Home
Explore
Exams
Search for anything
Login
Get started
Home
Science
Chemistry
Organic Chemistry
OCHEM Exam 1 - Functional Groups
0.0
(0)
Rate it
Studied by 2 people
0.0
(0)
Rate it
Call Kai
Learn
Practice Test
Spaced Repetition
Match
Flashcards
Knowt Play
Card Sorting
1/22
Earn XP
Description and Tags
Chemistry
Organic Chemistry
Add tags
Study Analytics
All Modes
Learn
Practice Test
Matching
Spaced Repetition
Name
Mastery
Learn
Test
Matching
Spaced
No study sessions yet.
23 Terms
View all (23)
Star these 23
1
New cards
amine
\
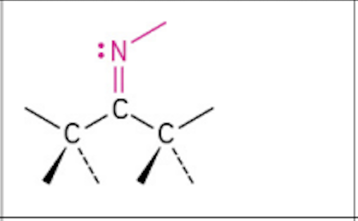
2
New cards
imine
\
3
New cards
nitrile
\
4
New cards
thiol
\
5
New cards
sulfide
6
New cards
disulfide
7
New cards
sulfoxide
8
New cards
aldehyde
9
New cards
ketone
10
New cards
carboxylic acid
11
New cards
ester
12
New cards
thioester
13
New cards
amide
14
New cards
acid chloride
15
New cards
carboxylic acid anhydride
16
New cards
alkene
17
New cards
alkyne
18
New cards
arene (aromatic ring)
19
New cards
halide
20
New cards
alcohol
21
New cards
ether
22
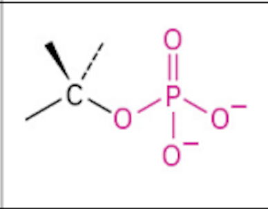
New cards
monophosphate
23
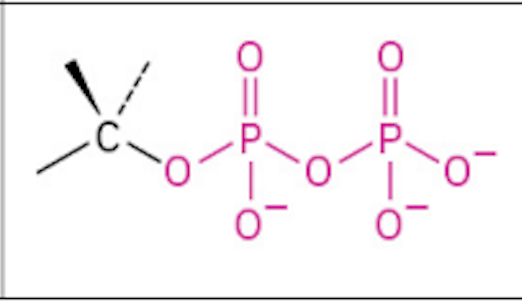
New cards
diphosphate
Explore top notes
Unit One test Study Guide APHG
Updated 1180d ago
Note
Preview
In-Depth Notes on the Korean War (1950-1953)
Updated 250d ago
Note
Preview
Chapter 27: The Reproductive System
Updated 976d ago
Note
Preview
Biology UIL 2024-2025
Updated 262d ago
Note
Preview
Chapter 1: Introduction: Why Religion Matters
Updated 1083d ago
Note
Preview
H105IUSBF24.REV4 - Tagged
Updated 361d ago
Note
Preview
100 High-Frequency SAT Words
Updated 247d ago
Note
Preview
Unit 2: Exploring Two-Variable Data
Updated 978d ago
Note
Preview
Unit One test Study Guide APHG
Updated 1180d ago
Note
Preview
In-Depth Notes on the Korean War (1950-1953)
Updated 250d ago
Note
Preview
Chapter 27: The Reproductive System
Updated 976d ago
Note
Preview
Biology UIL 2024-2025
Updated 262d ago
Note
Preview
Chapter 1: Introduction: Why Religion Matters
Updated 1083d ago
Note
Preview
H105IUSBF24.REV4 - Tagged
Updated 361d ago
Note
Preview
100 High-Frequency SAT Words
Updated 247d ago
Note
Preview
Unit 2: Exploring Two-Variable Data
Updated 978d ago
Note
Preview
Explore top flashcards
AP World Unit 1
Updated 258d ago
Flashcards (55)
Preview
BIO FINAL 7-9
Updated 734d ago
Flashcards (22)
Preview
3k lhp part 11
Updated 140d ago
Flashcards (84)
Preview
common polyatomic ions
Updated 486d ago
Flashcards (26)
Preview
Environmental sustainability
Updated 391d ago
Flashcards (29)
Preview
US History Information: Midterm
Updated 729d ago
Flashcards (87)
Preview
Spanish - Lesson 11
Updated 993d ago
Flashcards (53)
Preview
PGN Psi - Class
Updated 69d ago
Flashcards (34)
Preview
AP World Unit 1
Updated 258d ago
Flashcards (55)
Preview
BIO FINAL 7-9
Updated 734d ago
Flashcards (22)
Preview
3k lhp part 11
Updated 140d ago
Flashcards (84)
Preview
common polyatomic ions
Updated 486d ago
Flashcards (26)
Preview
Environmental sustainability
Updated 391d ago
Flashcards (29)
Preview
US History Information: Midterm
Updated 729d ago
Flashcards (87)
Preview
Spanish - Lesson 11
Updated 993d ago
Flashcards (53)
Preview
PGN Psi - Class
Updated 69d ago
Flashcards (34)
Preview