1/41
Flashcards met belangrijke termen en definities met betrekking tot conditionering en leren.
Name | Mastery | Learn | Test | Matching | Spaced | Call with Kai |
|---|
No analytics yet
Send a link to your students to track their progress
Conditionering def + vorm geheugen
Het proces waarin een organisme leert associaties te maken tussen stimuli en reacties.
Beide zijn vormen van associatief leren en geheugen
Klassieke conditionering (“Pavloviaanse”)
Een leerproces waarbij een neutrale stimulus voorspellende waarde krijgt door associatie met een ongeconditioneerde stimulus.
Operante conditionering
Een leerproces waarin een organisme leert een actie te ondernemen om een bepaalde uitkomst te verkrijgen of te vermijden.
klassieke conditionering uitgebreid hond + 2 soorten
voor conditionering
unconditioned stimulus = zonder voorwaarde bijv eten,
unconditioned rosponse = kwijlen door eten
neutral stimulus = bepaalde stimuli zijn neutraal, bijv fluitje, voordat er iets mee wordt aangeleerd, geeft ook geen respons
tijdens conditionering
unconditioned respons = neutrale en unconditioned stimulus worden tegelijk aangeboden, associatie = fluit > eten
na conditionering
conditioned stimulus = associatie zo sterk dat fluit zorgt voor kwijlen
conditioned respons = kwijlen door fluit
Appetitieve conditionering: US is positief
Aversieve conditionering: US is negatief

Aversieve klassieke conditionering experiment muis
rat op gaas, geluid > voorspelt stroom komt te lopen over gaas
voor
US : footschock
UR : startle response
na
CS : toon
CR : freezing (kan kwalitatief verschillen van ur)
bijzonder : werkt heel snel, gebeurd al na 10 trails
heel sterk mechanisme

Aversieve klassieke conditionering konijn
airpuff in oog van konijn
werkt precies hetzelfde, iets diervriendelijker
CS = toon
US = airpuff
UR = knipperen, daarna door CS CR

Aversieve klassieke conditionering konijn conclusie na hoeveel dagen
toon een bepaalde tijd, op het eind die airpuff
dag 1 op toon niks, airpuff aanbiedt = knipperen
dag 3 al beetje reactie voor US
dag 5 al met ogen begint te knipperen voor US » CR eerder plaatsvindt dan US
airpuff minder aversief dan eten dus duurt iets langer qua trails

extinctie + context
na het leerproces eigenlijk klaar is = stippellijn
alleen CS aabieden, maar nooit meer US, verliest die CS zijn voorspellende waarde, neemt dus weer af, belangrijk ; niet helemaal terug naar 0, af en toe toch een beetje in anticipatie,
andere manierr : op trail 90 1x US weer toe te voegen » schiet weer helemaal naar boven = riant statement?
context belangrijk : bepaald kamertje die er zo uit ziet associatie geleerd, extincie in ander kamertje, vweer terug in eerste ruimte, weerr sterrk die CR
veergelijkbaar met verslaving
oude CS-US associatie blijft intact!

omgeving als CS + probleem
in kamer af en toe schrok ; associeert die omgeving met schrok
maar… onze wereld bestaat uit allerlei dingen?? wat met wat associeren?

twee CS-en bij muis
wat met wat associeren?
geluid + lampje
testfase beide == 100% freezing
maar bij testfase = alleen toon/geluidje » 50% freezing
salientie vd stimulus maakt uit?
hoe opvallend/onopvallend aanwezig een stimulus is voor het organisme
toon heel luid, lampje heel klein bij leerfase
geluid veel meer
lamp veel minder

twee cs en muis eerst 1 vd twee aangeleerd + naam effect!!
toon met schrok > testfase
daarna tweede leerproces, lamp + toon >
wat in die testfase?
1; alleen toon = freezing
2; alleen lamp = helemaal niks
kamin’s blocking effect
tijdens leerfase 1 heeft toon 100% (freezing), maar de lamp heeft geen effect. Dit illustreert het fenomeen dat als een stimulus al geassocieerd is met een ongewenste gebeurtenis, een nieuwe stimulus (zoals de lamp) niet effectief zal zijn in het creëren van een associatie.
Conditioned Response (CR)
De reactie die wordt uitgelokt door een geconditioneerde stimulus na training.
Unconditioned Stimulus (US)
Een stimulus die een natuurlijke, ongeconditioneerde reactie teweegbrengt zonder eerdere training.
Rescorla-Wagner model
Een model dat beschrijft hoe de voorspellende waarde van een geconditioneerde stimulus wordt geëvalueerd aan de hand van de werkelijke ongeconditioneerde stimulus.
Tijdens leren krijgt de CS een voorspellende waarde over de US →Vcs. (voorspellende waarde van cs)
Na een trial wordt geëvalueerd of de Vcs klopt met de US.
Zo niet, dan wordt de Vcs aangepast.
De verandering (∆) van de Vcs is gerelateerd aan de werkelijke US – de voorspelde US (Vcs). Dit verschil heet de “prediction error”
verschil hier 0 is, hoef je blijkbaar neit te leren, kon je volledig voorspellen, error term = 0 = prediction error
Prediction Error
Het verschil tussen de voorspelde uitkomst en de werkelijke uitkomst, wat invloed heeft op het leerproces.
rescorla wagner model met het konijn
eerste moment
CS is nieuw == neutraal Vcs = 0
US treedt op
US = 100
Pe= US-Vcs
PE=100-0 = 100
trail 20
Vcs= 100
US = 100
PE = 100-100=0
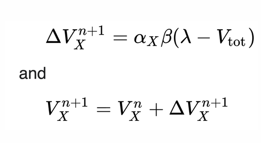
Rescorla-Wagner model formule
(labda-Vtot) == PE
b = learning rate us > parametriceert, zijn zo veel dingen om ons heen dat we niet oalles meteen 1:1 kunnen aannemen, maar als er echt vaker hetzelfde gebeurd dan kan dat wel, meer noradrenaline = sneller leren
alpa = salience van CS, geindexeerd met X
X = 1 bepaalde conditionele stimulus, dus bijv dat toontje
a*x*b krijg je een update term
hoeveel je die voorspellende waarde, van die bepaalde condition stimulus, geindex met die X > moet worden geupdate


Rescorla-Wagner model model kan 2 dingen verklaren
model kan 2 dingen verklaren
karins blocking effect rechtsboven
toon = 100% Vcs, daarna lampjje, PE = 0 dus hoeft niks geleerd te worden
als een meer salient is dan ander : groter effect op CR
dat wordt beschreven door alfa
geeft ons de update term, die delta Vx
onze volgende voorspelling = onze huidige + update step

procedureel geheugen van model
wat er in zo’n experiment gebeurt
model zelde stimuli aanbiedt als konijn
dan zie je dus idd dat over trials heen die voorspelde waarde van een lampje bijvoorbeeld toeneemt, de PE af neemt
beta parameter kun je fitten aan het gedrag van een beest

Rescorla-Wagner model extinctie verklaren
begin extinctie
Vsc = 100, alles is al geleerd
US = 0
PE 0-100=-100 wordt negatief!!
komt uit de formule negatief getal > betekent dat we die voorspellende waarde moeten afbouwen

Rescorla-Wagner model samenvatting resultaten

Rescorla-Wagner model waarom een model?
o Dwingt je na te denken over het mechanisme.
o Leidt daardoor tot nieuwe mechanistische ideeën.
o Geeft daardoor sturing aan de empirische wetenschap
Latent inhibition?
Vertraging in associatief leren door eerdere blootstelling aan een geconditioneerde stimulus zonder ongeconditioneerde stimulus.
Andere gebieden betrokken bij klassieke conditionering:
o Striatum
o Amygdala (H. Krugers: Emotioneel leren)
o Medial temporal lobe (boek)
Cerebellum en eye-blink conditionering circuit
circuit : sterk betrokken met eye blink conditionering van konijn
motorisch leren
type leren afh van dit circuit
US input (groen):
o Inferior olive
CS input (paars):
o Pontine nuclei
o Regio's selectief voor specifieke CS
CR output (rood)
o Nucleus Interpositus

Neurale activiteit van interpositus nucleus met UR:
kunnen we daar activiteit meten die inderdaad indicatief is voor het plaatsvinden van klassiek conditioneren?
ja
NS = geen eyeblinks dus neutraal
vervolgens US aanbiedt krijg je hele sterke UR, maar eig helemaal niks extra’s in IN, »
Sterke UR, maar nauwelijks extra activiteit. Betekent dat cerebellum niet betrokken is bij het genereren van een UR.

Neurale activiteit van interpositus nucleus dag 2 CR :
CS anticipatie op US eerder begint, ziet dat dat samengaat met veel activiteit, genereerd dus CR!!
Activiteit correleert met CR (eyeblink). Betekent dat cerebellum wel betrokken is 38 bij het genereren van een CR.

2 routes
US IO > CF == info van US > purkinje cellen
CS in paars > mossy fibers > sensorische info > beinvloeden ook purkinje cellen >
komen die twee stromen samen in purkinje cell
inhiberen interpositus
> hoe act purkinje cell, hoe minder actief interpostitus

Cerebellum en eye-blink conditionering Purkinje cell activiteit
waarom neemt die activiteit af van purkinje cell?
constant vrij hoge firing rate baseline
associatie gevormd
CS aangeboden, act naar beneden, als US wordt aangeboden > weer omhoog
waarom neemt die activiteit af van purkinje cell?
signalen van climbing en mossy fibers samenkomen bij purkinje cells, zet proces in gang van LTD, synapsen tussen parallel fibers en purkinje cellen minder efficient
na een tijdje CS alleen wordt aageboden niet g3enoeg meer die purkinje cells activeren? deactivatie ten opzichte van baseline
act in NI is een goede maat voor CR

Cerebellum en eye-blink conditionering IO
NI niet alleen eyeblink genereert
inhibeert ook inferior olive!!
Na leren, productie CR inhibeert de inferior olive.
Dus: activiteit inferior olive is: US – verwachte US
De prediction error!

Latent inhibition
model moeite mee heeft
controle groep :
experimentele groep : dier ook in ruimte, stimulus ook aangeboden maar geen US
leerfase 2
exp groep :: veel trager
in beide gevallen zou je op 0 moeten beginnen, maar dat blijkt niet zo, lijkt alsof die ex groep wel associatieve toon met niks = duurt langer om dat eruit te halen, vorige geheugenspoor weg duwen
Vertraging in associatief leren door eerdere blootstelling aan CS

Niet enige model van conditionering
Rescorla – Wagner : US centraal
Hoe goed kan de US voorspeld worden ?
Andere benadering : CS central
In hoeverre kan een bepaalde stimulus geassocieerd raken met een uitkomst?
Verklaring voor “latent inhibition”
Samenvatting klassieke conditionering
o Stimulus – Stimulus associaties
o Uitkomst volgt automatisch (kan wel leren anticiperen)
o Conditioned Stimulus – Conditioned Response - Unconditioned Stimulus – Unconditioned Response
o CS en US kunnen op complexe manieren met elkaar in verband staan
o Rescorla-Wagner leerregel – prediction error
o Cerebellum zeer belangrijk voor eye-blink conditionering
Operante conditionering
Discriminative stimulus → Response →Outcome
wel invloed op de uitkomst!!

Reinforcers & punishers primary vs secundary
Primary reinforcers / punishments:
Intrinsieke waarde voor organisme (voedsel, water, sex, pijn, etc.)
Voorkeuren bepalen, verzadiging
Secondary reinforcers / punishers:
Missen de intrinsieke waarde maar verkrijgen waarde door associatie met primary reinforcer (geld, titels, bekeuring etc.)
Oneindige aantrekkingskracht, geen verzadiging
wetenschap probleem ;; dieren vooral primary reinforcement, maar bij mensen is secondary reinforcement… probleem als het echt belangrijke beloning voor mensen geld duur
Verschillende paradigma’s
reinforcement
positief
prettige stimulus toe te voegen
kamer opruimen zakgeld krijgen
negatieve
aversieve stimulus weg neemt
aspirientje hoofdpijn weg > versterkt gedrag
heel krachtig!! kunt steeds complexer maken == shaping
punishment
positief
boos wordt als kinderen ruzie maken
minder ruzie maken
negatief
fijne stimulus wegnemen
straffen is wel complex, met straffen leer je misschien wel hett ongewenste gedrag af, maar je leert niet zo goed wat mensen of dieren wel moeten doen!
soms duidelijk : te hard rijden boete
ruzie maken : miss minder ruzie maken, maar leert niet wat ze wel moeten doen

Straffen
Effectiviteit van straf:
o Stimuli gekoppeld aan straf
o Stimulus blijft noodzakelijk
o Misleiding (flitsmaster)
-
o Gelijktijdige beloning ondermijnt straf
o Hard rijden → leuk + boete, ondermijdt die straf
-
o Straf leidt tot variabel gedrag
-
o Initiële intensiteit bepalend
o Immuniteit voor progressief straffen, went er heel snel aan
Beloningsschema’s
Fixed interval:
o Reinforcer every x amount of time.
o Actie blijft nodig. 56
o E.g.: Quiz every Monday
als die maandag er aan komt meer gedrag neemt dan weer af
Variable interval:
o Reinforcer every x amount of time on average.
o Berichten op telefoon.
Fixed ratio:
o Reinforcer every nth response (mogelijk om ratio op te bouwen).
o Betaling per batch.
elke zoveel responses
betaling per batch
Variable ratio:
o Reinforcer every nth response on average.
o Onzekerheid levert regelmatig gedragspatroon op.
o “Misschien de volgende…” → gokken in het casino
gemiddeld heel onregelmatig

Orbitofrontale cortex en operante conditionering
Groot gebied, veel functies:
o Emotionele vlak
o Waarde geven aan opties
o Reward learning
o Beslissingen nemen

Orbitofrontale cortex en R-O associaties
l/r in figuur te zien
eerst links, links duwen beloning etc
MAAR icoon voorspelde ook welke beloning, water/iets lekkers

Orbitofrontale cortex en operante conditionering
ziet al activiteit zodra figuurtje wordt aangeboden, die activitiet helemaal neit afhankelijk van de beweging
in 1 neuron precies zelfde activiteit
andere figuur » geen activatie
geeft dus aan dat deze neuron speccifiek houdt van de beloning die een bepaalt figuur voorspelt

Samenvatting
o Stimulus – Actie – Consequentie associaties.
o Actie moet worden uitgevoerd om consequentie te ervaren.
o Associaties zijn afhankelijk van de manier waarop beloning of straf wordt ingezet. o Oribitofrontale cortex, striatum en dopamine systeem betrokken bij conditionering (meer in boek)