1/7
Looks like no tags are added yet.
Name | Mastery | Learn | Test | Matching | Spaced | Call with Kai |
|---|
No analytics yet
Send a link to your students to track their progress
Methyl
Chemical determinant:
Compound type:
Traits:
CH3
Alkyl
Nonpolar hydrophobic

Hydroxyl
Chemical determinant:
Compound type:
Traits:
OH
Alcohol
Polar hydrophilic

Sulfhydryl
Chemical determinant:
Compound type:
Traits:
SH
Thiols
polar hydrophilic

Aldehyde
Chemical determinant:
Compound type:
Traits:
COH or H-C=O
Aldehydes
polar, hydrophilic

Keto
Chemical determinant:
Compound type:
Traits:
CO or C=O
Ketones
Polar , hydrophilic

Carboxyl
Chemical determinant:
Compound type:
Traits:
COOH or O=C-OH --> O=C-O
Carboxylic Acids
Acidic (donates H+ --> resulting molecule is - charged)

Amino
Chemical determinant:
Compound type:
Traits:
NH2 --> NH3
Amines
Basic (can accept H+ --> resulting molecule: + charged)
Ionizes in living tissues to form NH3+

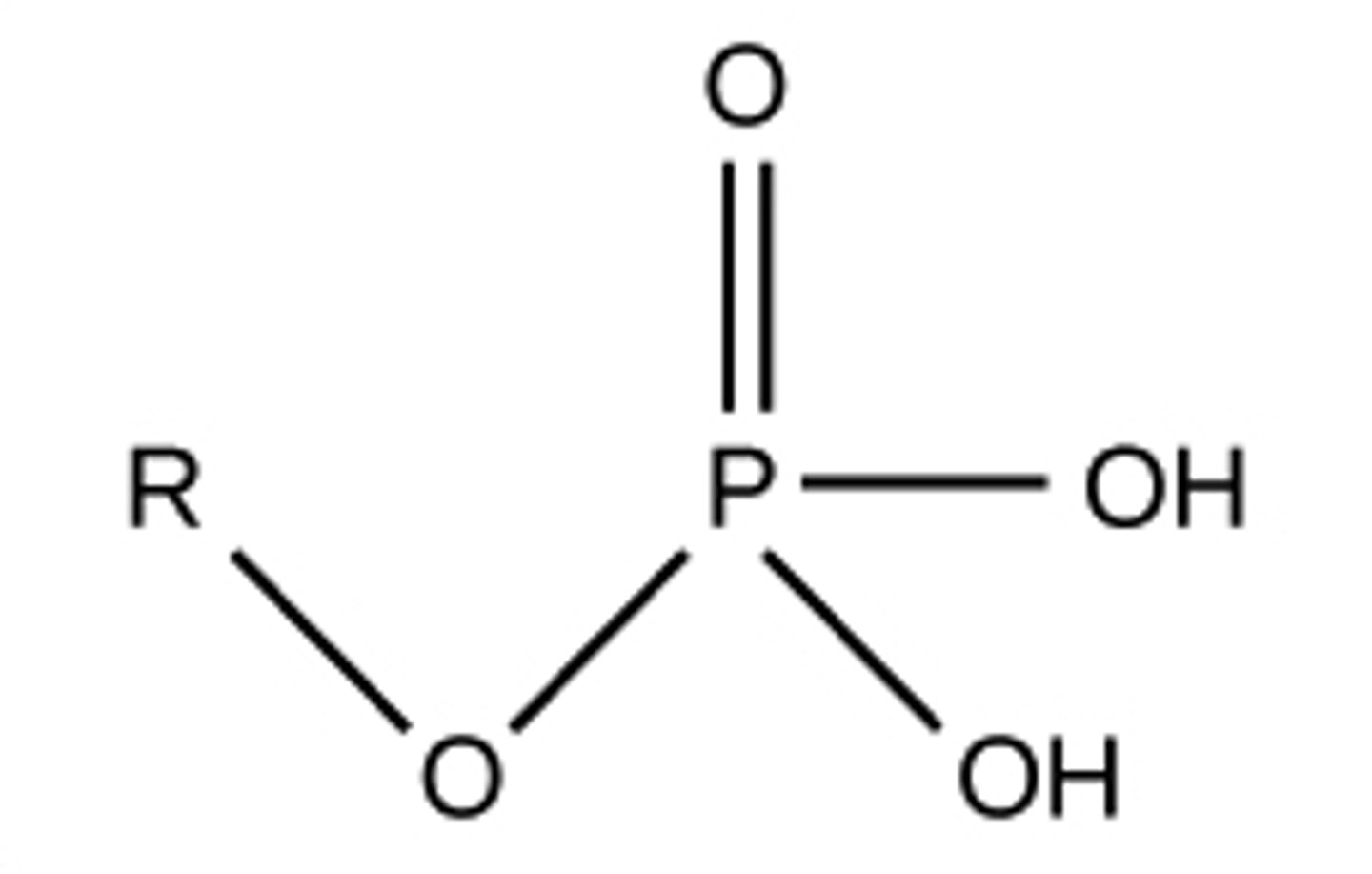
Phosphate
Chemical determinant:
Compound type:
Trait:
Function:
PO4H2 --> PO4
Organic Phosphate
Acidic
