1/79
Name | Mastery | Learn | Test | Matching | Spaced | Call with Kai |
|---|
No analytics yet
Send a link to your students to track their progress

























two forms


3 forms





















\int\dfrac{dx}{\sin²x \cos²x}
\tan x-\cot x +c
\int \sec²x\csc²x\ dx
=\int \sec²x+\csc²x\ dx
=\tan x - \cot x +c
What is the differentiation of \int_{g(x)}^{f(x)}h(t)\ dt?
h(f(x))(f’(x))-h(g(x))(g’(x))
\int\dfrac{f’(x)}{f(x)}dx
\ln|f(x)|+c
\int g(x)\sqrt{f(x)}\ dx where f(x) is a linear function
What do you take as t?
t= \sqrt{f(x)}
t²=f(x)
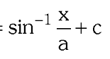
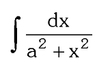
What substitution do you use for a²+x²?
x=a\tan\theta
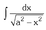
What substitution do you use for a²-x²?
x=a\sin\theta
or
x=a\cos\theta
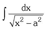
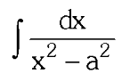
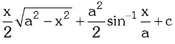
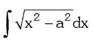
What substitution do you use for x²-a²?
x=a\sec\theta
What substitution do you use for a+x or a-x?
x=a\cos2\theta

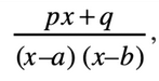
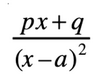
convert to partial fractions


convert to partial fractions


convert to partial fractions


convert to partial fractions


convert to partial fractions
(x²+bx+c has imaginary roots)

How do you integrate a function where \dfrac{f(x)}{g(x)} and the order of f(x) is greater than or equal to order of g(x)?
Divide f(x) by g(x) and then separate into fractions, then use partial fractions / perfect square method
How will you factorize a 1/quadratic form where the quadratic is NOT factorisable?
turn the quadratic into a perfect square, then use substitution. Then use one of the given formulae.
How will you factorize a linear/quadratic form where the quadratic is NOT factorisable?
Differentiation method
Use N=\lambda((D)’)+\mu to split the numerator into two.
for \dfrac{\lambda((D)’)}{D} use substitution t=D and for \dfrac{\mu}{D} use perfect square method
How do you integrate a linear function L that is wholly under square root (whether in numerator or denominator)?
Use substitution L=t²
How do you integrate a Quadratic function \dfrac{1}{\sqrt{Q}} ?
do perfect square method
How do you integrate a Linear by Quadratic function \dfrac{L}{\sqrt{Q}} ?
Use differentiation method then perfect square
How would you integrate a quadratic under square root \sqrt{Q}?
Use perfect square, then a given formula
How would you integrate a quadratic under square root multiplied by a linear or quadratic function L\sqrt{Q} or Q\sqrt{Q}?
Use differentiation method, and then for the first one use substitution and for the second term use perfect square and formula
Q_1=\lambda(Q_2)+\mu((Q_2)’)+\sigma
How would you integrate a quadratic over root quadratic \dfrac{Q}{\sqrt{Q}}?
Use differentiation method, and then for the first one use substitution and for the second term use perfect square and formula
Q_1=\lambda(Q_2)+\mu((Q_2)’)+\sigma
How do you integrate a trigonometric function that is raised to an even power?
Use double-angle formula for square, convert others into powers of the square
How do you integrate a trigonometric function that is raised to an odd power?
separate one term out to make (trig function)^{even power} x (trig function), convert to 1-(trig function)² type, then use that new one as substitution sorry i can’t explain
If two trigonometric functions are multiplied together and both have some power \neq 1, how do you integrate?
If both have odd powers, take any one of them out and solve
If only one of them has odd powers, take that one out and solve
If both of them have even powers, you’re unlucky. Convert to double-angles, multiply through.
How to integrate function where trigonometric ratios are multiplied together and have fractional powers?
try to make fractional powers whole number powers by multiplying and dividing with the right amount
sec²x and cosec²x desire to be dt carnally. got it?
yea
What’s the first step in integrating \int \dfrac{\sin2x}{\sin^4x+\cos^4x}dx?
convert \sin2x to 2\sin x \cos x
How would you integrate \int \sec³x\ dx?
=\int \sec²x\cdot \sec x\ dx
= \int \sec²x\cdot \sqrt{1+\tan²x}\ dt
How will you integrate forms like \dfrac{1}{a\sin²x+b\cos²x+c\sin x\cos x+d}?
divide through by \cos²x and simplify. sec²x will be dt.
How will you integrate when there is a trigonometric function with other constant term in denominator?
convert to half-angle form of tan. \sec²x will be dt.
How will you integrate when there is form \dfrac{1}{a\sin x+b\cos x}?
convert into \sin(A+B) and solve. final will be \frac12 \int\csc(A+B) dx.
How will you integrate when there is form \dfrac{1}{a\sin x+b\cos x + c}?
Convert them all into half angles like
\dfrac{1}{2a\tfrac{\tan\frac{x}{2}}{\sec²\frac{x}{2}} + b\tfrac{1-\tan²\frac{x}{2}}{sec²\frac{x}{2}} + c\tfrac{\sec²\frac{x}{2}}{\sec²\frac{x}{2}}}
How will you integrate \dfrac{p\sin x+q\cos x+r}{a\sin x + b\cos x+c} form?
differentiation method
N=\lambda(D)+\mu((D)’)+\sigma then it’s easy
how do you solve integrals that are in the form \int \dfrac{trig\ x}{trig\ (x-a)}dx?
let (x-a)=t then substitute to make
\int\dfrac{trig\ (t+a)}{trig\ t}dt
Then expand the compound angle and cancel
How will you integrate \dfrac{ae^x+be^{-x}}{ce^x+de^{-x}} form?
N=\lambda(D)+\mu((D)’)+\sigma
How will you integrate \dfrac{1}{trig_1(x-a)\ trig_2(x-b)} form?
if trig_1=trig_2 then multiply and divide by \sin(a-b) or \sin(b-a) depending on options, take denominator outside of integral, and expand numerator (\sin(a-b)=\sin((x-b)-(x-a)) and cancel
If trig_1\neq trig_2 then multiply and divide by \cos(a-b) or \cos(b-a) depending on options, take denominator outside of integral, and expand numerator (\cos(a-b)=\cos((x-b)-(x-a)) and cancel
when you see \int\dfrac{dx}{x^4+kx²+1} or \int\dfrac{x²\ dx}{x^4+kx²+1} then what form are you gonna convert it into to solve?
algebraic twins form
You have \int\dfrac{x²\pm 1\ dx}{x^4+kx²+1}, algebraic twins. What do you divide by next, then what substitutions do you take?
divide numerator and denominator by x².
use substitution x\mp \dfrac1x=t
square that thang for denominator
differentiate that thang for numerator
How do you convert \int\dfrac{dx}{ax^4+kx²+a} or \int\dfrac{x²\ dx}{ax^4+kx²+a} into algebraic twins?
multiply and divide by 2
for x², use x²+1+x²-1
for 1, use x²+1-x²+1
separate
How would you integrate \int\dfrac{x\ dx}{ax^4+kx²+a} ?
use substitution x²=t \implies x\ dx=dt/2
substitute, turn the denominator into a quadratic, solve easily
How would you integrate \int\dfrac{x³\ dx}{ax^4+kx²+a} ?
use substitution x²=t \implies x\ dx=dt/2
substitute, turn the denominator into a quadratic, solve easily
how do you solve \int\sqrt{\tan x}\ dx?
use substitution \sqrt{\tan x}=t then square both sides then differentiate to get
\sec²x\ dx=2tdt
then do 1+tan²x\ dx=2tdt, resubstitute t² in that then get dx=\dfrac{2tdt}{1+t^4}
substitute in integral
\int\dfrac{t\cdot 2tdt}{1+t^4} then solve using algebraic twins
How would you solve forms like \int\dfrac{dx}{(x-\alpha)^m(x-\beta)^n}, where m+n=2?
multiply and divide the denominator by the smaller of m and n, group, take whatever is left in fractional powers as t, differentiate substitution, substitute, blah
Integration By Parts formula 🗣
\int I\cdot II\ dx=I\int II\ dx - \int (\tfrac{dI}{dx}\int II\ dx)dx
What is the priority order for Integration By Parts 🗣
Also what does it mean
I → inverse functions
L → log
A → algebraic functions
T → trigonometric functions
E → exponential
It means the more easily-differentiable function should be I (that is the list) (WHAT ARE WORDS)
What is \int \ln x \ dx?
\int \ln x\ dx = x\ln x-x+c
How would you solve \int \sin^{-1}x\ dx?
integration by parts 🗣
How would you solve \int \tan^{-1}x\ dx?
use substitution \tan^{-1}x=t \implies x=\tan t \implies dx=\sec²t\ dt
substitute, then solve using integration by parts
What is \int e^x\big( f(x)+f’(x)\big) dx?
e^xf(x)+c
If you see \int e^x g(x)dx anything, what’s the first thing you do?
see if you can convert g(x) into some form of f(x)+f’(x).
How do you differentiate \dfrac{(f(x))²}{2}?
=f’(x)\big( f(x)\big)
chain rule
when you’re integrating something and there’s 1+x² in the denominator, what’s a safe bet to consider as t?
\tan^{-1}x=t

ok
check page 9 of notes
ok