1/24
Looks like no tags are added yet.
Name | Mastery | Learn | Test | Matching | Spaced | Call with Kai |
|---|
No analytics yet
Send a link to your students to track their progress
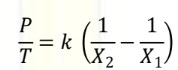
Formula For Rittinger’s Law

Formula For Bond’s Law

Formula For Kick’s Law

Jaw Crusher
consists of a swinging jaw which moves back and forth, working against a stationary surface called the anvil jaw, with which it forms a V-shape chamber. It is wide at the top and narrow at the bottom, where the crushing takes place
Dodge Type
type of jaw crusher where the swinging jaw is pivoted at the bottom
Blake Type
type of jaw crusher where the swinging jaw is pivoted at the top
Gyratory Crusher
employs a crushing head in the frame of truncated core, mounted on a shaft
Taggart Formula

Taggart’s Rule
if the hourly tonnage to be crushed divided by the square of the gape in inches is less than 0.115, use a jaw crusher; otherwise, a gyratory
Bradford Breaker
used for coal, combining breaking and screening
Toothed Roll Crusher
Breaking by pressure of the teeth against larger lumps of the material
Hammer Mill
The hammer deliver heavy blows to the feed material while it is in suspension, driving it against a breaker plate until it is fine enough to pass through the openings
Squirrel- cage disintegrator
For fibrous materials such as wood blocks and asbestos, two concentric cages rotate in opposite direction. The feed is introduced into the inner cage and centrifugal force drives the material into the spaces between the rotating cages where it is torn apart
Crushing Rolls
Two rolls, one in adjustable bearings, rotate in opposite directions. The clearance between them can be adjusted according to the size of feed and the required size of product
Angle of Nip Formula for Rolling Crushers

Cone Crushers
Consists of a conical crushing head similar to that of the gyratory crusher. The operation between the gyratory and cone crusher is that the outer stationary crushing plate flares outward to provide increasing area of discharge so that the machine can quickly clear itself of the reduced product.
Edge Runners
The only commonly used crusher of this general type is the one which the pan rotates and the horizontal axis of the grinding wheel is stationary. Eg. Clay industry
Other term for Fine Size Reduction
Fine Grinding
Pebble Mill
Is a steel cylinder lying on its side and rotated about its long axis and containing an appropriate grinding medium. The material is introduced through a manhole in the center of the shell length after which the opening is closed hermetically by a cover plate
Rod Mill
Similar to pebble mills and ball mills except that the grinding media are steel rods rather than balls. The rods are always longer than the diameter of the mills and therefore lie in the mill parallel to the axis
Ball Mill
Consists of a horizontal cylinder whose diameter is roughly equal to its length, lined with heavy liner plates.
Centrifuging
the condition at which the balls are carried over due to very high speed
Critical Speed
the speed at which centrifuging occurs
Formula for Critical Speed

Should the operating speed be above or below the critical speed?
Below