1/39
Looks like no tags are added yet.
Name | Mastery | Learn | Test | Matching | Spaced | Call with Kai |
|---|
No analytics yet
Send a link to your students to track their progress

t

t

t

t

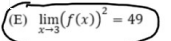
The graph of the function f is shown. Which of the following statements about f is true?

t

t

t





\lim_{x\to4}2\cos\left(f\left(x\right)\right) The value is



































































