1/6
Looks like no tags are added yet.
Name | Mastery | Learn | Test | Matching | Spaced | Call with Kai |
|---|
No analytics yet
Send a link to your students to track their progress
Lines in two-dimensional space

Lines in three-dimensional space
There are four possibilities for a pair of lines in three-dimensional space: the lines may coincide, they may be parallel and distinct, they may intersect at a point and they may also be skew - Two lines are skew lines if they do not intersect and are not parallel. Two lines are skew if and only if they do not lie in the same plane.

Coincident and parallel lines

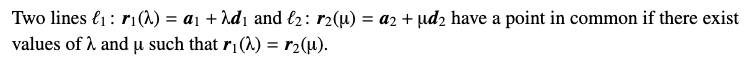
Intersecting lines


Concurrence of three lines
HINT: a value of u must satisfy i and j component, as the same result.

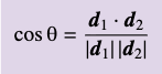
Angle between two lines
Where r1 (λ) = a1 + λd1 and r2 (μ) = a2 + μd2


