1/22
Looks like no tags are added yet.
Name | Mastery | Learn | Test | Matching | Spaced | Call with Kai |
|---|
No analytics yet
Send a link to your students to track their progress

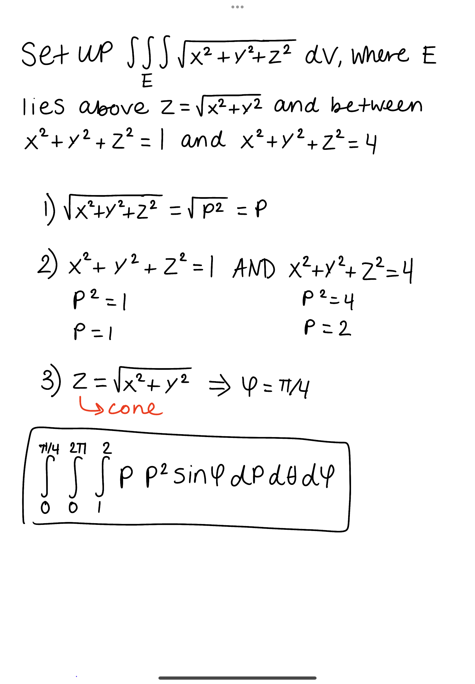
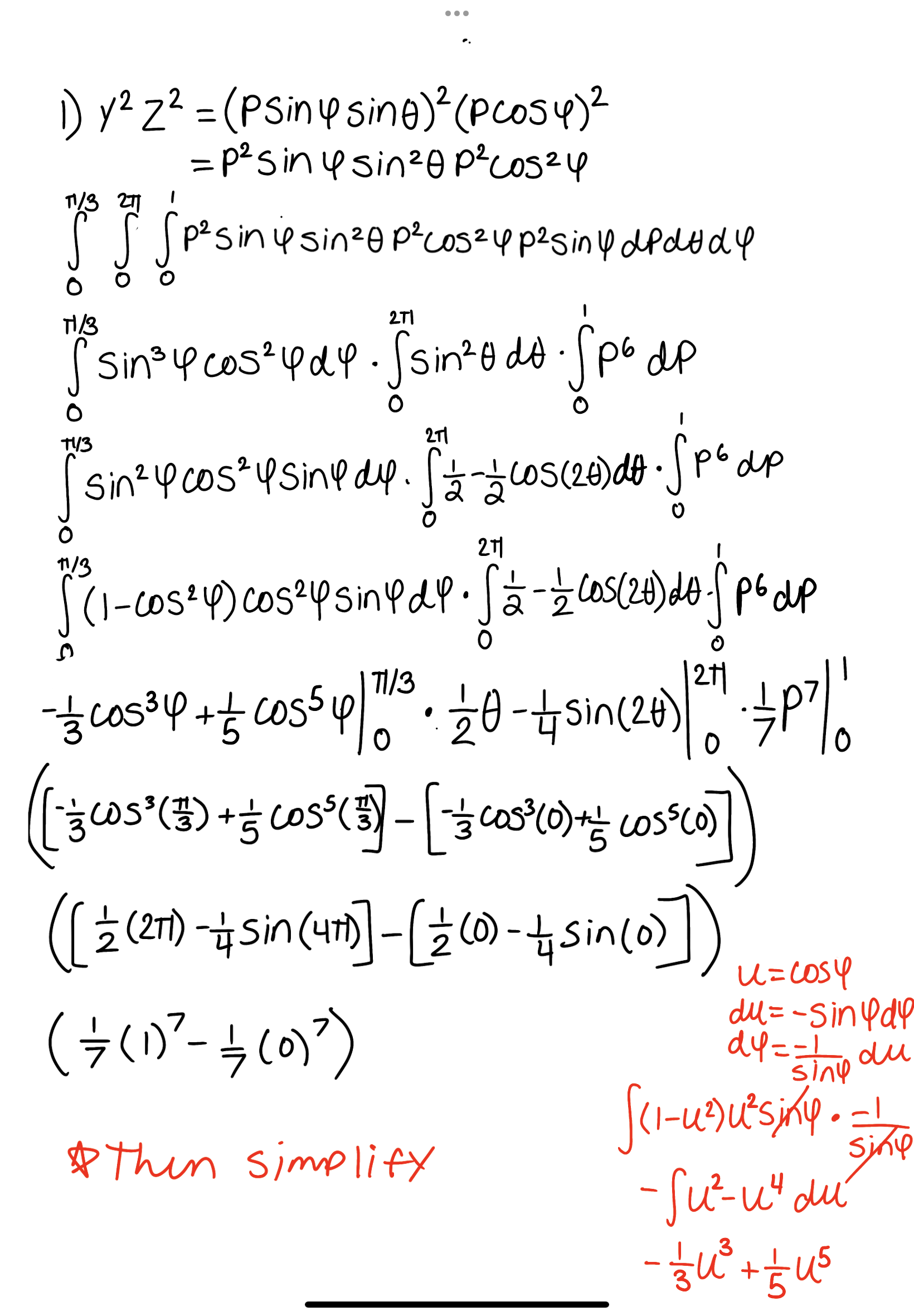
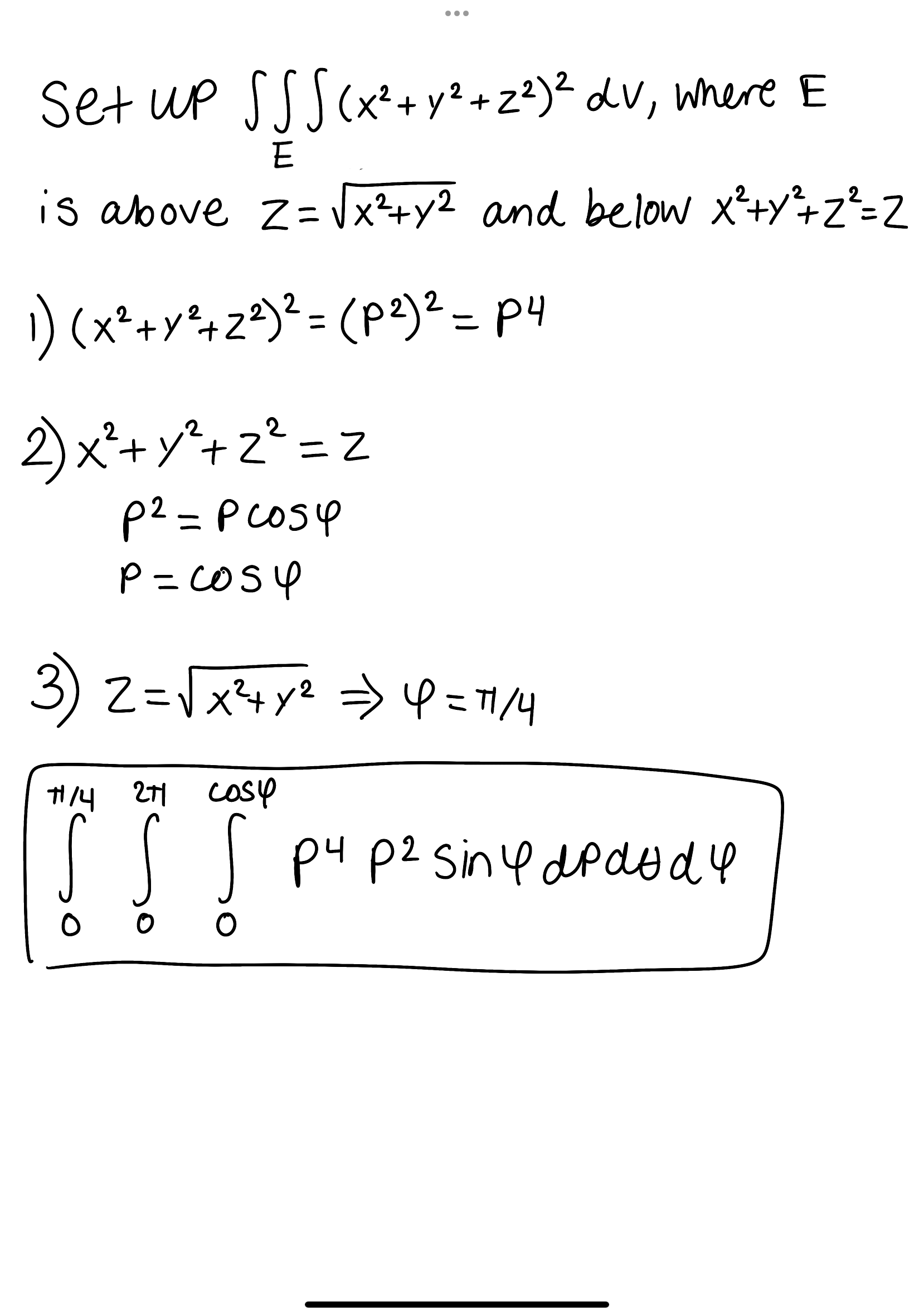
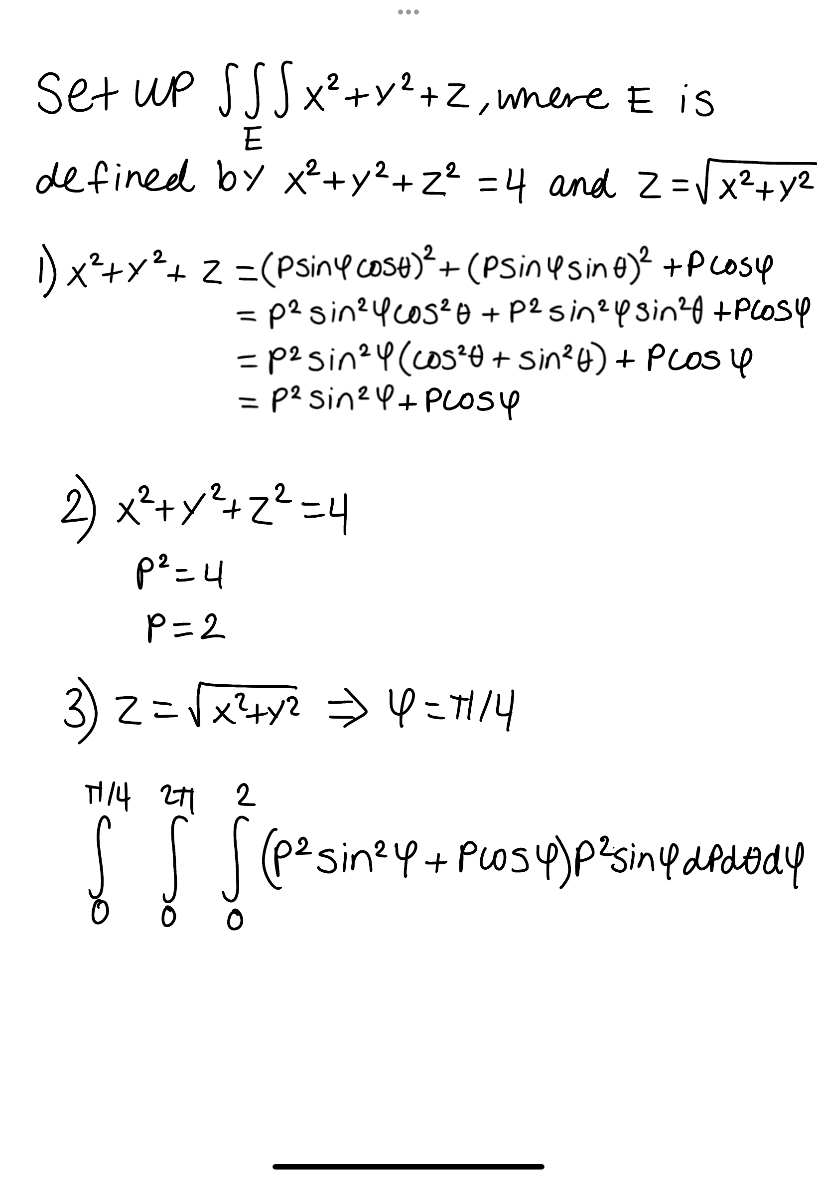
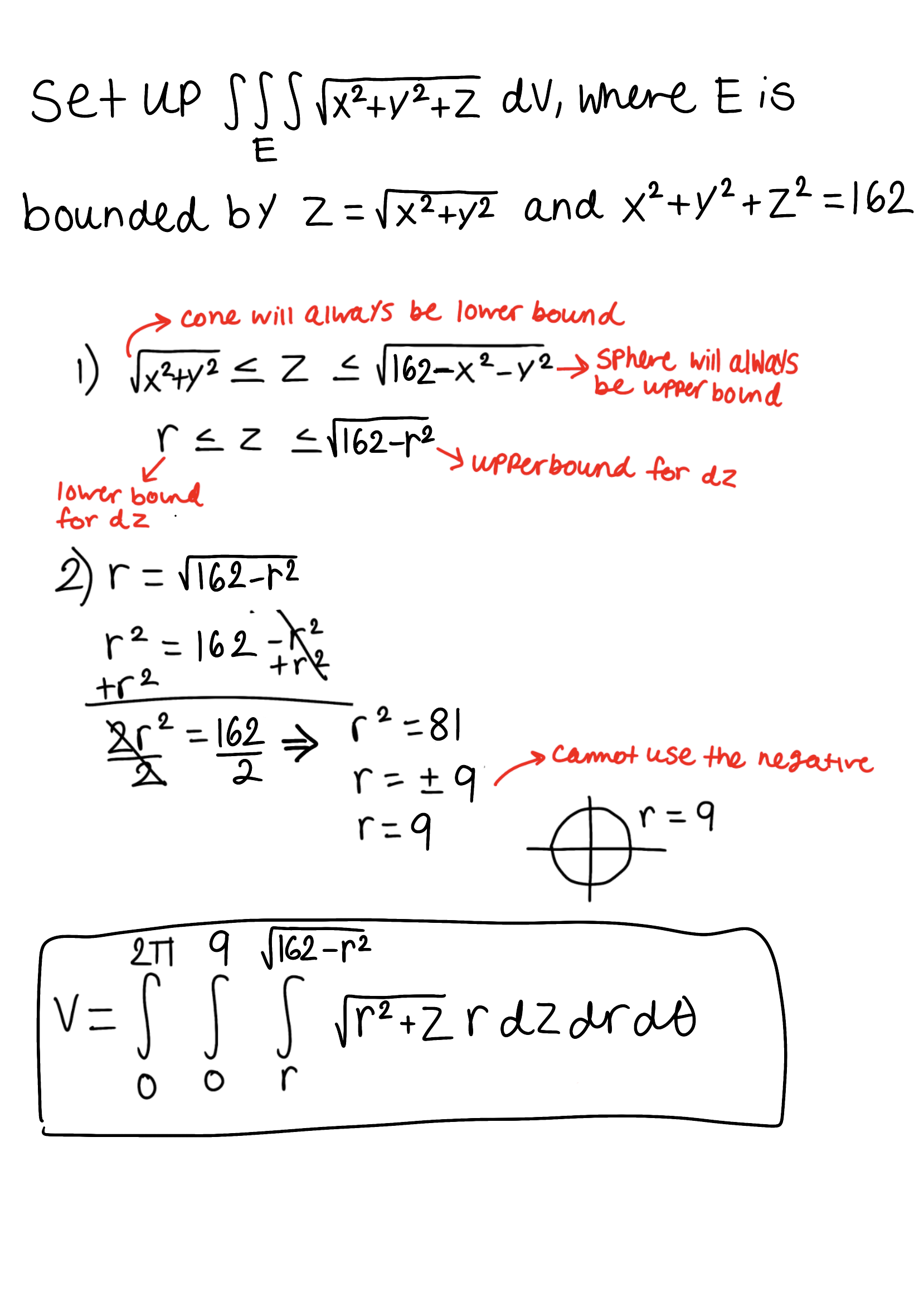
Spherical Coordinates


Spherical Coordinates


Spherical Coordinates


Spherical Coordinates


Spherical Coordinates






*

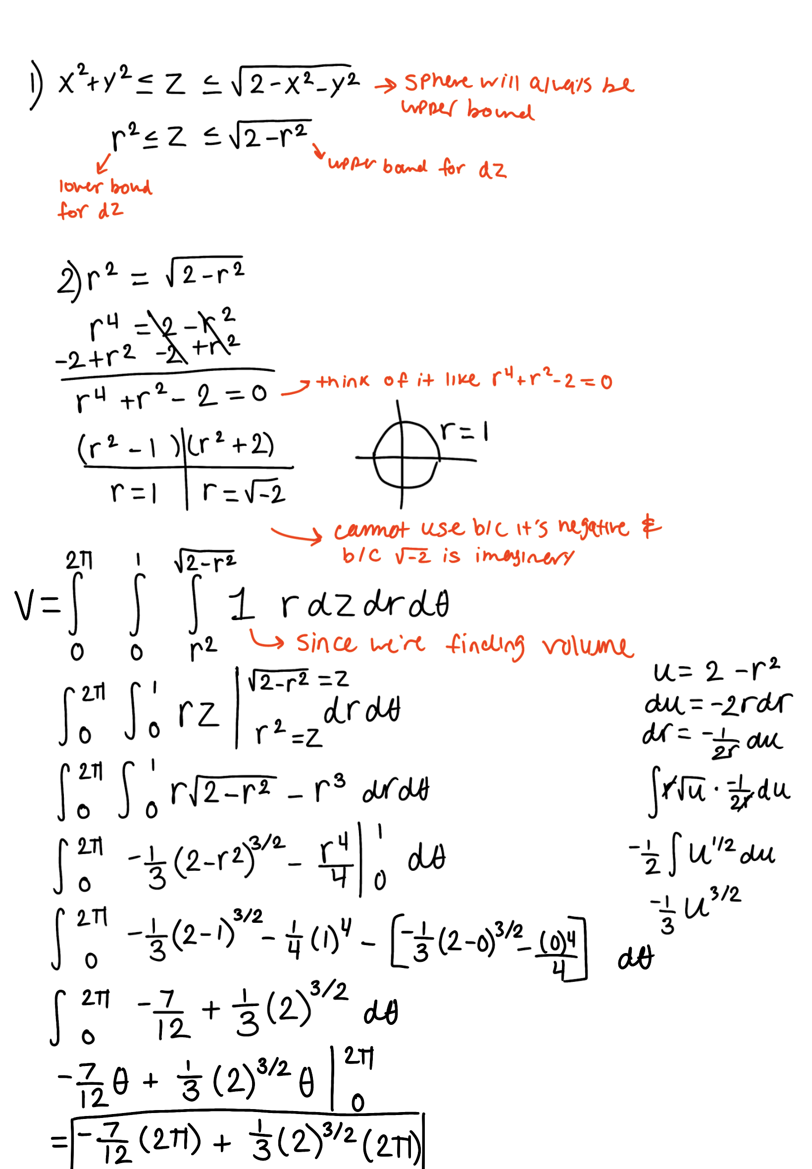
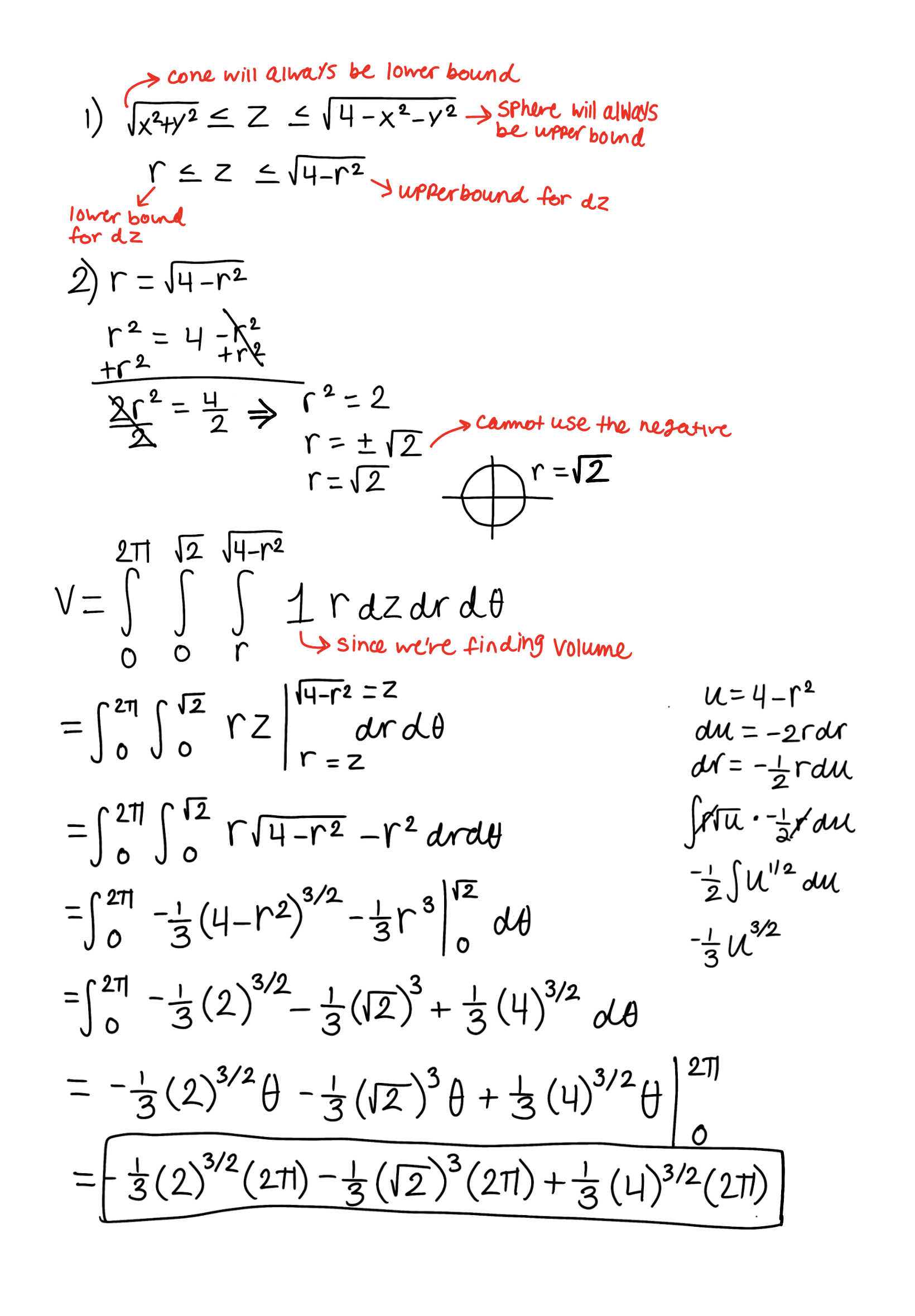
Cylindrical Coordinates


Cylindrical Coordinates


Cylindrical Coordinates


Cylindrical Coordinates


Cylindrical Coordinates (maybe)


Cylindrical Coordinates (maybe)















