1/43
Looks like no tags are added yet.
Name | Mastery | Learn | Test | Matching | Spaced |
|---|
No study sessions yet.

Carboxylic Acid (end)
oic acid

Carboxylic Acid
Carboxy

Ester (end)
oate

Ester
Alkoxycarboyl

Amide (end)
amide

Amide
amido

Nitrile (end)
nitrile

Nitrile
cyano

Aldehyde (end)
al

Aldehyde
formyl

Ketone (End)
one

Ketone
oxo

Alchol (end)
ol

Alchol
hydroxy

Amine (end)
amine

amine
amino

alkene (end)
ene

alkene
alkenyl

alkyne (end)
yne

alkyne
alkynyl

Alkane (End)
ane

Alkane
alkyl

Ester
alk - oxy

Alkyl Halide
halo
carbonyl C=O
highest priority
Hydroxyl
2nd highest
amino
3rd highest
alkene
4th highest
alkyl
lowest priority
R4N+
ammonium
R4P+
phosphonium
R3O+
oxonium
R3S+
sulfonium
R2X+
halonium

carboxylic anhydrides (end)
oic anhydride

Acyl halide (end)
-oyl halide

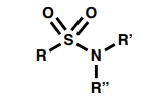
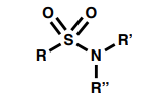
sulfonamide (end)
sulfonamide

sulfonamide
sulfamoyl
R - F
Flouro
R - Cl
chloro
R - Br
bromo
R - I
Iodo

RN3 Azido
azido