1/5
Looks like no tags are added yet.
Name | Mastery | Learn | Test | Matching | Spaced | Call with Kai |
|---|
No analytics yet
Send a link to your students to track their progress

Law of Sine

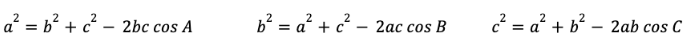
Law of Cosine

linear combination

work done

Demoivre Theorem

projection and angle between two vectors