1/23
Looks like no tags are added yet.
Name | Mastery | Learn | Test | Matching | Spaced | Call with Kai |
|---|
No analytics yet
Send a link to your students to track their progress

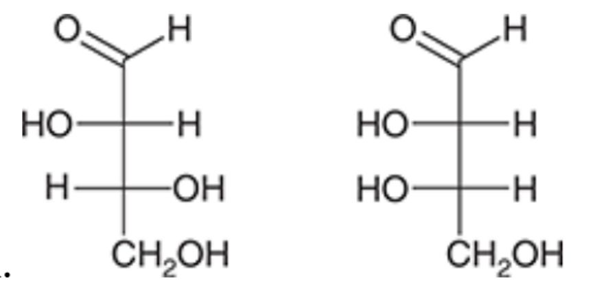
Enantiomer

Enantiomer

Same Compounds

Constitutional Isomers

Diastereomers

Same compounds

Enantiomers

Same compound

Same compound - achiral

meso compound

Diastereomer

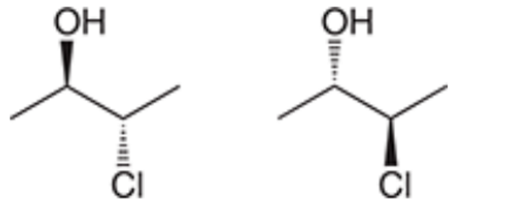
Enantiomer

Meso compound

Enantiomers

Diastereomers

Enantiomers

Enantiomers

Diastereomers

Constitutional Isomers

Diastereomers

Diastereomers

Diastereomers

Meso compound

Enantiomer