1/8
Looks like no tags are added yet.
Name | Mastery | Learn | Test | Matching | Spaced | Call with Kai |
|---|
No analytics yet
Send a link to your students to track their progress
Alanine (Ala, A)
CH3

Glycine (Gly, G)
H

Serine (Ser, S)
CH2 — OH

Cysteine (Cys, C)
CH2 — SH

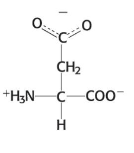
Aspartate (Asp, D)
CH2 — C == O == O

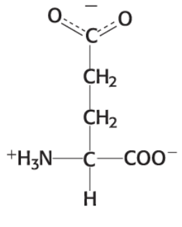
Glutamate (Glu, E)
CH2 — CH2 — C == O == O

Lysine (Lys, K)
CH2 — CH2 — CH2 — CH2 — NH3

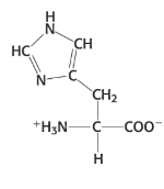
Histidine (His, H)
CH2 — C — N == CH — NH — CH == C

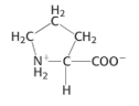
Proline (Pro, P)
CH2 — CH2 — CH2 — NH2+
