1/6
Looks like no tags are added yet.
Name | Mastery | Learn | Test | Matching | Spaced | Call with Kai |
|---|
No analytics yet
Send a link to your students to track their progress

der of ln(U)


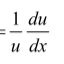
inverse trig (sin) derivatives


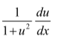
inverse trig (tan) derivatives


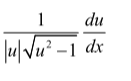
inverse trig (sec) derivatives


der of log


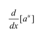
derivative of exponent
kind of like der of log u where it becomes 1/ulna

arc cos, arc cot, arc csc
same as their counterparts (sin, tan, sec) but just negative.