1/11
Looks like no tags are added yet.
Name | Mastery | Learn | Test | Matching | Spaced | Call with Kai |
|---|
No study sessions yet.
how many oxidation steps can a 1° alcohol have?
2
steps for oxidizing a 1° alcohol

how many steps can a 2° alcohol have?
1
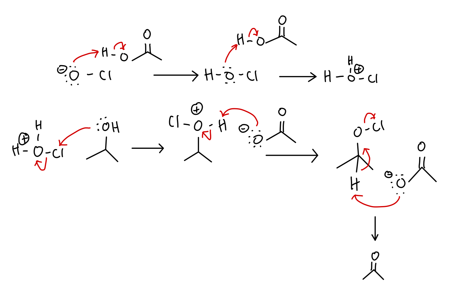
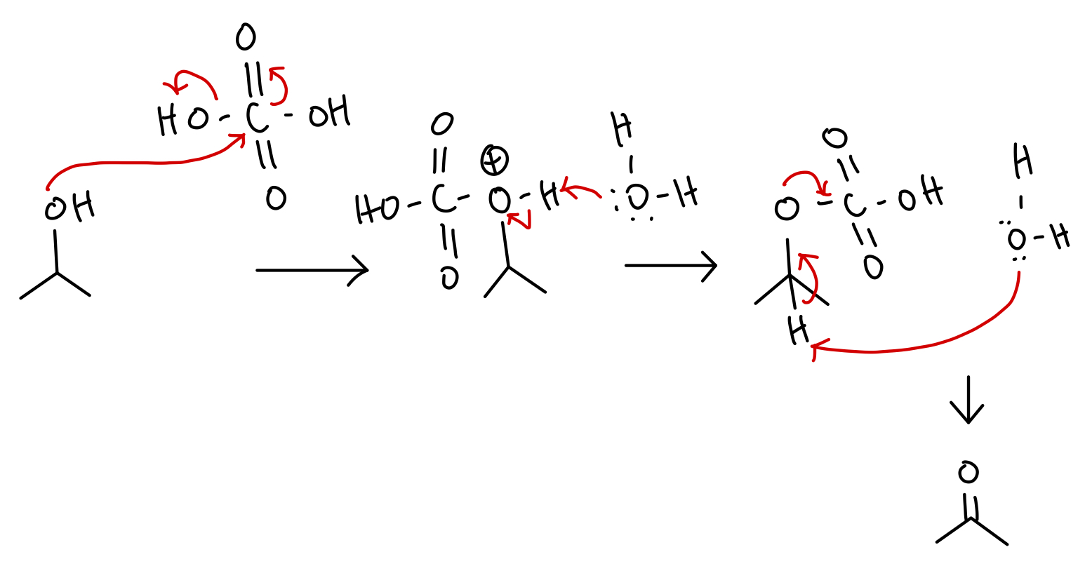
steps for oxidizing a 2° alcohol

how many steps can a 3° alcohol have?
none
oxidation
gain of bonds to O and/or loss of bonds to H
reduction
loss of bonds to O and/or gain of bonds to H

what are the possible reagents for this oxidation?


what are the possible reagents for this oxidation?


what are the possible reagents for this oxidation?


what is the mechanism for this reaction?


what is the mechanism for this reaction?
