1/34
Looks like no tags are added yet.
Name | Mastery | Learn | Test | Matching | Spaced | Call with Kai |
|---|
No analytics yet
Send a link to your students to track their progress
Acetyl CoA Carboxylase (ACC), captures carbon dioxide in de novo fatty acid synthesis. What prosthetic group is used by ACC for this reaction?
Biotin
What molecule serves as the reductant in fatty acid synthesis?
NADPH
Fatty acid synthesis involves a repeated series of reactions. What is the source of the three-carbon group that is added, repeatedly, to the growing end of a fatty-acylated ACP during elongation?
Malonyl-CoA

Lysophosphatidate
What molecule is synthesized from ceramide?
Sphingomyelin

What is the first committed step to the molecule shown?
Synthesis of Mevalonate
What is the cellular site of squalene cyclization?
The endoplasmic reticulum

→ 2. Cholesterol interacts strongly with fatty-acylated groups
→5. Cholesterol destabilizes the gel phase
In fatty acid synthesis, what reactants are brought together to produce malonyl CoA?
Acetyl CoA, CO2, and ATP

Belongs to sphingolipid
What amino acid is an immediate precursor to sphingolipids?
Serine
What molecule is synthesized in the first committed step of cholesterol synthesis?
Mevalonate
Where are fatty acids stored? In what form?
Fatty acids are stored in adipose tissue in the form of triacylglycerides
Describe the first step in fatty acid degradation:
Formation of an acyl-adenylate with liberation of pyrophosphate
What is the ligand that helps transport acyl groups into the mitochondrial matrix?
Carnitine
What class of molecules has a fruity smell?
ketones

Coenzyme A
In the synthesis of fatty acids, which molecule move acetyl groups from the cytoplasm to mitochondria?
Citrate
Fatty acid synthase is a complex of proteins that catalyze steps in the formation of fatty acids. Name the subunit that becomes covalently linked to a growing fatty acid chain:
Acyl carrier protein
How many molecules of acetyl-CoA are needed for biosynthesis of the C18 fatty acids stored, sterate?
9
What molecule participates in the first step in the biosynthesis of phosphatidate?
Glycerol-3-phosphate (GAP)

The first committed step of cholesterol biosynthesis is catalyzed by?
HMG-CoAReductase
What lipoprotein transports dietary lipids from the intestine to the liver?
Chylomicrons
Which enzyme in the citric acid cycle will be allosterically inhibited and thereby drive the fatty acids stored synthesis pathway when metabolic conditions favor fat storage?
Isocitrate Dehdrogenase

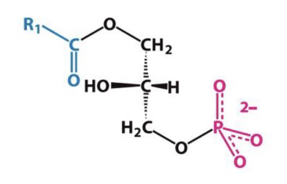
Phosphatidate
Within cholesterol biosynthesis, the endoplasmic reticulum is the site of:
Squalene Cyclization
Where do the two-carbon units that are used to extend the fatty acyl chain come directly from?
Malonyl-ACP
What hormone would you expect to POSITEVELY regulate acetyl-CoA carboxylase?
Insulin
In the synthesis of phosphatidylinositol, the “activated” precursor is:
CDP-diacylglycerol
The fatty-acyl groups are connected to the glycerol moiety by?
Ester linkages
The hydrolysis of ester linkages are catalyzed by:
Hormone-sensitive lipase
What is the first step in the oxidative degradation pathway of fatty acids?
Formation of an acyl adenylate
As part of the first committed step in fatty acid synthesis, Acetyl-CoA Carboxylase forms a covalent intermediate with CO2. Acetyl CoA Carboxylase is regulated by a protein kinase and by binding a small molecule. Correctly describe these regulatory function:
Acetyl CoACarboxylase is inhibited by phosphorylation and activated by binding citrate
Squalene is a 30-carbon precursor to cholesterol. How many molecules of Mevalonate are required for biosynthesis of one molecule of squalene?
6
Fatty acid synthesis and citric acid cycle are interconnected because one citric-acid-cycle intermediate serves as the key precursor for fatty acid biosynthesis. Which intermediate is this?
Citrate is this intermediate