1/31
Looks like no tags are added yet.
Name | Mastery | Learn | Test | Matching | Spaced |
|---|
No study sessions yet.
How is blood flow rate controlled?
In response to tissue demand for nutrients and oxygen
What determines blood flow rate?
Pressure gradient of blood between two ends of a vessel and resistance
Flow rate equation
F = ∆P/R
∆P in pulmonary circuit
Pressure in pulmonary arteries - pressure in pulmonary veins
∆P in systemic circuit
Pressure in aorta - pressure in vena cava
Bulk flow
Movement of fluid/gases from higher to lower pressure
Function of blood pressure
Adequate arterial blood pressure is essential to maintain blood flow
Atherosclerosis
thickening/hardening of arteries caused by buildup of plaque in the inner lining of artery
Laminar blood flow
Smooth and streamlined, quiet, parabolic flow
Parabolic flow
Velocity of flow at center of vessel is greater
Turbulent blood flow
Turbulent and disordered, audible sounds
Where can turbulent blood flow occur?
stenotic cardiac/venous valves that are abnormally narrowed
Arteries
Carry oxygenated blood from heart to organs
Veins
Carry deoxygenated blood from organs to heart
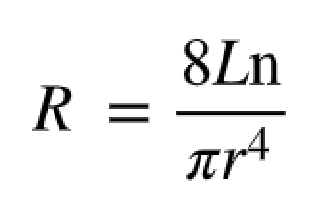
Poiseuille’s Law
R: resistance
L: Length of blood vessel
n: fluid viscosity
r: radius

Effect of radius on resistance
Smaller radius → more resistance
Factors affecting length of blood vessel
Obesity increases number of blood vessels and length
Blood viscosity
Thickness depends on amount of RBCs and proteins
Total peripheral resistance
Combined resistance of all blood vessels within systemic circuit
Arterioles
Connect arteries with capillaries
Venules
connect capillaries with veins
Compliance
How easily a lumen of a blood vessel expands when it is filled with a volume of blood
Compliance equation
∆Volume / ∆Pressure
Elastance
Tendency of blood vessels to recoil towards its original dimensions as blood pressure falls
Elastance equation
∆Pressure/∆Volume
Arteries properties
Elastic but not compliant
Veins properties
Compliant but not elastic
Venous return
Return of blood flow to right atrium
Factors affecting venous return
Blood volume, venous pressure, skeletal muscle pumps, venoconstriction
Respiratory pump
Inhalation causes contraction of intercostal muscles and diaphragm
How does respiratory pump pull blood to heart?
Pressure increases in abdominal cavity and decreases in thoracic cavity → creates pressure gradient
Exhalation
Relaxation of intercostal muscles and diaphragm