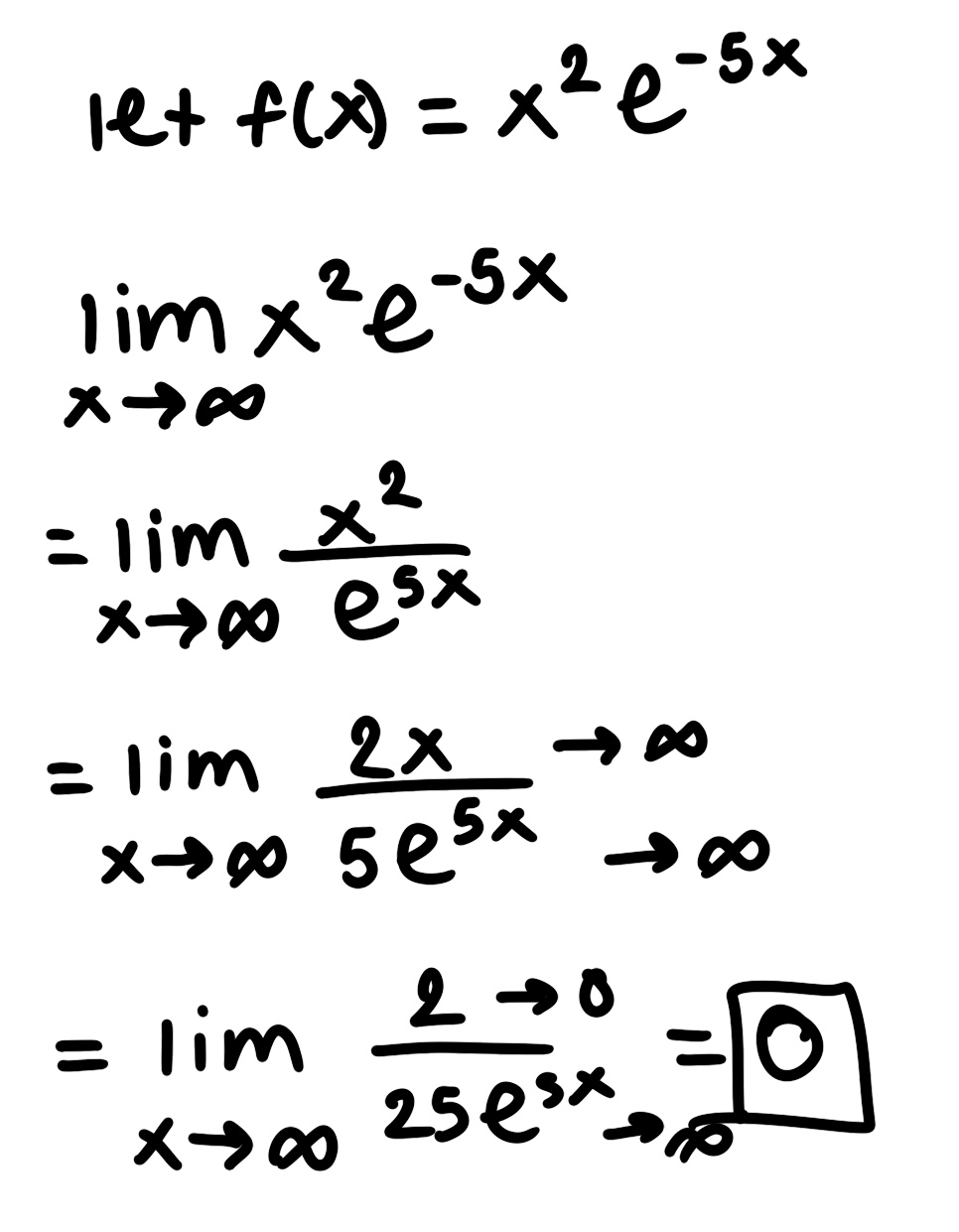
Determine if the sequence is convergent or divergent


Determine if the sequence is convergent or divergent


Determine if the sequence is convergent or divergent


Determine if the sequence is convergent or divergent


Determine if the sequence is convergent or divergent


Determine if the sequence is convergent or divergent


Determine if the sequence is convergent or divergent


Determine if the sequence is convergent or divergent


Determine if the sequence is convergent or divergent


Also determine if the sequence is convergent or divergent
This sequence is convergent because it is monotonic and bounded, by the Monotonic Sequence Theorem


Also determine if the sequence is convergent or divergent
This sequence is convergent because it is monotonic and bounded, by the Monotonic Sequence Theorem


Determine if the sequence is convergent or divergent


Determine if the sequence is convergent or divergent (your answer should match how it looks in notebook)


Determine if the sequence is convergent or divergent


Determine if the sequence is convergent or divergent


Determine if the sequence is convergent or divergent


