1/14
Looks like no tags are added yet.
Name | Mastery | Learn | Test | Matching | Spaced | Call with Kai |
|---|
No analytics yet
Send a link to your students to track their progress
Define Capacitor
Any arrangement which allows the potential of a conductor to be reduced without removing charge from it

What type of capacitor is this?
Parallel Plate Capacitor
List the factors on which the capacitance of a capacitor depends
Distance of separation
Overlap area
The dielectric

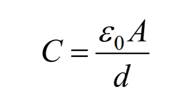
Label This Formula
Parallel Plate Capacitor
C - capacitance
E - permittivity
A - area
d - distance
What page of the log tables can you find the Parallel Plate Capacitor Formula?
62

Demonstrate an experiment to show the distance of separation between parallel plate capacitors • 1
Charge plates by voltage
Bring Y closer to X

Demonstrate an experiment to show the distance of separation between parallel plate capacitors • 2
Divergence decreases
Potential of X decreases

Demonstrate an experiment to show the distance of separation between parallel plate capacitors • 3
Divergence increases the capacitance
As distance decreases, capacitance increases

Demonstrate an experiment to show the overlap area between parallel plate capacitors • 1
Charge plates by voltage
Plates at a fixed distance

Demonstrate an experiment to show the overlap area between parallel plate capacitors • 2
Move Y to one side
Divergence of GLE increases

Demonstrate an experiment to show the overlap area between parallel plate capacitors • 3
Potential of X is increasing
As Area decreases, capacitance decreases

Demonstrate an experiment to show the dielectric between parallel plate capacitors • 1
GLE indicates potential on plate X
Put polythene block in between plates

Demonstrate an experiment to show the dielectric between parallel plate capacitors • 2
Divergence decreases
Potential decreases

Demonstrate an experiment to show the dielectric between parallel plate capacitors • 3
Capacitance increases
The insulator increased the capacitance

Demonstrate that parallel plate capacitor stores energy
Charge capacitor with a battery
Connect capacitor to a bulb
Bulb lights up