1/523
Looks like no tags are added yet.
Name | Mastery | Learn | Test | Matching | Spaced | Call with Kai |
|---|
No analytics yet
Send a link to your students to track their progress
Saunders, Inc., has a ROE of 18.7 percent, an equity multiplier of 2.53, sales of $2.75 million, and a total assets turnover of 2.7 times. What is the firm's net income? Round your final answer to two decimal places.
A. $75,281.80
B. $514,250.00
C. $51,425.00
D. $7,528.10
A (M=ROE/(TAT×EM) = 0.187 / (2.7×2.53) ≈0.02738
Net Income=Net Profit Margin×Sales
=0.02738×2,750,000≈75,281.80 )
Which of the following project risk analyses is best able to analyze the effect of a change of a single set of circumstances, with other correlated inputs, on the change in NPV of a project?
A. Sensitivity analysis
B. Scenario analysis
C. Simulation analysis
D. Contribution analysis
B (risk +correlated)
The generally accepted accounting principles (GAAP) are
A. rules that outline how a firm can operate ethically.
B. rules on how the firm will be valued in the event of a merger.
C. rules and procedures that define how companies are to maintain financial records and prepare financial reports.
D. rules for how a company can issue stock to raise money.
C
Current liabilities are liabilities that
A.will be converted to cash within a year.
B. must be paid within a year.
C. will be converted to equity within a year.
D. none of the above
B
Current assets are assets that:
A. will be converted to cash within a year.
B. must be paid within a year.
C. will be converted to equity within a year.
D. must be depreciated.
A
What does compounding refer to in financial terms?
A. The process of calculating interest on the principal only.
B. The process of reducing future cash flows to present value.
C. The process of increasing cash flows to a future value.
D. The process of calculating tax on cash flows.
C
Nathan Akpan is planning to invest in a seven-year bond that pays annual coupons at a rate of 7 percent. It is currently selling at $927.23. What is the current market yield on this bond? (Round to the closest answer.)
Α. 10.4%
Β. 9.5%
C. 8.4%
D. 7.5%
C
Ajax Company has issued perpetual preferred stock with a par of $100 and a dividend of 5.5 percent. If the required rate of return is 7.75 percent, what is the preferred stock's current market price? (Round to two decimal places.)
A. $12.90
B. $70.97
C. $53.27
D. $62.14
B
Which of the following business organizational forms is/are the easiest one(s) to raise capital?
A. Sole proprietorship
B. Partnership
C. Corporation
D. Both A and B
C
Which of the following is NOT a characteristic of a shareholder?
A. Expects to receive dividends
B. Expects to receive a capital gain on an investment
C. Expects to receive interest
D. Expects to have rights as defined in the corporation's charter and bylaws
C
Dawson Electricals has borrowed $27,850 from its bank at an annual rate of 8.5 percent. It plans to repay the loan in eight equal installments, beginning in a year. What is its annual loan payment? (Round to the nearest dollar.)
A. $4,708
B. $5,134
C. $4,939
D. $4,748
C
Joseph Ray just received an inheritance of $50,000 from his great aunt. He plans to invest the funds for retirement. If Joseph can earn 6 percent per year with quarterly compounding for 30 years, how much will he have accumulated? (Round to the nearest dollar.)
A. $298,466
B. $271,550
C. $284,622
D. $269,113
A
The creditors of a firm analyze financial statements so that they can better understand the firm's:
A. commitment to paying interest rather than principal on debt.
B. ability to generate sufficient cash flows to meet its legal obligations first and still have sufficient cash flows to pay dividends.
C. ability to meet only its long-term debt obligations.
D. ability to meet its short-term obligations.
D
Which of the following statements is true of annual percentage rate (APR)?
A. The APR is similar to the quoted interest rate, which is a simple annual rate.
B. The APR calculation adjusts for the effects of compounding and, hence, the time value of money.
C. The APR is the true cost of borrowing and lending.
D. The APR takes compounding effect into account.
A
Covent Gardens Inc. is considering two financial plans for the coming year. Management expects sales to be $300,000, operating costs to be $265,000, assets to be $200,000, and its tax rate to be 35 percent. Under Plan A it would use 25 percent debt and 75 percent common equity. The interest rate on the debt would be 8.8 percent, but under a contract with existing bondholders the times interest earned (TIE) ratio would have to be maintained at or above 4.5. Under Plan B, the maximum debt that met the TIE constraint would be employed. Assuming that sales, operating costs, assets, the interest rate, and the tax rate would all remain constant, by how much would the ROE change in response to the change in the capital structure?
A. 3.45%
Β. 2.59%
C. 15.85%
D. 13.26%
B
Finor Traps manufactures an innovative mouse trap. Total sales for the current year is $325,000. The company expects its sales to increase to $500,000 in five years. What is the expected growth rate in sales for this firm? (Round to the nearest percent.)
A. 9%
Β. 11%
C. 6%
D. 12%
A
Which of the following business organizational forms create(s) a tax liability on income at the personal income tax rate?
A. Sole proprietorship
B. Partnership
C. Corporation
D. Both A and B
D
Which of the following is NOT true about goodwill?
A. It is an intangible asset.
B. It represents the value of all unrecorded assets acquired in a merger.
C. It equals the premium paid over the fair market value of the assets acquired in a merger.
D. It reduces the firm's net worth by that amount.
D
Whenever a project has a negative impact on an existing project's cash flows, then that effect should:
A. be ignored.
B. be ignored if the project is evaluated using the correct cost of capital.
C. be included as a negative revenue amount on the new project's cash flow analysis.
D. be included if the impact is limited to noncash expenditures.
C
Animist Designers has generated sales of $625,000 for the current year. If it can increase its sales at a rate of 12 percent every year, how long will it take for its sales to triple? (Round to the nearest year.)
A. 8 years
B. 7 years
C. 10 years
D. 9 years
C
The cash flows used in capital budgeting calculations are based on:
A. historical estimates.
B. forecasts of future cash revenues, expenses, and investment outlays.
C. forecasts of net income.
D. forecasts of retained earnings available for financing projects.
B
In project analysis, corporate overhead allocations should only be taken into account if the:
A. firm is currently covering all of its overhead allocations.
B. firm is currently unable to cover all of its overhead allocations.
C. overhead allocations involve cash expenditures.
D. none of the above
C
Sodoco Company is purchasing a production facility at a cost of $20 million. The firm expects the project to generate annual cash flows of $6 million over the next five years. its cost of capital is 15 percent. What is the internal rate of return on this project? (Do not round intermediate computations. Round final answer to the nearest mrcent.)
A. 17%
B. 15%
C. 36%
D. 20%
B

Brown Mack, Inc., currently has two large manufacturing divisions that share a single plant. Brown Mack owns the plant but has calculated that $6 million of overhead expenses should be allocated to the two equal-sized divisions. If Brown Mack starts a third manufacturing division, of equal size to the other two divisions, what overhead cost should the new cfivision take into account on its capital budgeting cash flow analysis?
A. $0
B. $2 million
C. $3 million
D. $6 million
A (Since it's not an incremental cost, it should not be included in the new division's capital budgeting cash flows.)
The expected return for Stock Z is 30 percent. If we know the following information about Stock Z, then what return will it produce in the Lukewarm state of the world?
Retum Probability
Poor 0.2 0.25
Lukewarm ? 0.5
Dynamite 0.4 0.25
A. 20%
B. 30%
C. 40%
D. 50%
B (0.30=(0.25×0.20)+(0.5×x)+(0.25×0.40)
=>0.30=0.15+0.5x
=>x=0.3 )
Phosfranc, Inc. is expecting the following cash flows starting at the end of the year-$133,245, $152,709, $161,554, and $200,760. If their opportunity cost of capital is 9.4 percent, what is the future value of these cash flows at the end of four years? (Round to the nearest dollar.)
A. $734,731
B. $756,525
C. $734,231
D. $776,252
A

Robert White will receive cash flows of $4,450, $4,775, and $5,125 from his investment at the end of in the next three years. If he can eam 7 percent on the investment, what is the future value of his investment cash flows at the end of three years? (Round to the nearest dollar.)
A. $15,329
B. $15,427
C. $16,427
D. $14,427
A (4450 (1 + 0.07)^2 + 4775 (1 + 0.07)^1 + 5125)

What is the future value of $1,500 after 5 years if the annual return is 6 percent, compounded quarterly?
A. $1,819
B. $2,020
C. $2,016
D. $2,117
B (FV=1,500×(1+0.015)^(4x5) ≈2,020.)

Trekkers Footwear bought a piece of machinery on January 1, 2020 at a cost of $2.3 million, and the machinery is being depreciated annually at an amount of $230,000 for 10 years. its market value on December 31, 2022 is $1.75 million. The firm's accountant is preparing its financial statement for the fiscal year end on December 31, 2022. The net value of the asset that should be reported on the balance sheet is:
A. $2.3 million.
B. $1.61 million.
C. $230,000.
D. $1.75 million.
B (Accumulated Depreciation=3×230,000=690,000
Net Book Value = Cost - Accumulated Depreciation
2,300,000−690,000=1,610,000)
Bass Inc. is considering two mutually exclusive, equally risky projects S and L. Their cash flows are shown below. What is the crossover rate?
WACC: 7%
Year 0 1 2 3
CFS -$1,100 $500 $600 $200
CFL $2,700 $600 $700 $1,800
A. 4.250%
B. 9.67%
C. 10.16%
D. 10.38%
A
Bizini is considering whether to purchase an oven. Burt's calculates that its current oven generates $4,000 of cash flow per year. A new oven would cost $10,000 and would provide cash flow of $6,000 per year for 5 years. What is the equivalent annual cash flow for the new oven (round to the nearest dollar), and should Burt's purchase the new oven? Assume the cost of capital for Burt's is 10 percent.
A. $4,352, do not purchase the oven
B. $3362, do not purchase the oven
C. $9,668, purchasethe oven
D. $24,668, purchase the oven
B

A firm is considering taking a project that will produce $10 million of revenue per year. Cash expenses will be $6 million, and depreciation expenses will be $1 million per year. The project would also reduce the cash revenues of an existing project by $2 million. What is the free cash flow on the project, per year, if the firm is in the 34 percent average tax rate?
A. $2.4 million
B. $3.4 million
C. $1.66million
D. $5.0 million
C (EBT=New Revenue−Cash Expenses−Depreciation−Cannibalized Revenue
=(10−6−1−2)=1 million
Taxes=34%×1=0.34 million
NOPAT=EBT−Taxes=1−0.34=0.66 million
FCF=NOPAT+Depreciation=0.66+1=1.66 million
Học kỹ cách làm câu này nhé)
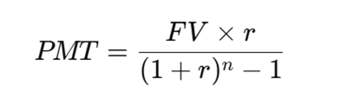
Viviana Carroll needs to have $25,000 in five years. If she can earn 8 percent on any investment, what is the amount she will have to invest at the end of each year for the next five years? (Round to the nearest dollar.)
A. $5,000
B. $4,261
C. $4,640
D. $4,445
B (PMT=(25,000×0.08)/((1.08)^5−1)≈4,263

Use the tax rate taken from the table below to calculate the total taxes paid for Lansing, |nc., this year. Lansing's
pretax income was $275,000.
A. $22,500
B. $68,250
C. $90,500
D. $107,250
C

In order to calculate free cash flow by starting with incremental cash flow from operations, we should:
A. subtract the incremental capital expenditures and add the incremental additions to working capital.
B. add the incremental capital expenditures and the incremental additions to working capital.
C. subtract the incremental capital expenditures and the incremental additions to working capital.
D. add the incremental capital expenditures and subtract the incremental additions to working capital.
C
Zidane Enterprises has a current ratio of 1.92, current liabilities of $272,934, and inventory of $197,333. What is the firm's quick ratio? Round your final answer to two decimal places.
A 0.72
B. 1.20
C. 1.92
D. 0.84
B (Current Assets=Current Ratio×Current Liabilities=1.92×272,934=523,034.88
Quick assets = Current Assets - Inventory
=523,034.88−197,333=325,701.88
Quick Ratio=Quick Assets/Current Liabilities =325,701.88/272,934=1.2)
Trident Corporation had the following cash flows in the current year. Which one of the following is a financing activity cash flow?
A. Rent on a warehouse amounting to $1.1 million
B. Purchase of $125,000 worth of five-year bonds issued by Towson Utilities
C. Preferred dividends to the tune of $330,000 paid to shareholders
D. Lease income received on a piece of land
C
Shane, Inc., has completed its fiscal year and reported Total Assets of $1,000,000 and Total Liabilities of $300,000. Calculate the value of common equity.
A. $1,300,000
B. $700,000
C. $600,000
D. $800,000
B (Equity=1,000,000−300,000=700,000)
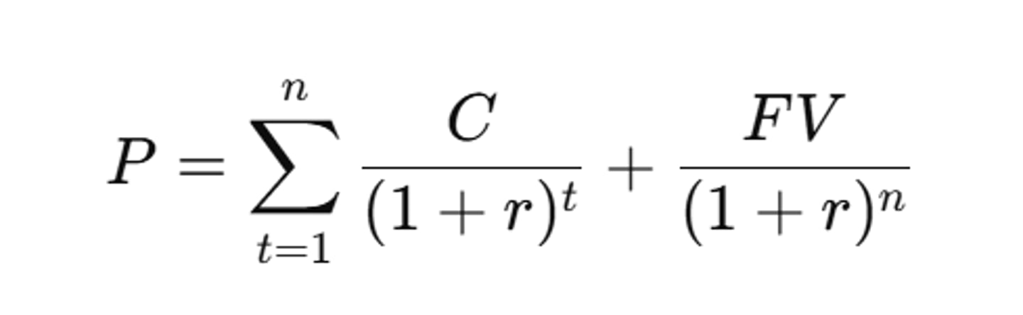
You are evaluating a growing perpetuity investment from a large financial services firm. The investment promises an initial payment of $20,000 at the end of this year and subsequent payments that will grow at a rate of 3.4 percent annually. If you use a 9 percent discount rate for investments like this, what is the present value of this growing perpetuity?
A. $378,130
B. $365,632
C. $372,925
D. $357,143
D (PV=C1/(r−g) =20,000/(0.09−0.034)=357,143 )
Lori Willis plans to invest for retirement, which she hopes will be in 20 years. She is planning to invest $25,000 today in U.S. Treasury bonds that will earn interest at 6.25 percent annually. How much will she have at the end of 20 years? (Round to the nearest dollar.)
A. $68,870
B. $50,625
C. $84,046
D. $75,000
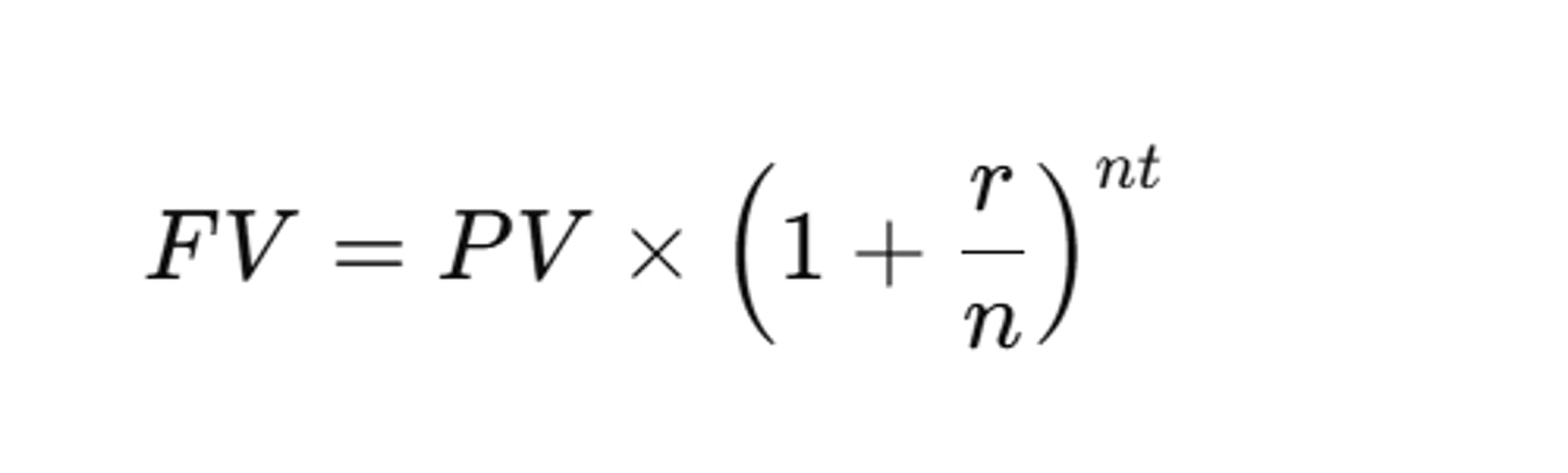
C (FV=PV×(1+r)^t
FV=25,000×(1.0625)^20≈84,046)
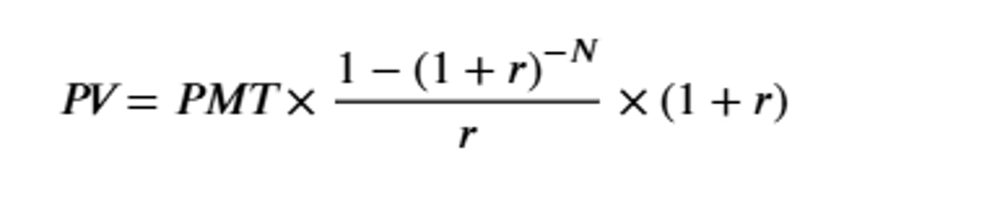
Present value: Becky Sayers wants to buy a house in six years. She hopes to be able to put down $25,000 at that time. If the bank CD she wants to invest in will pay 7.5 percent annually, how much will she have to invest today? (Round to the nearest dollar.)
A. $18,472
B. $13,987
C. $16,199
D. $23,256
C (PV=25,000/(1+0.075^)6≈16,199 )
Maddux, Inc., has completed its fiscal year and reported the following information. The company had current assets of $153,413, net fixed assets of $ 412,331, and other assets of $7,822. The firm also has current liabilities worth $65,314, long-term debt of $178,334, and common stock of $162,000. How much retained earnings does the firm have?
A) $ 405,648
B) $243,648
C) $167,918
D) $573,566
C (Total Assets=153,413+412,331+7,822=573,566
Total Liabilities=65,314+178,334=243,648
Retained Earnings=Assets−Liabilities−Common Stock
=573,566−243,648−162,000=167,918 )
Binder Corp. has invested in new machinery at a cost of $1,450,000. This investment is expected to produce cash flows of $640,000, $715,250, $823,330, and $907,125 over the next four years. What is the payback period for this project?
A. 2.12 years
B. 1.88 years
C. 4.00 years
D. 3.00 years.
A (Year 1: $640,000→ Cumulative: $640,000
Year 2: $715,250→ Cumulative: $640,000 + $715,250 = $1,355,250
Year 3: $823,330→ Remaining to recover: $1,450,000 - $1,355,250 = $94,750
Fraction of Year 3=94,750/823,330≈0.1151
Payback Period=2+0.1151≈2.12 years )
When computing the NPV of a capital budgeting project, one should NOT:
A. estimate the cost of the project.
B. discount the future cash flows over the project's expected life.
C. ignore the salvage value.
D. make a decision based on the project's NPV.
C (Hoặc đề sẽ đổi cách hỏi: In computing the NPV of a capital budgeting project, one should NOT)
You have observed that the average size of a particular goldfish is 1.5 inches long. The standard deviation of the size of the goldfish is 0.25 inches. What is the size of a goldfish such that 95 percent of the goldfish are smaller? Assume a normal distribution for the size of goldfish.
A. 1.01 inches
B. 1.09 inches
C. 1.91 inches
D. 1.99 inches
C ( z0.95≈1.645
x=μ+z⋅σ x=1.5+(1.645)(0.25)=1.91125 )
If a random variable is drawn from a normal distribution, what is the probability that the random variable is larger than 1.96 standard deviations larger than the mean?
A. 1.25%
B. 2.50%
C. 3.75%
D. 5.00%
B (P(Z<1.96)=0.975 =>P(Z>1.96)=1−0.975=0.025 =2.5% )
When deciding to select one project or another where the projects have different useful lives, you could utilize:
A. a repeated investment analysis to decide which project is better for the firm.
B. a net present value analysis to compare each project without adjusting for the different useful lives of the projects because it is not applicable.
C. payback period calculations to make a decision.
D. an internal rate of return analysis which is preferred over an equivalent annual annuity analysis.
A
Cash flows from financing activities include all but one of the following:
A. cash payments on the principal of long-term debt
B. issuing and paying out on insurance contracts
C. cash purchases of treasury stock
D. cash proceeds from a bank loan
B
Which of the following is the best example of how a market-value balance sheet item differs from the firm's book-value balance sheet item?
A. A firm issued long-term bonds five-years ago that currently sell for par value.
B. A firm sold common stock twenty-years ago for $20.00 share. The firm's common stock is currently selling for $96.50 per share.
C. A firm has $5 million of accrued liabilities on the books.
D. A firm issued preferred stock ten-years ago. These shares of preferred stock currently are selling for par value.
B
The major disadvantages of market-value accounting include:
A. the difficulty in estimating the current value for some assets.
B. the difficulty in applying some of the valuation models used to estimate market values.
C. the resulting numbers are potentially open to abuse.
D. All of these choices are disadvantages of market-value accounting.
D
Time value of money refers to the concept of.
A. summing a stream of future cash flows.
B. why a dollar received today is worth more than a dollar received tomorrow.
C. the time required to double an amount of money assuming no application of an interest rate.
D. why people prefer to consume things of equal value at some time in the future rather than today.
B
Robertsons, Inc., is planning to expand ita specialty stores into five other states and finance the expansion by issuing 15-year zero coupon bonds with a face value of $1,000. If your opportunity cost is 8 percent and similar coupon-bearing bonds will pay semiannually, what will be the price at which you will be willing to purchase these bonds? (Round to the nearest dollar.)
A) $308
B) $383
C) $803
D) $866
A
RTR Corp. has reported a net income of $812,425 for the year. The company's share price is $13.45, and the company has 312,490 shares outstanding. Compute the firm's price-earnings ratio.
A) 4.87 times
B) 8.12 times
C) 5.17 times
D) None of the above
C
Juventus Corp has total assets of $4,744,288, total debt of $2,912,000, and net sales of $7,212,465. Their net profit margin for the year is 18 percent. What is Juventus's ROA?
A) 25.6%
B) 18%
C) 27.4%
D) None of the above
C
Serox stock was selling for $20 two years ago. The stock sold for $25 one year ago, and it is currently selling for $28. Serox pays a $1.10 dividend per year. What was the rate of return for owning Serox in the most recent year? (Round to the nearest percent.)
A. 12%
B. 16%
C. 32%
D. 40%
B (Rate of Return=(Capital Gain+Dividend)/Initial Price×100%
= (($28 - $25) + $1.10)/25×100%=16.4%≈16%)
Which of the following is the best example of a sunk cost?
A. Future payments on a leased building
B. Future research and development costs
C. Historical research and development costs
D. Historical noncash expenses
C
Which of the following is NOT an example of present value?
A. The value today of future cash flows
B. A discount factor applied to future cash flows.
C. The value of a future payment adjusted for interest.
D. The amount earned on an investment over time.
D
To start a business, the owners need:
A. Eshader Wealther
B. a clear vision of what products ts or services they want to produce.
C. employees.
D. productive assets such as buildings, technology, or patents.
B
Anne Morgan wants to borrow $6,000 for a period of four years. She has two choices. Her bank will lend her the amount at 7.25 percent compounded annually. She can also borrow from her firm and will have to repay a total of $8,130.93 at the end of four years. Should Anne choose her bank or the firm, and what is the interest rate if she borrows from her firm? (Round to the nearest percent.)
A. She should borrow from the bank as the bank is charging a higher interest of 9 percent.
B. She should borrow from her firm as it is charging a lower interest of of 7 percent.
C. She should borrow from the bank as the firm is charging a higher interest of 8 percent.
D. She should borrow from her firm as it is charging a lower interest of 6 percent.
C
Scenario analysis can help a firm to:
A. understand the degree of uncertainty that a different set of circumstances affecting a project may hold.
B. eliminate all of the uncertainty that a different set of circumstances affecting a project may hold.
C. transform a risky project into a risk-free project.
D. understand the degree of certainty that a similar set of circumstances affecting a project may hold.
A
When interest is compounded more frequently, the future value will:
A. Decrease
B. Stay the same
C. Increase
D. Be unaffected
C
Scottie Barnes has an investment that will pay him $6,400, $6,450, $7,225, and $7,500 over the next four years. If his opportunity cost is 10 percent, what is the future value of the cash flows he will receive after four years? (Round to the nearest dollar.)
A. $27.150
Β. $32,020
C. $30,455
D. $31,770
D (FV = PV(1 + r)^n
Total FV = FV1 + FV2 + FV3 + FV4 )
Graciela Treadwell won a lottery. She will have a choice of receiving $25.000 at the end of each year for the next 30 years, or a lump sum today. If she can earn an annual return of 10 percent on any investment she makes, what is the least she should be willing to accept today as a lump-sum payment? (Round to the nearest hundred dollars.)
A. $750,000
Β. $334,600
C. $212,400
D. $235,700
D

When interest rates rise, bond prices:
A. Increase
B. Decrease
C. Remain unchanged
D. Become equal to face value
B
An analytical method that uses a computer to quickly examine a large number of scenarios and obtain probability estimates for various values in a financial analysis is known as:
A. risk analysis.
B. credit analysis.
C. capital structure analysis.
D. simulation analysis.
D
Which of the following best explains the purpose of discounted cash flow (DCF) analysis?
A. A company estimates taxes based on its revenue
B. To determine stock volatility using historical data
C. To value an investment based on its future cash flows
D. To analyze profitability through accounting ratios
C
Your subscription to BusinessWeek is about to expire. You plan to subscribe to the magazine for the rest of your life. You can renew it by paying $50 annually, beginning immediately, or you can get a lifetime subscription for $500, also payable immediately. Assuming that you can earn 6.525 percent on your funds and that the annual renewal rate will remain constant, how many years must you live to make the lifetime subscription the better buy?
A. 12
B. 15
C. 10
D. 18
B

Your inheritance will pay five annual payments of $100.000 starting today. You can invest it in a CD that will pay 7.75 percent annually. What is the present value of your inheritance? (Round to the nearest dollar.)
Α. $399,356
Β. $401,916
C. $433,064
D. $467,812
C

Norwood is putting out a new product. The product will pay out $25,000 in the first year, and after that the payouts will grow by an annual rate of 2.5 percent forever. If you can invest the cash flows at 7.5 percent, how much will you be willing to pay for this perpetuity? (Round to the nearest dollar.)
A. $312,000
Β. $233,000
C. $250,000
D. $500,000
D

Your investment in a small business venture will produce cash flows that increase by 15 percent every year for the next 25 years. This cash flow stream is called:
A. an annuity due.
B. a growing perpetuity.
C. an ordinary annuity.
D. a growing annuity.
D
Which of the following is NOT a noncash item?
A. Depreciation
B. Taxes
C. Prepaid expenses
D. Prepaid taxes
B
The _______ is intended to reconcile changes in the balance sheet cash accounts.
A. capital budgeting cash flow calculation
B. accounting statement of cash flows
C. accounting statement of income
D. accounting statement of changes in equity
B
Additions to tangible assets, intangible assets, and current assets can be described as:
A. cash flows associated with investments.
B. operating cash flows.
C. free cash flows.
D. cash flows associated with financing.
A
Callable bonds give the issuer the right to:
A. Convert the bond to equity
B. Increase the coupon rate
C. Repurchase the bond before maturity
D. Delay coupon payments
C
A company's current ratio is 0.5. Everything else held constant, which of the following actions would increase
the company's current ratio?
A. Borrow long-term debts to reduce accounts payable
B. Use cash to reduce accruals
C. Use cash to reduce accounts payable
D. Use cash to reduce short-term notes payable
A
Pedro & Co. has $720,000 of assets and is all-equity financed. The new CFO wants to use enough debt to raise the total debt to total capital ratio to 40 percent, using the proceeds from borrowing to buy back common stock at its book value. How much must the firm borrow to achieve the target debt ratio?
A. $273,600
B. $288,000
C. $302,400
D. $317,520
B
A construction firm is evaluating two value-adding projects. The first project deals with building access roads to a new terminal at the local airport. The second project is to build a parking garage on a piece of land that the hiring firm owns adjacent to the airport.
If both projects are positive-NPV projects, then the firm should:
A. accept both projects because they are independent projects.
B. select the higher NPV project because they are mutually exclusive.
C. accept both projects because they are contingent projects.
D. Not enough information is given to make a decision.
A
The firm's _____ is used to calculate NOPAT because the profits from a project are assumed to be incremental to the firm.
A. average tax rate
B. marginal tax rate
C. lowest marginal tax rate
D. highest marginal tax rate
B
Which of the following factors or activities can be controlled by a firm's managers?
A. Capital budgeting decision
B. The level of economic activity
C. The level of market interest rates
D. Stock market conditions
A
Which of the following is NOT one of the goals of the Sarbanes-Oxley Act of 2002?
A. Attain greater board independence
B. Establish compliance programs
C. Establish ethics programs
D. Dictate maximum compensation levels
D
Leroy Diaz plans to invest some money today so that he will have $7,500 in three years. If the investment he is considering will pay 3.65 percent compounded daily, how much will he have to invest today?
A. $5,276
B. $6,722
C. $6,897
D. $7,140
B
Lana is interested in a 15-year bond issued by Rome Corp. that pays a coupon of 9 percent annually. The current price of this bond is $1,277. What is the yield that Jane would earn by buying it at this price and holding it to maturity? (Round to the closest answer.)
A. 7.1%
B. 7.5%
C. 6.1%
D. 8.5%
C

Which of the following statements is true of amortization?
A. With an amortized loan, a periodic payment of principal portion gradually decreases over a period.
B. Amortization schedule represents only the interest portion of the loan.
C. With an amortized loan, a larger proportion of each periodic payment goes toward interest in the early periods.
D. The computation of loan amortization is wholly based on the computation of simple interest.
C
Which of the following statements is true of amortization?
A. Amortization solely refers to the total value to be paid by the borrower at the end of maturity.
B. The amortization schedule represents only the interest portion of the loan.
C. The computation of loan amortization is wholly based on the computation of simple interest.
D. The amortization schedule provides principal, interest, and unpaid principal balance for each period.
D
Which of the following is primarily responsrble for managing all financial aspects of a firm?
A. CFO
B. CEO
C. Board of directors
D. Audit committee
A
Strange Manufacturing Company is purchasing a production facility at a cost of $21 million. The firm expects the project to generate annual cash flows of $7 million over the next five years. Its cost of capital is 18 percent. What is the net present value of this project? (Do not round intermediate computations. Round final answer to nearest dollar.)
A. $890,197
B. $1,213,909
C. $905,888
D. $777,713
A

Which of the following is (are) the characterization of dealer market?
A. It is time-consuming to search for a fair deal.
B. The dealer does not hold an inventory of securities.
C. The presence of a dealer market does not affect market efficiency because search costs are still high.
D. It improved market efficiency because dealers provide continuous bid and ask prices for securities.
D
Downward-sloping yield curves usually occur:
A. when the economy is growing.
B. when the economy is stagnant.
C. before the beginning of a recession.
D. after the beginning of a recession.
C
Deutsche Bearings has total sales of $9,745,923, inventories of $2,237,435, cash and equivalents of $755,071, and days' sales outstanding of 49 days. if the firm's management wanted its days' sales outstanding (DSO) to be 35 days, by how much will the accounts receivable have to change? Round your final answer to two decimal places.
A. $373,816.23
B. -$373,816.23
C. -$379,008.12
D. $379,008.12
B (DSO=Accounts Receivable/Total Sales×365
= 49×9,745,923/365≈1,308,230.88
Target AR=35×9,745,923/365≈934,414.65
Change in AR=Target AR−Current AR≈934,414.65−1,308,230.88=−373,816.23 )
RTR Corp. has reported a net income of $812,425 for the year. The com pany's share price is $13.45, and the company has 312,490 shares outstanding. Compute the firm's priceeamings ratio. Round your final answer to two decimal places.
A. 4.87 times
B. 8.12 times
C. 5.17 times
D. 6.23 times
C (EPS=Net Income/Shares Outstanding = 812,425/312,490≈2.6
P/E Ratio=13.45/2.6≈5.17 )
Tern Garner will invest $3,000 in an IRA for the next 30 years starting at the end of this year. The investment will earn 13 percent annually. How much will she have at the end of 30 years? (Round to the nearest dollar.)
A. $879,598
B. $912,334
C. $748,212
D. $1,233,450
A

Each quarter, Coso, Inc, pays a dividend on its perpetual preferred stock. Today, the stock is selling at $95. If the required rate of return for such stocks is 10 percent, what is the quarterly dividend paid by the firm? (Do not round intermediate calculations. Round final answer to two decimal places.)
A. $8.76
B. $10.50
C. $2.19
D. $2.38
D (rquarterly=0.10/4=0.025
Dividend=Price×r=95×0.025=2.38)
Which of the following is a characteristic of independent projects?
A. The cash flows are related.
B. The cash flows are unrelated.
C. Selecting one would automatically eliminate accepting the other.
D. Acceptance of one project is contingent on the acceptance of another-
B
Each quarter, Transam, Inc., pays a dividend on its perpetual preferred stock. Today, the stock is selling at $83.45. If the required rate of return for such stocks is 10.5 percent, what is the quarterly dividend paid by this firm?
A. $8.76
B. $10.50
C. $2.19
D. $2.63
C (the quarterly rate = 0.105 /4 =0.02625
D=P x r quarterly=83.45 x 0.02625=2.18906≈2.19
Lưu ý phần bôi đen đề có thể đổi số, nhớ công thức để thế )
Jacobs Suppliers has not paid out any dividend in the last three years. It does not expect to pay dividends in the next two years either as it recovers from an economic slowdown. Three years from now it expects to pay a dividend of $2.50 and then $3.00 in the following two years. What is the present value of the dividends to be received over the next five years if the discount rate is 15 percent?
A. $4.85
B. $5.37
C. $5.50
D. $6.14
A (PV=D/(1+r)^t
PV=PV3 + PV4 + PV5 =1.644+1.715+1.492 =4.85 )
The true cost of lending is the
A. annual percentage rate.
B. effective annual rate.
C. quoted interest rate.
D. none of the above.
B
Two projects are considered to be mutually exclusive if
A. the projects perform the same function.
B. selecting one would automatically eliminate accepting the other.
C. Both a and b.
D. None of the above.
C (đáp án câu này có thể gộp lại là: the projects perform the same function and selecting one would automatically eliminate accepting the other.)
Your firm is considering an investment that will cost $750,000 today. The investment will produce cash flows of $250,000 in year 1, $400,000 in year 2, and $600,000 in year 3. The discount rate that your firm uses for projects of this type is 11.75%.
What is the investment's equivalent annual cost? (Round off to the nearest)
A) $163,613
B) $225,008
C) $ 68,888
D) $ 92,845
D 1; NPV = total discount cash flow year 1+2+3 - 750000
=(250,000 / (1 + 0.1175)^1) + (400,000 / (1 + 0.1175)^2) + (600,000 / (1 + 0.1175)^3) -750000 = 223,960.33
2; EAC = (NPV*r)/(1-(1+r)^-n)
= (223,960.33*0.1175)/(1-(1+0.1175)^-3) ≈ 92,845

Carlos Lopes is looking to invest for the next three years. He is looking to invest $7,500 today in a bank CD that will earn interest at 5.75 percent annually. How much will he have at the end of three years? (Round to the nearest dollar.)
A. $8,870
B. $8,575
C. $8,681
D. $8,990
A (FV=PV×(1+r)^t = 7,500×(1+0.0575)^3≈8,870
Lorene Buckley wants to invest $3,500 today in a money market fund that pays an annual rate of 5 percent paid quarterly. She plans to fund a scholarship with the proceeds at her alma mater, Towson University. How much will Lorene have at the end of seven years? (Round to the nearest dollar.)
A. $5,091
B. $3,849
C. $4,956
D. $5,075
C (PV = $3,500
r = 5% = 0.05
n = 4 (quarterly compounding)
t = 7 years
FV = $3,500 (1 + 0.05/4)^(47) ) = $4,956 )
