Biochem Exam 2

0.0(0)
studied byStudied by 0 people
0.0(0)
full-widthCall with Kai
GameKnowt Play
learnLearn
examPractice Test
spaced repetitionSpaced Repetition
heart puzzleMatch
flashcardsFlashcards
Card Sorting

1/128

encourage image

There's no tags or description

Looks like no tags are added yet.

Study Analytics
Name
Mastery
Learn
Test
Matching
Spaced

No study sessions yet.

129 Terms

1
New cards

- RT lnKeq

-ΔG°’ = ?

2
New cards

ADP

Glutamate

Pi

NH3+

ATP Hydrolysis catalyzed by ATP-dependent glutamine synthetase.

LG in rxn 1?

Nu in rxn 1?

LG in rxn 2?

Nu in rxn 2?

<p>ATP Hydrolysis catalyzed by ATP-dependent glutamine synthetase.</p><p></p><p>LG in rxn 1?</p><p>Nu in rxn 1?</p><p></p><p>LG in rxn 2?</p><p>Nu in rxn 2?</p>
3
New cards
  1. ATP donates its phosphate group directly to substrate/metabolite 
    Glucose + ATP → Glucose-6-phosphate + ADP (first step of glycolysis).

  2. Transfer phosphate to make phosphorylated intermediate
    (ATP phosphorylates the intermediate, not the final substrate. Later, that intermediate passes its phosphate to something else:
    ATP + Creatine → Creatine-P + ADP

    Later: Creatine-P + ADP → ATP + Creatine)

  3. Hydrolysis of ATP by protein/enzyme (via conformational changes from bound ligands)
    (ATP binds to protein → hydrolysis (ATP → ADP + Pi) makes the protein change shape.

    That shape change does mechanical or transport work.

    Examples:

    Myosin (muscle contraction).

    Na⁺/K⁺ ATPase pump (ions moved across membrane)

  4. “indirect” ATP hydrolysis
    (2 chemical steps:
    Step 1: ATP phosphorylates a protein (ATP → ADP, protein gets a phosphate group).

    Step 2: Later, water removes that phosphate (protein-P → protein + Pi).

    The protein’s on/off state depends on whether it’s phosphorylated.

    Example: Regulatory enzymes in signaling pathways, like glycogen phosphorylase kinase.)

4 ways of harnessing potential energy from ATP

4
New cards

thermodynamically ; kinetically

(Hydrolysis, ATP → ADP + Pi, is energetically favorable (negative ΔG, releases energy)

(Thermodynamically stable = its breakdown is favorable)
(Kinetically stable: The reaction doesn’t happen quickly on its own because there’s a high activation energy barrier)

ATP is metastable, meaning it is _ unstable, and _ stable.

5
New cards
<p>Adenosine Triphosphate</p>

Adenosine Triphosphate

ATP stands for

6
New cards
  1. remove products
    (if a product is continuously removed the equilibrium shifts forward

    Example: In glycolysis, glucose-6-phosphate is quickly converted into fructose-6-phosphate, keeping the earlier reaction going forward)

  2. Couple w ATP
    (If a reaction is energetically unfavorable + ΔG, the cell pairs it with ATP hydrolysis ΔG << 0

    The combined reaction has an overall negative ΔG → making it favorable

    Example: phosphorylation step
    Glucose + ATP → Glucose-6-phosphate + ADP )

Two ways to make an unfavorable reaction proceed? (shift eq?)

7
New cards

NO

(a large ΔG°′ doesn’t automatically mean non-spontaneous in the cell, because the cell manipulates concentrations to drive reactions forward.
ΔG°′ (standard free energy change)
Measured at 1 M for all reactants/products, pH 7, 25°C.
Cells rarely have 1 M concentrations.)

Does a large -ΔG°′ mean the reaction is spontaneous in the cell?

8
New cards

−43

Standard free energy change of creatine phosphate reaction?

Creatine-P + ADP → Creatine + ATP


ΔG°′ = __ kJ/mol

<p>Standard free energy change of creatine phosphate reaction?<br></p><p>Creatine-P + ADP → Creatine + ATP </p><p><br>ΔG°′ = __ kJ/mol</p><p></p>
9
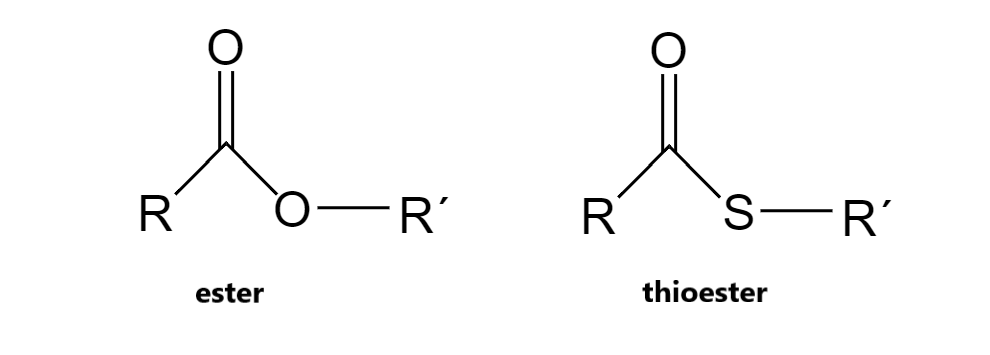
New cards
<ul><li><p>Better leaving group since S- more stable than O-</p></li><li><p>S less EN, so carbonyl is a better E<sup>+</sup></p></li></ul><p></p>
  • Better leaving group since S- more stable than O-

  • S less EN, so carbonyl is a better E+

What makes thioesters’’ hydrolysis more favorable than esters?

<p>What makes thioesters’’ hydrolysis more favorable than esters?</p>
10
New cards

-31

Standard free energy change of thioester hydrolysis?


ΔG°′ = __ kJ/mol

(ATP is ~ -30.5 kJ/mol)

11
New cards
<p></p>

Acetyl-CoA vs Acyl-CoA

<p>Acetyl-CoA vs Acyl-CoA</p>
12
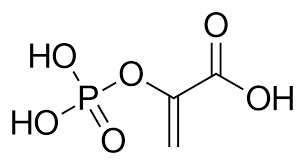
New cards

Phosphoenolpyruvate

Name the molecule?

<p>Name the molecule?</p>
13
New cards

nicotinamide adenine dinucleotide

NAD stands for?

<p>NAD stands for?</p>
14
New cards

NAD

__ is an obligatory two electron carrier (hydride transfer)

15
New cards

flavin adenine dinucleotide

FAD stands for?

<p>FAD stands for?</p>
16
New cards

FAD

__ is a two electron carrier, but can take one electron at a time

17
New cards

NADH ; FAD

__ is a mobile electron carrier, __ is often a prosthetic group (not mobile)

18
New cards

riboflavin

__ is B2, obtained in diet

19
New cards
  1. ATP: phosphate donor, product is FMN

  2. ATP is adenylate donor, product is FAD

FAD Synthesis

<p>FAD Synthesis</p>
20
New cards

PPi is immediately hydrolyzed by pyrophosphatase

(hydrolysis is strongly exergonic (ΔG°′ ≈ −33 kJ/mol) —> overall ΔG becomes negative)

What happens to PPi product of FAD synthetase?

FAD synthetase reaction:

ATP donates an adenylyl group to FMN → forms FAD

PPi (pyrophosphate) is released as a byproduct

21
New cards

Cn(H2O)n

Carbohydrate formula

22
New cards

glycosidic

___ bond is a covalent bond between the anomeric carbon of a sugar and the hydroxyl group of another molecule (often another sugar).

23
New cards

penultimate

D

L

__ carbon determines if L or D

if OH on right, it’s _

if OH on left, it’s _

24
New cards

RLR(R)

D-Glucose fischer projection:

25
New cards

LLR(R)

D-Mannose fischer projection:

26
New cards

RLL(R)

D-Galactose fischer projection:

27
New cards

epimers

any 2 sugars that differ in configuration around a single carbon 

28
New cards

fructose

__ is the ketose isomer of glucose

29
New cards

ribulose

__ is the ketose isomer of ribose

30
New cards

alpha ; beta

in the __ configuration, the anomeric C points DOWN with respect to flag ; 

in the __ configuration, the anomeric C points UP

31
New cards
term image

draw alpha- and beta- D-glucopyranose

32
New cards

beta-pyranose

_ is the most stable configuration of glucose

33
New cards

No

Is sucrose a reducing sugar?

<p>Is sucrose a reducing sugar?</p>
34
New cards

yes

Is lactose a reducing sugar?

<p>Is lactose a reducing sugar?</p>
35
New cards

yes

is maltose a reducing sugar?

<p>is maltose a reducing sugar?</p>
36
New cards
<p>Phosphoenolpyruvate ; PEP</p>

Phosphoenolpyruvate ; PEP

Because ___ (___) has only one form (enol) and the product (pyruvate) has two possible forms, the reaction occurs with a gain in entropy, and the product is therefore stabilized relative to the reactant

37
New cards

Glucose + ATP → Glucose-6-phosphate + ADP

by Hexokinase

Step 1 of Glycolysis

38
New cards

Glucose 6-phosphate isomerized to Fructose 6-phosphate

by phosphoglucose isomerase

Step 2 of Glycolysis

39
New cards

Fructose-6-phosphate + ATP → Fructose-1,6-bisphosphate + ADP

by Phosphofructase-1 (PFK1)

Step 3 of Glycolysis

40
New cards

Fructose-1,6-bisphosphate is split into 2 isomers:

  • Glyceraldehyde 3-phosphate (G3P)

  • Dihydroxyacetone phosphate (DHAP)

by aldolase

Step 4 of Glycolysis

41
New cards

Dihydroxyacetone phosphate (DHAP) isomerized to Glyceraldehyde 3-phosphate (G3P)

by Triose Phosphate Isomerase (TPI)

Step 5 of Glycolysis

42
New cards

G3P/NAD+ oxidized/reduced to 1,3-bisphosphoglycerate + NADH

by GAPDH (glyceraldehyde 3-phosphate dehydrogenase)

Step 6 of Glycolysis

43
New cards

1,3-bisphosphoglycerate + ADP → 3-phosphoglycerate + ATP

by phosphoglycerate kinase

Step 7 of Glycolysis

44
New cards

3-phosphoglycerate → 2-phosphoglycerate

by phosphoglycerate mutase

Step 8 of Glycolysis

45
New cards

2-phosphoglycerate → phosphoenolpyruvate (PEP) + H2O

by enolase

Step 9 of Glycolysis

46
New cards

PEP → pyruvate + ATP

by pyruvate kinase

Step 10 of Glycolysis

47
New cards

Starch: alpha1-4 linkages of glucose

Cellulose: Beta1-4 linkages of glucose

Starch vs Cellulose?

48
New cards

In aerobic conditions

  1. Pyruvate → Acetyl-CoA → Citric Acid Cycle → CO₂ + H₂O

In anaerobic conditions

  1. Lactic acid fermentation (muscle cells): 
    Pyruvate + NADH −> Lactate + NAD+

  2. Alcohol (ethanol) fermentation (yeast):
    Pyruvate −> Acetaldehyde −> Ethanol + NAD+

(Anabolic uses: Pyruvate is also a precursor for biosynthesis (e.g., amino acids, fatty acids), not just energy metabolism.)

Pyruvate’s Fates

49
New cards

Cori cycle

In muscles, lactate can later be transported to the liver and converted back to glucose via gluconeogenesis (which can then be shipped back to the muscles to fuel more ATP production).

  • Muscle: glucose → lactate + 2 ATP

  • Liver: lactate → glucose (consumes ATP)

This is called the _

50
New cards

2 ; 2

2 ; 2 ; 2 ; 2

  • Glycolysis produces __ NADH per glucose (from _ molecules of glyceraldehyde-3-phosphate).

  • The reduction of _ pyruvates → _ lactate consumes _ NADH, regenerating _ NAD⁺.

51
New cards

glycolysis

Fermentation itself does not generate ATP; it just allows __ to continue.

52
New cards

Muscle cells continue making ATP anaerobically, producing more lactate than the liver can process. Lactate cannot immediately leave the muscle fast enough, especially if blood flow and oxygen supply are limited.

This leads to lactic acid buildup, which lowers pH inside the muscle (acidification).

Acidification affects enzyme activity and limits muscle performance, causing fatigue.

Why does lactate accumulate in muscle during intense exercise?

53
New cards

Pyruvate → acetaldehyde + NADH (from GAPDH) + CO₂ → ethanol + NAD+

Alcoholic Fermentation Pathway (start from pyruvate)

54
New cards

Glucose → 2 pyruvate → 2 lactate

Pyruvate gets reduced to lactate by TPP, NADH gets oxidized to NAD+

Lactic Acid Fermentation (start from glucose)

55
New cards

TPP; lipoamide; CoA; FAD; NAD⁺

(TPP decarboxylates pyruvate, lipoamide carries the acetyl group, CoA accepts it forming acetyl-CoA, FAD reoxidizes lipoamide, and NAD⁺ is reduced to NADH.)

The coenzymes of PDH act in a specific order:

1.

56
New cards
  • decarboxylates pyruvate → forms hydroxyethyl-TPP

  • swings acetyl group and transfers electrons, accepts hydroxyethyl → forms acetyl-lipoamide

  • accepts acetyl group → forms acetyl-CoA

  • reoxidizes lipoamide

  • accepts electrons from FADH₂ → forms NADH

IN PDH, write functions

  • TPP (thiamine pyrophosphate)

  • Lipoate

  • Coenzyme A (CoA)

  • FAD

  • NAD⁺

57
New cards

thiamine pyrophosphate

TPP stands for

58
New cards

Enzyme

Function

Prosthetic/Coenzyme Group

E1: Pyruvate dehydrogenase

Decarboxylates pyruvate

TPP (noncovalently bound)

E2: Dihydrolipoyl transacetylase

Transfers acetyl group to CoA

Lipoyllysyl arm (amide-linked lipoate)

E3: Dihydrolipoyl dehydrogenase

Regenerates oxidized lipoamide → FAD/NAD⁺ complete electron transfer

FAD tightly bound

3 enzymes of PDH

<p>3 enzymes of PDH</p>
59
New cards

Step

Enzyme

Reaction

Key Details

1

E1: Pyruvate dehydrogenase

Pyruvate + TPP → hydroxyethyl-TPP + CO₂

Decarboxylation; slowest step → rate-limiting

2

E1 → E2 transfer

Hydroxyethyl-TPP → acetyl-lipoamide

Oxidation of hydroxyethyl to acetyl; electrons reduce disulfide of lipoyl group

3

E2: Dihydrolipoyl transacetylase

Acetyl-lipoamide + CoA → acetyl-CoA + reduced lipoamide

Transesterification; forms high-energy thioester (acetyl-CoA)

4

E3: Dihydrolipoyl dehydrogenase

Reduced lipoamide → FADH₂

Restores oxidized disulfide form of lipoyl group

5

E3: Dihydrolipoyl dehydrogenase

FADH₂ + NAD⁺ → FAD + NADH

Transfers electrons to NAD⁺; completes catalytic cycle

  1. Pyruvate enters E1 → loses CO₂ → attaches to TPP

  2. TPP passes acetyl to swinging lipoate arm (E2)

  3. Lipoate transfers acetyl to CoA → forms acetyl-CoA

  4. Lipoate is reoxidized by FAD (E3)

  5. FAD passes electrons to NAD⁺ → NADH

  • Cycle ready to start again

5 Steps of PDH

60
New cards

lactate; lactate dehydrogenase; NAD⁺

In lactate fermentation, pyruvate is reduced to __________ by __________, which regenerates __________ for glycolysis.

61
New cards

acetaldehyde; pyruvate decarboxylase; ethanol; alcohol dehydrogenase

In ethanol fermentation, pyruvate is first converted to __________ by __________, and then to __________ by __________ using NADH.

62
New cards
  • During intense exercise, glycolysis breaks down glucose into pyruvate. 

    • [The muscle breaks down glycogen (glycogenolysis) to get glucose-6-phosphate (G6P), G6P enters glycolysis, generating ATP quickly (without needing oxygen]

  • Because oxygen is low, pyruvate is reduced to lactate by lactate dehydrogenase (via muscle isoform: LDH-M), regenerating NAD⁺ so glycolysis can keep going. 

  • This produces ATP for the muscle, but also lactate, which accumulates and lowers pH (causing fatigue).

  • The lactate is then released into the bloodstream and transported to the liver.

  • The liver takes up lactate and converts it back into pyruvate (via liver isoform: LDH-H).

  • Then, the liver does gluconeogenesis, converting pyruvate → glucose.

  • This glucose is released into the blood and delivered back to the muscles (stored as glycogen, or used again for energy).

You using the Cori Cycle!

63
New cards

1, 3, 10

3 Irreversible steps of glycolysis?

64
New cards

Glucose-6-phosphatase enzyme

G6P —> Glucose

by what enzyme ?

65
New cards

Fructose-1,6-bisphosphatase

F1,6 Bisphosphate —> F6P

by what enzyme ?

66
New cards

pyruvate carboxylate + BIOTIN COFACTOR (CO2 carrier)

Pyruvate —> oxaloacetate

by what enzyme ?

<p>Pyruvate —&gt; oxaloacetate</p><p>by what enzyme ?</p>
67
New cards
<p>PEPCK (Phosphoenolpyruvate carboxykinase) USES GTP</p>

PEPCK (Phosphoenolpyruvate carboxykinase) USES GTP

oxaloacetate —> PEP

by what enzyme ?

68
New cards

biotin

WHAT THAT?

<p>WHAT THAT?</p>
69
New cards

Amino acids ; fatty acids (plants/bacteria can tho)

Mammals can generate glucose from _ NOT from _

70
New cards

acetyl-CoA

Why Mammals Can’t Convert Fatty Acids → Glucose:

Fatty acid breakdown (β-oxidation) produces acetyl-CoA.
To make glucose, you’d need to convert acetyl-CoA → pyruvate → oxaloacetate → glucose.

But the pyruvate dehydrogenase (PDH) reaction is irreversible:

𝑃𝑦𝑟u𝑣𝑎𝑡𝑒 + 𝐶𝑜𝐴 + 𝑁𝐴𝐷+ → 𝐴𝑐𝑒𝑡𝑦𝑙 − 𝐶𝑜𝐴 + 𝐶𝑂2 + 𝑁𝐴𝐷𝐻

Once carbon becomes __, it cannot go back to pyruvate or oxaloacetate in mammals, and in TCA cycle, the Cs from it get lost as CO2

But plants/yeast/bacteria can convert acetyl-CoA → succinate → oxaloacetate → glucose using the glyoxylate cycle.

71
New cards

2 pyruvate + 4 ATP + 2 GTP + 2 NADH + 2H+ + 4 H2O —>

Glucose + 4 ADP + 2GDP + 6 Pi + 2 NAD+

Gluconeogenesis overall equation:

72
New cards
  1. starvation

  2. vigorous exercise

Two ways glycogen stores can get depleted?

73
New cards

glucose because G6P too charged to cross membranes.

(Liver uses G6Pase in ER to irreversibly remove phosphate from glucose, now can bind to GLUT2 transporters to exit liver cell to bloodstream)

Can sugar leave the liver as G6P or glucose? Why?

74
New cards

leave the cell

Without G6Pase, the liver could make G6P, but G6P can’t  ___ because:

  • It’s negatively charged

  • There’s no transporter for phosphorylated sugars across plasma membranes

75
New cards

ER lumen

By having G6Pase sequestered in the __ ____, this prevents the enzyme from accidentally burning through all cytosolic G6P and regulate how much glucose leaves the liver.

76
New cards

Pyruvate carboxylase uses the vitamin biotin as a cofactor. The formation of oxaloacetate by pyruvate carboxylase occurs in three stages. The biotin carboxylase domain catalyzes the formation carboxyphosphate. The carboxylase then transfers the CO2 to the biotin carboxyl carrier protein (BCCP). The BCCP carries the activated CO2 to the transcarboxylation (CT) domain, where the CO2 is transferred to pyruvate to form oxaloacetate.

77
New cards

Fructose-1,6-bisphosphatase; Phosphofructokinase-1 (PFK-1)

The enzyme that converts fructose-1,6-bisphosphate → fructose-6-phosphate in gluconeogenesis is called ____________, and this step bypasses the enzyme ____________ from glycolysis.

78
New cards

B

(To make 1 molecule of glucose, gluconeogenesis consumes 4 ATP + 2 GTP + 2 NADH)

5. Which of the following statements about the energetics of gluconeogenesis is TRUE?

A) It releases energy overall.
B) It requires more energy than glycolysis generates.
C) It is energy neutral.
D) It only occurs when oxygen is low.

79
New cards

reciprocally

Both glycolysis and gluconeogenesis are thermodynamically favorable because they are ___ regulated (only one pathway is active at a time)

80
New cards

glucose

  • Your body can’t always get sugar (glucose) from food, so it makes its own!

  • It does this by taking other molecules (like lactate, pyruvate, or parts of the citric acid cycle) and turning them backward into __.

  • But some steps of glycolysis (the process that breaks down glucose) are one-way only — they release too much energy to reverse.

  • So your body uses special “bypass” enzymes to go around them, these are the three irreversible steps.

81
New cards

Glucose-6-phosphatase

Hexokinase bypass enzyme?

82
New cards

Fructose-1,6-bisphosphatase (FBPase-1)

Phosphofructokinase-1 (PFK-1) bypass enzyme?

83
New cards

Pyruvate carboxylase+biotin & PEP carboxykinase+GTP

Pyruvate kinase bypass enzymes?

84
New cards
  • Pyruvate carboxylase

  • PEP carboxykinase

  • Fructose-1,6-bisphosphatase

  • Glucose-6-phosphatase

mnemonic for the bypass enzymes:

“Path Produces Fructose (then) Glucose”

85
New cards

C

(others are either allosterically regulated to a lesser extent (pyruvate carboxylase) or mainly transcriptionally controlled (PEPCK, G6Pase)

Which step is the major regulation point in gluconeogenesis?

A) Pyruvate → Oxaloacetate
B) Oxaloacetate → PEP
C) Fructose-1,6-bisphosphate → Fructose-6-phosphate
D) Glucose-6-phosphate → Glucose

86
New cards

I-III

Muscle Hexokinase numbers

87
New cards

IV

Liver hexokinase number

88
New cards
  • I-III: High affinity for glucose (Km ≈ 0.2 mM), Inhibited by product G6P

  • IV: Low affinity for glucose (Km ≈ 10 mM), Not inhibited by G6P, Transcriptionally regulated by energy needs or blood glucose levels.

Compare hexokinase I-III with IV

89
New cards

gluconeogenesis

High ATP, high citrate → PFK-1 inhibited, FBPase-1 active → favors ___.

90
New cards

glycolysis

high AMP → PFK-1 active, FBPase-1 inhibited → favors ___.

91
New cards

Glucokinase = Hexokinase IV!

Hexokinase, but not ___ (liver one), is inhibited by G6P

92
New cards

ATP

In PFK-1 allosteric regulation, _ is both a substrate and a negative allosteric effector

93
New cards
<p>AMP &amp; ADP</p><p>Fructose 2,6-bisphosphate (F2,6BP)</p><p></p>

AMP & ADP

Fructose 2,6-bisphosphate (F2,6BP)

Activators of Reaction catalyzed by PFK-1?

94
New cards
<p>ATP, Citrate</p>

ATP, Citrate

Inhibitors of Reaction catalyzed by PFK-1?

95
New cards

Fructose 2,6-bisphosphate (F2,6BP)

What is…

  • Produced by PFK-2.

  • Very strong allosteric activator of PFK-1.

  • is a signal of high blood glucose.

  • Shifts enzyme to high-activity state (R), even if ATP is high.

96
New cards

F2,6bPase

PFK2 is the same enzyme as __

97
New cards

Glucagon

__ → lowers F2,6BP → inhibits glycolysis, activates gluconeogenesis → raises blood glucose

98
New cards

pyruvate

Alanine can easily be converted to __

99
New cards

pyruvate carboxylase

Acetyl-CoA stimulates glucose synthesis by activating __

100
New cards

glycogen degredation

epinephrine and glucagon stimulate __

Explore top flashcards