1/41
Looks like no tags are added yet.
Name | Mastery | Learn | Test | Matching | Spaced | Call with Kai |
|---|
No analytics yet
Send a link to your students to track their progress

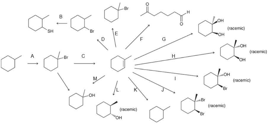
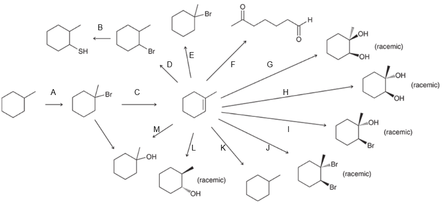
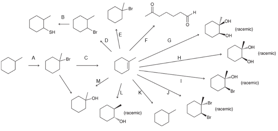
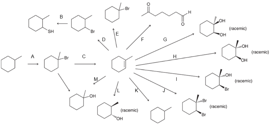
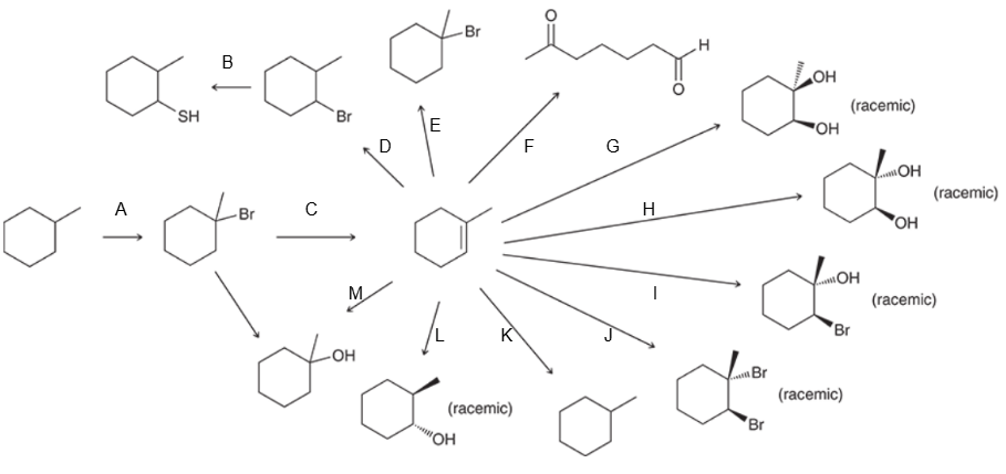
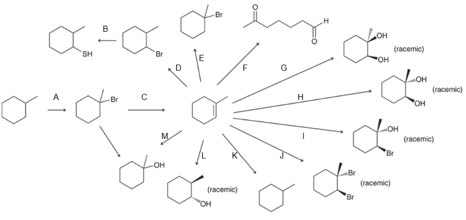
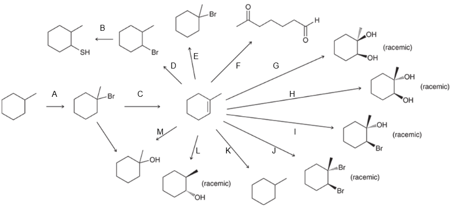
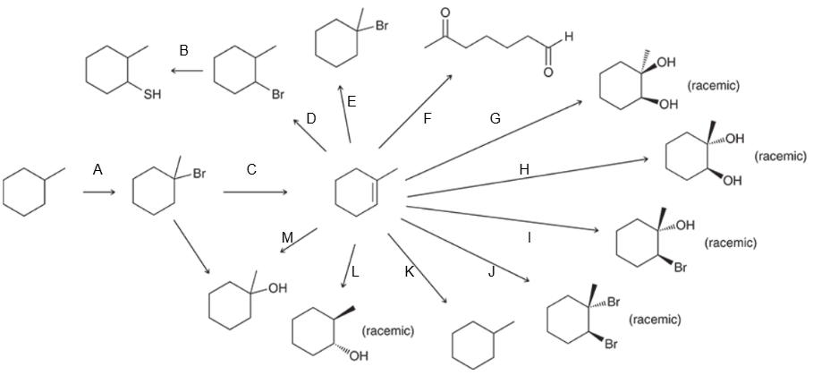
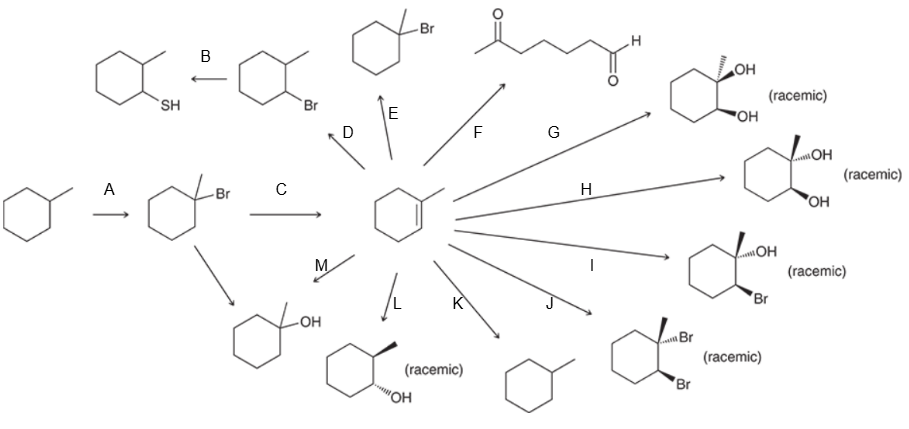
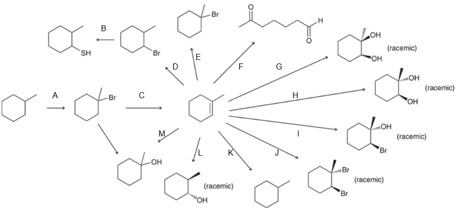
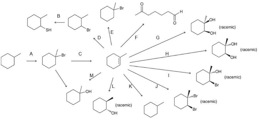
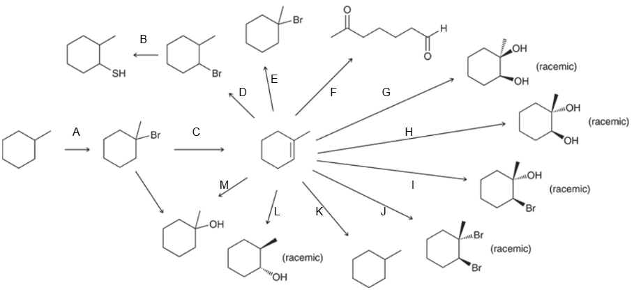
A
HBr / Hv

B
NaSH

C
NaOEt

D
HBr / ROOR

E
HBr

F
O3 / DMS

G
OSO4 / NMO

H
RCO3H / H3O

I
Br2 / H2O

J
Br2

K
H2 / Pt

L
BH3 THF / H2O2 NaOH

M

A
xs NaNH2 / H2O

B
HBr

C
H2SO4 / H2O * HgSO4

D
R2BH * THF / H2O2 * Na OH

E
NaNH2 / CH3I

F
xs NaNH2 / H2O

G
O3 / H2O

H
xs Br2

I
Br2

J
H2 / Lindlar’s Catalyst

K
H2 / Pt

L
Na / NH3

What reagent(s) will Reduce this to an Alcohol?
NaBH4 / MeOH (Protic Solvent)
1) LiAlH4 / 2) H3O+

What is the product(s) of this reaction?


What Reagent(s) are used in this reaction?

What are the reagent(s) to add a protecting group

What are the reagent(s) to remove a protecting group?
TBAF

What is the product(s) of this reaction?
What alcohol and reagent made this product?


What is the product(s) of this reaction?
What alcohol and reagent made this product?


What is the product(s) of this reaction?
What alcohol and reagent made this product?


What is the product(s) of this reaction?
What alcohol and reagent made this product?


What is the product(s) of this reaction?
What alcohol and reagent made this product?


What does oxidizing a secondary alcohol produce?
A ketone


What does oxidizing a Primary alcohol produce?
An Aldehyde and then a Carboxylic Acid

What reagent(s) produce a carboxylic Acid from a Primary alcohol

What reagent(s) produce an Aldehyde from a Primary Alcohol?


What is the product(s) of this reaction?
What Williams Reagents are needed to create this product?


What Alkoxymercuration-Demercuration reagents are needed for this reaction?
1) Hg(OAc)2, H2O / 2) NaBH4

What do you add to make this an Epoxide?
NaOH