Biothermodynamics Heat Transfer Exam 1

0.0(0)
Studied by 0 people
call kaiCall Kai
learnLearn
examPractice Test
spaced repetitionSpaced Repetition
heart puzzleMatch
flashcardsFlashcards
GameKnowt Play
Card Sorting

1/64

flashcard set

Earn XP

Description and Tags

Lectures 9, 10, 11, 12, and 13

Last updated 9:47 PM on 3/25/26
Name
Mastery
Learn
Test
Matching
Spaced
Call with Kai

No analytics yet

Send a link to your students to track their progress

65 Terms

1
New cards

thermodynamics

  • “Macro” systems, boundary, surroundings

  • Based on conversions between energy types: Kinetic, potential, internal, work, heat, etc.

  • Equilibrium states - Properties are spatially uniform - system is in equilibrium with itself

<ul><li><p>“Macro” systems, boundary, surroundings</p></li><li><p>Based on conversions between energy types: Kinetic, potential, internal, work, heat, etc.</p></li><li><p>Equilibrium states - Properties are spatially uniform - system is in equilibrium with itself</p></li></ul><p></p>
2
New cards

heat transfer

  • Infinitesimal control volume, boundary, surroundings

  • Based on mechanisms of heat transfer: Conduction, convection, radiation

  • Properties are continuously distributed in space and vary with time

NO LONGER using quasi-equilibrium system

<ul><li><p>Infinitesimal control volume, boundary, surroundings</p></li><li><p>Based on mechanisms of heat transfer: Conduction, convection, radiation</p></li><li><p>Properties are continuously distributed in space and vary with time</p></li></ul><p>NO LONGER using quasi-equilibrium system</p>
3
New cards

cross sectional area

unlike thermodynamic processes, which occur within devices like a piston cylinder, heat transfer occurs across a __________, with a temperature difference driving this exchange

<p>unlike thermodynamic processes, which occur within devices like a piston cylinder, heat transfer occurs across a __________, with a temperature difference driving this exchange</p>
4
New cards

conduction

One mechanism of heat transfer: Occurs by the transfer of the energy of motion between adjacent molecules. Occurs in solids, liquids, and gases. Present in all solid, liquids, and gases in which a temperature gradient exists. Driving gradient - temperature difference driving exchange of heat in the system of interest

5
New cards

conduction in gases and liquids

occurs due to molecular collisions and molecular diffusion

<p>occurs due to molecular collisions and molecular diffusion</p>
6
New cards

conduction in solids

due to lattice vibrations (energy exchange between bonds) and the flow of free electrons

<p>due to lattice vibrations (energy exchange between bonds) and the flow of free electrons</p>
7
New cards

convection

One mechanism of heat transfer: Occurs by bulk transport and mixing of macroscopic elements. Occurs in liquids and gases

8
New cards

forced convection

fluid/gas is forced to flow past a solid surface by mechanical means

Ex: exercising outside, cool breeze (wind and sweat interact)

<p>fluid/gas is forced to flow past a solid surface by mechanical means</p><p>Ex: exercising outside, cool breeze (wind and sweat interact)</p>
9
New cards

natural convection

natural circulation of fluid due to a density difference resulting from a temperature gradient.

Ex: concrete on a hot day

<p>natural circulation of fluid due to a density difference resulting from a temperature gradient.</p><p>Ex: concrete on a hot day</p>
10
New cards

radiation

One mechanism of heat transfer: Transfer of energy through space via electromagnetic waves. All solids, liquids, and gases emit, absorb, or transmit _______ to some degree

11
New cards

thermal radiation

radiation emitted by bodies because of their temperature; Unrelated to x-rays, gamma rays, microwaves, radio waves, television waves

<p>radiation emitted by bodies because of their temperature; Unrelated to x-rays, gamma rays, microwaves, radio waves, television waves</p>
12
New cards

conservation of heat equation

for a rectilinear object

<p>for a rectilinear object</p>
13
New cards

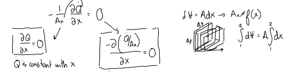
constant flux

First application of conservation of heat: no energy generation (egen = 0), 1D heat transfer (dQ/dy=dQ/dz=0), and Steady state (dT/dt=0).

<p>First application of conservation of heat: no energy generation (e<sub>gen</sub> = 0), 1D heat transfer (dQ/dy=dQ/dz=0), and Steady state (dT/dt=0).  </p>
14
New cards

Fourier’s law of heat conduction

second application of conservation of heat: empirical law - gathered data and found an equation to fit.

<p>second application of conservation of heat: empirical law - gathered data and found an equation to fit. </p>
15
New cards

isotropic material

properties of the material are constant with direction. Ex: constant thermal conductivity

16
New cards

anisotropic

materials change with respect to direction. k=f(x)

17
New cards

diffusivity

how fast heat diffuses (movement without bulk motion) through a material.

α = k/ρc

heat conducted/heat stored per unit volume.

18
New cards

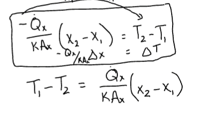
heat flow through a flat plate

knowt flashcard image
19
New cards

conductive heat transfer in hollow cylinder

heat flows in radial direction, inside out. Flow (Q) is indpendent of direction BUT flux (Q/A) is dependent on direction.

<p>heat flows in radial direction, inside out. Flow (Q) is indpendent of direction BUT flux (Q/A) is dependent on direction. </p>
20
New cards

conductive heat transfer in hollow sphere

Q(r2-r1) /( 4πr1r2k) = T1-T2

<p>Q(r<sub>2</sub>-r<sub>1</sub>) /( 4πr<sub>1</sub>r<sub>2</sub>k) = T<sub>1</sub>-T<sub>2</sub></p>
21
New cards

conduction definition

requires a material medium. Solids; Fluids (liquid or gas) in the absence of bulk motion; Quiescent fluid

<p>requires a material medium. Solids; Fluids (liquid or gas) in the absence of bulk motion; Quiescent fluid</p>
22
New cards

convection definition

Requires a material medium. Fluids (liquids or gas) in the presence of bulk motion

<p>Requires a material medium. Fluids (liquids or gas) in the presence of bulk motion</p>
23
New cards

bulk motion and convection

must now consider both heat transfer and fluid motion. Heat AND momentum transfer

24
New cards

fluid motion

enhances heat transfer. Brings warmer and cooler “chunks” of fluid into contact. Increases conduction. Increased mixing (fluid velocity) leads to increased rate of heat transfer.

<p>enhances heat transfer. Brings warmer and cooler “chunks” of fluid into contact. Increases conduction. Increased mixing (fluid velocity) leads to increased rate of heat transfer. </p>
25
New cards

heat transfer coefficient (h)

Rate of heat transfer between a solid surface and a fluid per unit surface area per unit temperature difference

Function of:

  • type of fluid flow (laminar or turbulent), Re

  • dynamic viscosity, μ

  • thermal conductivity, k

  • density, ρ

  • specific heat capacity, cp

  • fluid velocity, v

  • geometry of surface, Lc

  • roughness of solid surface, Cf

<p>Rate of heat transfer between a solid surface and a fluid per unit surface area per unit temperature difference</p><p>Function of:</p><ul><li><p>type of fluid flow (laminar or turbulent), Re</p></li><li><p>dynamic viscosity, μ</p></li><li><p>thermal conductivity, k</p></li><li><p>density, ρ</p></li><li><p>specific heat capacity, c<sub>p</sub></p></li><li><p>fluid velocity, v</p></li><li><p>geometry of surface, L<sub>c</sub></p></li><li><p>roughness of solid surface, C<sub>f</sub></p></li></ul><p></p>
26
New cards

type of fluid flow

Laminar: crystalline, smooth stream

Turbulent: chaotic, splashy

quantified by Reynolds number

27
New cards

dynamic viscocity

a measure of the resistance to flow in a fluid; metric of how sticky a fluid is - how well individual layers stick to each other - internal friction in the fluid

28
New cards

thermal conductivity

how well heat is conducted through the fluid. The amount of heat conducted/transferred within a unit temperature gradient through a unit thickness perpendicular to a unit surface area

29
New cards

specific heat capacity

how much energy the fluid can store per unit mass per temperature

30
New cards

fluid velocity

increases with mixing; the time rate of change of a fluid particle's position in space

31
New cards

geometry of surface

more complex = more complex flow conditions. Quantified by characteristic length

32
New cards

roughness of solid surface

smooth: not as much friction conducted to form boundary layer

rough: more friction through layers of fluid. more energy - more movements/bumps

33
New cards

empirical coorelation

The heat transfer coefficient cannot be predicted theoretically; phenomenological relationship supported by experimentation and not necessarily theory

34
New cards

Nusselt number

used to relate data for the heat transfer coefficient to thermal conductivity of a system

<p>used to relate data for the heat transfer coefficient to thermal conductivity of a system</p>
35
New cards

laminar

highly ordered motion and smooth streamlines

36
New cards

turbulent

velocity fluctuations and highly disordered motion. circular pipe: Re < 1200

37
New cards

transition

flow fluctuates between laminar and turbulent before it becomes fully turbulent. circular pipe: Re > 6000

38
New cards

Reynolds number

represents the ratio of inertial to viscous forces within a fluid and is used to indicate the laminar or turbulent nature of a flow

<p>represents the ratio of inertial to viscous forces within a fluid and is used to indicate the laminar or turbulent nature of a flow</p>
39
New cards

fluid flow

Fluid consists of adjacent layers of molecules. Friction between the moving plate and the adjacent fluid layer initiates fluid movement

40
New cards

movement of fluid layers

First fluid layer attempts to drag adjacent fluid layer along with it due to friction force. Perpetuates throughout fluid

Bottom layer is “stuck” to the stationary plate due to friction → No Slip Condition

<p>First fluid layer attempts to drag adjacent fluid layer along with it due to friction force. Perpetuates throughout fluid</p><p>Bottom layer is “stuck” to the stationary plate due to friction → No Slip Condition</p>
41
New cards

no slip condition

velocity of the adjacent plate is stationary. Velocity of plate is same as this type of fluid (?)

assumes that the speed of the fluid layer in direct contact with the boundary is identical to the velocity of this boundary. There is no relative movement between the boundary and this fluid layer, therefore there is no slip.

42
New cards

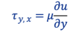
shear stress

friction force per unit area

<p>friction force per unit area</p>
43
New cards

Dynamic viscosity (μ)

Measure of a fluid’s resistance to deformation, depends strongly on temperature

  • Newtonian Fluids: μ ≠ f(u or y) → Water, oil, saline

  • Non-Newtonian μ = f(u or y) → Blood, mayonnaise, oobleck (cornstarch and water)

<p>Measure of a fluid’s resistance to deformation, depends strongly on temperature</p><ul><li><p>Newtonian Fluids: μ ≠ f(u or y) → Water, oil, saline</p></li><li><p>Non-Newtonian μ = f(u or y) → Blood, mayonnaise, oobleck (cornstarch and water)</p></li></ul><p></p>
44
New cards

viscous flow region

Region of flow where frictional effects are significant

45
New cards

inviscid flow region

Region of flow where viscous forces are negligibly small compared to inertial or pressure forces

46
New cards

boundary layers of viscous flow region

  • Fluid with uniform (no change with location) velocity approaches a stationary (V=0) flat plate

  • Bottom layer of fluid sticks to the plate: No slip condition

  • Motionless layer of fluid slows down particles of adjacent layer

  • Continues until the diffusion of momentum between the layers becomes insignificant

  • X component of velocity varies from u=0 at y=0 to u = Vb at y > δ

    • V =0.99*Vb where V is the velocity of the free stream or inviscid flow region

<ul><li><p>Fluid with uniform (no change with location) velocity approaches a stationary (V=0) flat plate</p></li><li><p>Bottom layer of fluid sticks to the plate: No slip condition</p></li><li><p>Motionless layer of fluid slows down particles of adjacent layer</p></li><li><p>Continues until the diffusion of momentum between the layers becomes insignificant</p></li><li><p>X component of velocity varies from u=0 at y=0 to u = V<sub>b</sub> at y &gt; δ</p><ul><li><p>V =0.99*V<sub>b</sub> where V is the velocity of the free stream or inviscid flow region</p></li></ul></li></ul><p></p>
47
New cards

region of viscous flow

0 ≤ y ≤ δ

boundary layer

48
New cards

region of inviscid flow

y > δ

viscous forces << inertial or pressure forces

<p>y &gt; δ</p><p>viscous forces &lt;&lt; inertial or pressure forces</p>
49
New cards

thermal boundary layer

  • Fluid with a uniform velocity and temperature (T) approaches a stationary plate with a temperature (Ts)

  • Bottom layer of fluid reaches thermal equilibrium with plate (no slip condition)

  • Bottom layer of fluid exchanges energy with adjacent layers

  • Continues until the diffusion of energy between layers becomes insignificant

  • Temperature varies from T=Ts at y=0 to T = T at y > δt

    • T=Ts+0.99(T-Ts) at y=δ

<ul><li><p>Fluid with a uniform velocity and temperature (T<sub>ꚙ</sub>) approaches a stationary plate with a temperature (T<sub>s</sub>)</p></li><li><p>Bottom layer of fluid reaches thermal equilibrium with plate (no slip condition)</p></li><li><p>Bottom layer of fluid exchanges energy with adjacent layers</p></li><li><p>Continues until the diffusion of energy between layers becomes insignificant</p></li><li><p>Temperature varies from T=Ts at y=0 to T = T<sub>ꚙ</sub> at y &gt; δ<sub>t</sub></p><ul><li><p>T=T<sub>s</sub>+0.99(T<sub>ꚙ</sub>-T<sub>s</sub>) at y=δ</p></li></ul></li></ul><p></p>
50
New cards

Prandtl number

relative thickness of the velocity and thermal boundary layers; a dimensionless quantity that correlates the viscosity of a fluid with its thermal conductivity, assessing the relationship between momentum transport and thermal transport capacity.

0.5 ≤ Pr ≤ 1 for gases

2 ≤ Pr ≤ 104 for liquids

<p>relative thickness of the velocity and thermal boundary layers; a dimensionless quantity that correlates the viscosity of a fluid with its thermal conductivity, assessing the relationship between momentum transport and thermal transport capacity.</p><p>0.5 ≤ Pr ≤ 1 for gases</p><p>2 ≤ Pr ≤ 10<sup>4 </sup>for liquids</p>
51
New cards

dimensionless numbers

Nusselt, Reynolds, and Prandtl numbers

<p>Nusselt, Reynolds, and Prandtl numbers</p>
52
New cards

relating dimensionless numbers

Nu=cRenPrm

where c, n, and m are constants.

<p>Nu=cRe<sup>n</sup>Pr<sup>m</sup></p><p>where c, n, and m are constants.</p>
53
New cards

convective heat transfer assumptions

  1. Boundary layer approximations apply

  2. Gravity and other body forces are negligible

  3. dP/dy=0

  4. dP/dx inside and outside of boundary layer is negligable

  5. Fully developed flow

  6. Upstream velocity is uniform and steady

  7. Incompressible flow

  8. simple compressible system

<ol><li><p>Boundary layer approximations apply</p></li><li><p>Gravity and other body forces are negligible</p></li><li><p>dP/dy=0 </p></li><li><p>dP/dx inside and outside of boundary layer is negligable</p></li><li><p>Fully developed flow</p></li><li><p>Upstream velocity is uniform and steady </p></li><li><p>Incompressible flow</p></li><li><p>simple compressible system</p></li></ol><p></p>
54
New cards

boundary layer approximations

  1. Vx >> Vy

  2. dVy/dy and dVy/dx are negligible and dVx/dy >> dvx/dx

  3. dT/dy >> dT/dx

55
New cards

gravity and other body forces

negligible for convective heat transfer ie only surface forces (shear forces between layers of fluid) are being considered.

<p>negligible for convective heat transfer ie only surface forces (shear forces between layers of fluid) are being considered.</p>
56
New cards

pressure

variation of _______ in the y-direction is negligible for convective heat flow. the variation of _______ in the x direction inside and outside the boundary layer is also negligible

57
New cards

fully developed flow

Hydrodynamically: Vavg is a function of r only

Thermally: T(r,x) → Tm(x) and they approach constant values in the x direction

<p>Hydrodynamically: V<sub>avg</sub> is a function of r only</p><p>Thermally: T(r,x) → T<sub>m</sub>(x) and they approach constant values in the x direction </p>
58
New cards

incompressible flow

density does not change with position. dρ/dx = dρ/dy = dρ/dz = 0 so can calculate Re

59
New cards

simple compressible system assumption

the derivation for the Nusselt number comes from an energy balance on open systems with steady flow.

60
New cards

film temperature

Tf = (Ts+T)/2

Fluid properties are assumed constant at this temperature. if we are evaluating heat transfer for the entire surface, we are using an average heat transfer convective coefficient (otherwise use integral)

<p>T<sub>f</sub> = (T<sub>s</sub>+T<sub>∞</sub>)/2</p><p>Fluid properties are assumed constant at this temperature. if we are evaluating heat transfer for the entire surface, we are using an average heat transfer convective coefficient (otherwise use integral)</p>
61
New cards

parallel flow over an isothermal flat plate

critical Reynold’s number: Recr = 5×105

Laminar: Re < 5×105 Nu=hL/k = 0.664Re1/2Pr1/3

Turbulent Re > 5×105 Nu=hL/k = 0.037Re0.8Pr1/3

0.6 ≤ Pr ≤ 60

62
New cards

Zukaukas and Jacob

equations for flow across single cylinder that is smooth, using Tf and Nucyl = hD/k = cRemPr1/3

Table 12-3

Recr = 2×105

<p>equations for flow across single cylinder that is smooth, using T<sub>f</sub> and Nu<sub>cyl</sub> = hD/k = cRe<sup>m</sup>Pr<sup>1/3</sup></p><p>Table 12-3</p><p>Re<sub>cr</sub> = 2×10<sup>5</sup></p>
63
New cards

Churchill and Berstein

properities of fluid evaluated at Tf - more exact

<p>properities of fluid evaluated at T<sub>f</sub> - more exact </p><p></p>
64
New cards

Whitaker

for calculating flow across spheres

<p>for calculating flow across spheres</p>
65
New cards

surface area

Q=hA(Ts-T)

cylinder → 2πrL = πDL (circular cross section)

sphere → 4πr² = πd²

<p>Q=hA(T<sub>s</sub>-T<sub>∞</sub>)</p><p>cylinder → 2πrL = πDL (circular cross section)</p><p>sphere → 4πr² = πd² </p>

Explore top notes

note
English 2 Vocab 1
Updated 1198d ago
0.0(0)
note
Ch 2: Ecosystems and Ecology
Updated 1064d ago
0.0(0)
note
Factors and Multiples
Updated 1189d ago
0.0(0)
note
2.8: acids
Updated 1257d ago
0.0(0)
note
2. New and Emerging Technologies
Updated 1121d ago
0.0(0)
note
In Sickness and in Health
Updated 1064d ago
0.0(0)
note
concussion infographics
Updated 467d ago
0.0(0)
note
English 2 Vocab 1
Updated 1198d ago
0.0(0)
note
Ch 2: Ecosystems and Ecology
Updated 1064d ago
0.0(0)
note
Factors and Multiples
Updated 1189d ago
0.0(0)
note
2.8: acids
Updated 1257d ago
0.0(0)
note
2. New and Emerging Technologies
Updated 1121d ago
0.0(0)
note
In Sickness and in Health
Updated 1064d ago
0.0(0)
note
concussion infographics
Updated 467d ago
0.0(0)

Explore top flashcards

flashcards
3. Fallacies
30
Updated 831d ago
0.0(0)
flashcards
Spanish capitals
20
Updated 1210d ago
0.0(0)
flashcards
honors english exam terms
40
Updated 1197d ago
0.0(0)
flashcards
17 - TỪ VỰNG | Quizlet
23
Updated 560d ago
0.0(0)
flashcards
vocab 4
42
Updated 539d ago
0.0(0)
flashcards
Wetter
47
Updated 1062d ago
0.0(0)
flashcards
3. Fallacies
30
Updated 831d ago
0.0(0)
flashcards
Spanish capitals
20
Updated 1210d ago
0.0(0)
flashcards
honors english exam terms
40
Updated 1197d ago
0.0(0)
flashcards
17 - TỪ VỰNG | Quizlet
23
Updated 560d ago
0.0(0)
flashcards
vocab 4
42
Updated 539d ago
0.0(0)
flashcards
Wetter
47
Updated 1062d ago
0.0(0)