1/19
Looks like no tags are added yet.
Name | Mastery | Learn | Test | Matching | Spaced | Call with Kai |
|---|
No analytics yet
Send a link to your students to track their progress
what type of test is Spearman Rank-Order Correlation Coefficient
nonparametric test
what is Spearman Rank-Order Correlation Coefficient used to identify
relationships or associations between two variables
what is Spearman Rank-Order Correlation Coefficient an adaptation of
the Pearson product-moment correlation
when is spearman rank-order correlation coefficient calculated
when the assumptions of the pearson analysis cannot be met
what Spearman Rank-Order Correlation Coefficient used to analyze
data that is ordinal level of measurement or scores measured at the
interval or ratio levels that are skewed or not normally distributed
for Spearman Rank-Order Correlation Coefficient what must each subject have
a score (or value) on each of two variables, variable x and variable y
what must the scores be to conduct spearman rank
must be ranked
for spearman the scores in each variable are…
ranked separately
what are calculations of spearman based on
difference scores between a subject’s ranking on the first (variable x) and second (variable y) set of scores
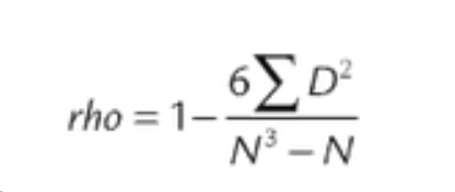
Spearman Rank-Order Correlation Coefficient formula
D=x-y
rho
statistic for the Spearman correlation coefficient
D
difference between the rankings of a subject’s score on both variables x and y
N
number of paired ranked scores
rho formula

spearman value range
-1 to +1 where a positive value indicated a positive relationship and a negative value indicates a negative or inverse relationship
for spearman whaat indicates the strongest relationship
Numbers closest to +1 or -1
what is rho statisitcal power
91%
what does rho having a statistical power of 91% mean
that the rho has a 9% smaller probability of detecting a relationship or association if one exists
for spearman if the sample size is greater than 50
the power of the rho is approximately equal to that of the Pearson r
strength of rho
– <0.3 or <-0.3 – weak relationships
– 0.3 to 0.5 or -0.5 to -0.3 – moderate relationships
– 0.5 to 1.0 or -0.5 to -1.0 – strong relationships
– 0 = no relationship