1/93
CCBs, Antihypertensives, Diuretics, Cholesterol lowering Agents
Name | Mastery | Learn | Test | Matching | Spaced | Call with Kai |
|---|
No analytics yet
Send a link to your students to track their progress
What drug is this?

Nifedipine
What drug is this?

Nicardipine

What drug is this?
Amlodipine
What drug is this?

Verapamil

What drug is this?
Diltiazem

What drug is this?
Propranolol

pindolol

Atenolol

metoprolol

Bisoprolol

Betaxolol

Esmolol

not a drug but what is this substance?
nitric oxide

nitroglycerin (glyceryl trinitrate)

Isosorbide dinitrate

Isosorbide mononitrate

Ranolazine

what enzyme catalyzes this reaction?
Guanylate cyclase

what enzyme catalyzes this reaction?
Phosphodiesterase
what activates Guanylate Cylase?
NO (nitric oxide) activates sGC


clonidine

Guanabenz

Guanfacine

Propranolol

pindolol

Atenolol

Metoprolol

Bisoprolol

betaxolol

Esmolol

what is this drug and what is it used for?
tolazine- used for pulmonary hypertension in newborns

phentolamine

Prazosin

Terazosin

Doxazosin

Alfuososin

Tamsulosin

α-methyltyrosine

α-Methyldopa

Hydralazine
Phtalazine nucleus

Minoxidil

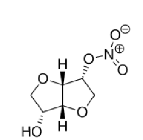
Nitroprusside

Diazoxide

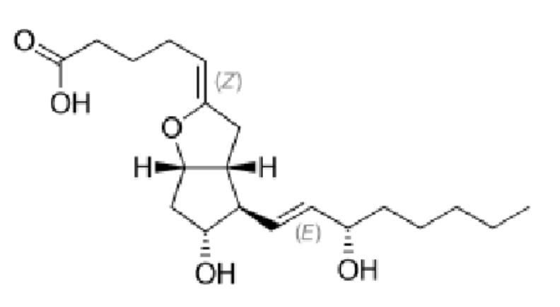
Epoprostenol

Iloprost

Bosentan

Aliskiren

Captopril
mercapto group, carboxylic acid + sulfahydroxyl grp.

Lisinopril

Enalapril
2 COOH groups

enalaprilat
notice 1 COOH groups, demethylzed enalapril notice CH3 is now OH

Benzapril

Ramipril

Fosinopril

candesartan

Eprosartan

Losartan *notice the tetrazole and e- withdrawing group

Tasosarten

Telmisartan
no tetrazole but 2 five memeber ring with 2 Nitrogen

Valsartan
notice the tetrazole

Urea(Carmal)

Mannitol(Osmitrol)

Acetazolamide(Diamox)

Methazolamide(Neptazane)

Chlorothiazide(Diuril)

Hydrocholrothiazide(HydroDIURIL)

Bendroflumethiazide (Naturetin)

Polythiazide(Renese)

Quinethazone (TRADE: Hydromox)
a thiazide like sulfonamide(ring has no sulfur)

Metolazone (TRADE: Zaroxylon)

Chlorthalidone (TRADE: Hygroton)
Indole w/ hydroxyl group

Indapamide (TRADE: Lozol)

Furosemide (TRADE: Lasix)

Ethacrynic Acid (TRADE: Edecrin)
loop diuretic

Bumetanide (TRADE: Bumex)

not a drug what is this endogenous substance?
Aldosterone

Spironolactone (TRADE: Aldactone)

Triamterene (TRADE: Dyrenium)

Amiloride (TRADE: Midamore)

Ezetimbine

Cholestipol

Cholestyramine

Rosuvastatin

Fluvastatin

Atorvastatin

Simvastatin

Pravastatin

Lovastatin

Fenofibrate

Gemfibrozil

Nicotinic Acid

not a drug what is this?
Cholesterol

not a drug what is this structure?
Triglyceride-Saturated