1/84
Looks like no tags are added yet.
Name | Mastery | Learn | Test | Matching | Spaced | Call with Kai |
|---|
No analytics yet
Send a link to your students to track their progress
Distance Formula:
Distance = (rate)(Time)
Average Rate:
Average Rate=total distance traveled/total time elapsed
When two things are traveling towards each other, what should you do in order to find when the two things collide?
When two things are traveling towards each other, add the two rates together to find out when the two things collide.
For example: Train 1 is going East at 50mph. Train 2 is going West at 40mph. They are 135 miles apart. How long before they collide?
t=(distance)/(rate)
t=(135miles)/(40mph+50mph)
t=135/90 = 1.5 hours
What is the dilution equation?
C₁V₁ = C₂V₂
Where C is concentration (molarity, molality, or % concentration)
Where V is volume
Slope-Intercept Formula:
Y = mx + b
Where m is the slope
Where b is the y-intercept
Point Slope Formula:
Where m = (y-y₁)/(x-x₁)

To be parallel lines, their slopes must be....
To be parallel lines, their slopes must be equal.
To be perpendicular lines, their slopes must be....
To be perpendicular lines, their slopes must be negative reciprocals.
Distance Formula:
The distance between points (X₁,Y₁) and (X₂,Y₂) is given by the equation

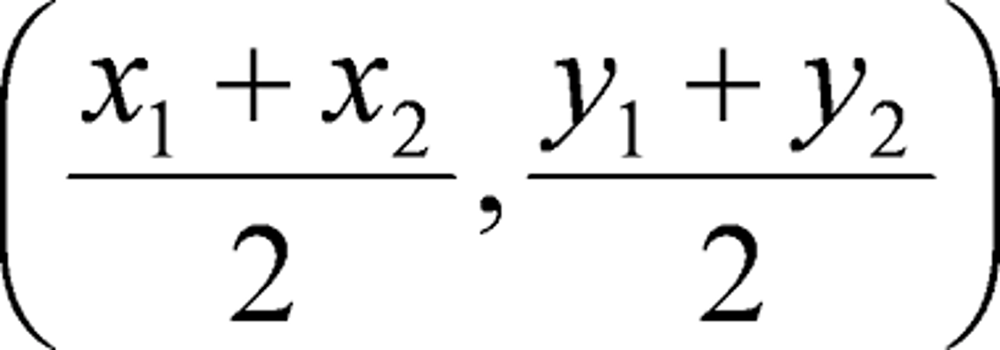
Midpoint Formula:
The midpoint (M) between two points (X₁,Y₁) and (X₂,Y₂) is the average of the x values and the y values:

What is the conversion between Kelvin and Degrees Celsius?
K = °C + 273
What is the conversion between Degrees Celsius and Degrees Fahrenheit?

What is the conversion between inches and centimeters?
1 inch = 2.54 centimeters
What is the conversion between miles and feet?
1 mile = 5280 feet
What is the conversion between inches and feet?
1 foot = 12 inches
What is the conversion between yards and feet?
1 yard = 3 feet
What is the conversion between meters and yards?
1 meter = 1.1 yards
What is the conversion between pounds, ounces, and grams?
1 pound = 454 grams = 16 ounces
What is the conversion between kilograms and pounds?
1 kilogram = 2.2 pounds
(Quadratic Equation) For any equation in the format ax²+bx+c = 0, what does (x+y)² equal?
x²+2xy+y²
(Quadratic Equation) For any equation in the format ax²+bx+c = 0, what does (x-y)² equal?
x²-2xy+y²
(Quadratic Equation) For any equation in the format ax²+bx+c = 0, what does (x+y)(x-y) equal?
x²-y²
(Rules of Exponents) Multiplication of Exponents (Same Exponents Different Bases):

(Rules of Exponents) Division of Exponents (Same Exponents Different Bases):

(Rules of Exponents) Division of Exponents (Different Exponents Same Bases)

(Rules of Exponents) Multiplication of Exponents (Different Exponents Same Bases)

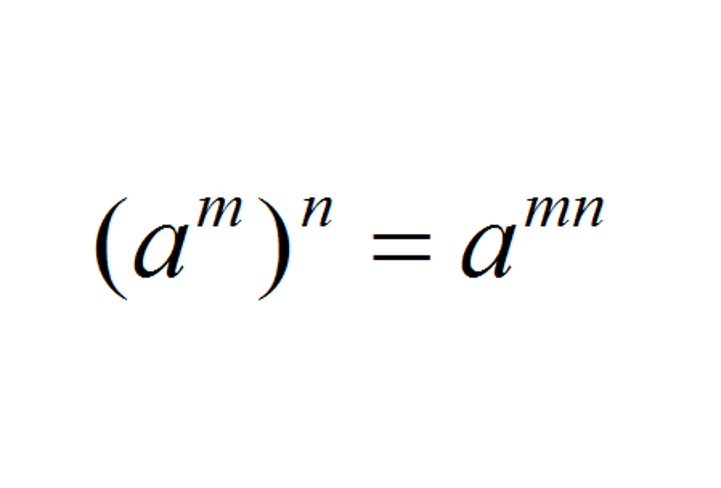
(Rules of Exponents) Exponent raised to an exponent:

(Rules of Exponents) Exponents in the denominator are the same as saying...

(Log Rules) Adding/Multiplying logs:
Where b >1
Where M, N, and k are any Real Numbers
Where M and N must be positive

(Log Rules) Subtracting/Dividing logs:
Where b >1
Where M, N, and k are any Real Numbers
Where M and N must be positive

(Log Rules) Multiplying logs by a constant:
Where b >1
Where M, N, and k are any Real Numbers
Where M and N must be positive

(Log Rules) Log of 1:
Where b >1
Where M, N, and k are any Real Numbers
Where M and N must be positive

(Log Rules) Logb of b:
Where b >1
Where M, N, and k are any Real Numbers
Where M and N must be positive

(Log Rules) Conversion between logarithmic form and exponential form:

Percent Change (Increase or Decrease) Equation:

(Combination Vs. Permutation) Combination Formula:
You use combination when the order DOES NOT matter.

(Combination Vs. Permutation) Permutation Formula:
You use permutation when the order DOES matter.

(Data Sets) What does "U" mean?
"U" means union. (Includes all data but excludes duplicate values)
For example: If X=[1,2,3] and Y=[1,3,4], then XUY=[1,2,3,4]
(Data Sets) What does "∩" mean?
"∩" means intersection. (Includes only data that exists in BOTH sets)
For example: If X = [1,2,3] and Y=[1,3,4], then X∩Y=[1,3]
(Dice Problems) What is the total number of permutations for rolling 2 dice?
The total number of permutations for rolling 2 dice = (6)(6) = 36.
(Decks of Cards) What is the total number of cards in a deck?
The total number of cards in a deck is 52 (note, this is the total number of cards in a deck when excluding jokers).
There are 4 suits (heart, club, ace, and diamond) with 13 cards per suit.
(Deck of Cards) What occurs in "with replacement" problems?
In "with replacement" problems, the total number of cards must go back to 52 and the cards of interest must go back to the initial amount.
(Deck of Cards) What occurs in "without replacement" problems?
In "without replacement" problems, the total number of cards must decrease by 1 for each card selected and the cards of interest must decrease by 1 for each card selected.
(Arrangement Problems) What is the number of ways that n things can be ordered when none of them are considered repeats?
A set that contains n units where no units of the set repeat, can be arranged n! number of ways.
For example: How many ways can the letters in APPALOOSA be arranged if no letters repeat?
The letters can be arranged 9! number of ways.
(Arrangement Problems) The number of ways that n things can be ordered when "a" of them are identical, "b" of them are identical, "c" of them are identical, etc...
n!/(a!*b!*c!*...)
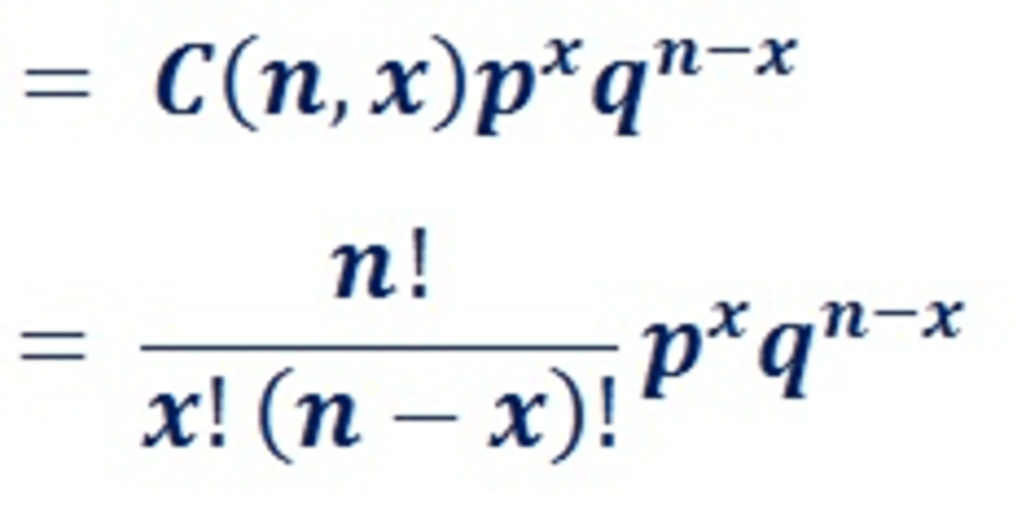
Binomial Probability Distribution Property:
The probability that there will be exactly x outcomes out of n trials when the probability of success in each trial is uniformly p then,
Note: q=1-P

Mean Equation:
The mean is the sum of all the values divided by the number of values in the set.

What is the mode?
The mode is the unit that occurs most often in a set.
What is the Median?
The median is the middle value of a set of data when that data is order numerically. (The data set MUST be ordered numerically).
Standard Deviation (σ) Equation:

Describe the Normal (Gaussian) Distribution Curve in terms of the Empirical Rule:
In a normal (Gaussian) distribution:
(1) 68% of the data fall within 1 standard deviation from the mean
(2) 95% of the data fall within 2 standard deviations from the mean
(3) 99.7% of the data fall within 3 standard deviations from the mean
Variance Equation:
σ²
Meaning the square of the standard deviation
Area of a Circle:
πr²
Where r is the radius of the circle
Area of a Sphere:
4πr²
Where r is the radius of the sphere
Area of a Hollow Cylinder:
2πrh
Where r is the radius of the cylinder
Where h is the height of the cylinder

Area of an Ellipse:
πab
Area of a Triangle:
½bh
Where b is the length of the base
Where h is the length of the height
Area of a Rhombus:
bh
Where b is the length of the base
Where h is the length of the height

Area of an Equilateral Triangle:

Area of a regular polygon:
½ * N * Sin[360/N] * s²
Where s is the length from the center to a corner
Where N is the number of sides
Sum of the interior angles of a regular polygon:
(N-2) * 180
Where N is the number of sides
The number of diagonals in a regular polygon given N sides:
½N(N-3)
Volume of a Sphere:

Volume of a Cylinder:

The Ellipse Equations:
Where:
(1) The major axis:
-The major axis of an ellipse is a diameter of the ellipse. The major axis is the longest diameter.
-"a" is the semi major axis
-The major axis is associated with vertices (singular vertex)
(2) The minor axis:
-The minor axis of an ellipse is a diameter of the ellipse. The minor axis is the shortest diameter.
-"b" is the semi minor axis
-The minor axis is associated with co-vertices (singular co-vertex)
(3) Focus:
-"c" is associated with foci. It is the distance from the center (h,k) of the ellipse to the focus (a point)

(Trigonometry) Sin(θ):
(1) Opposite/Hypotenuse
(2) cos(90°-θ)

(Trigonometry) Cos(θ):
(1) Adjacent/Hypotenuse
(2) sin(90°-θ)

(Trigonometry) Tan(θ):
(1) Opposite/Adjacent
(2) sin(θ)/cos(θ)

(Trigonometry) csc(θ):
Hypotenuse/Opposite
In other words:
1/sin(θ)

(Trigonometry) sec(θ):
Hypotenuse/Adjacent
In other words:
1/cos(θ)

(Trigonometry) cot(θ):
Adjacent/Opposite
In other words:
1/tan(θ)

(Trigonometry) Sin(-θ):
Sin(-θ) = -Sin(θ)
This is true because the sine curve is symmetrical around the origin.

(Trigonometry) Cos(-θ)
Cos(-θ) = Cos(θ)
This is true because the cosine curve is symmetrical around the Y axis.

(Trigonometry) Sin(2θ):
2(Sinθ)(Cosθ)
(Trigonometry) Cos(2θ):
cos²θ-sin²θ
(Trigonometry) sin²θ + cos²θ = ?
sin²θ + cos²θ = 1
(Trigonometry) tan²θ + 1 = ?
tan²θ + 1 = sec²θ
(Trigonometry) In the unit circle (aka where the radius of the circle is equal to 1), how is a point represented on the circle in terms of cos and sin if the angle of the point is t?
In the unit circle, a point on the unit circle with the angle t is represented as:
(cos t, sin t)

(Trigonometry) Describe the 16 points on the unit circle:

(Trigonometry) Law of Sines:
This equation applies to ALL triangles!

The 45-45-90 Rule of Triangles:
Ex: If X =1 then the three sides will equal: 1, 1, and √2

The 30-60-90 Rule of Triangles:
Ex: If X = 1 then the three sides will equal, 1, 2, and √3.

How do you generally solve a combined work question?
Ex: "If Tom gets a job done in 4 hours (t₁) and Jerry gets the job done in 3 hours (t₂), how many hours does it take to get the job done working together (t total)?"
*Note: You have to solve for t total!

Simple Interest Equation:
I=PRT
Where:
I is the interest
P is the principle (initial) amount
R is the annual rate
T is the time in years
Compound Interest Equation:
Note: i is the ANNUAL interest rate
