1/3
Looks like no tags are added yet.
Name | Mastery | Learn | Test | Matching | Spaced | Call with Kai |
|---|
No analytics yet
Send a link to your students to track their progress
capacitance
charge separated on the plates / potential difference between the plates
Q/V
unit - coulombs/volt, farads
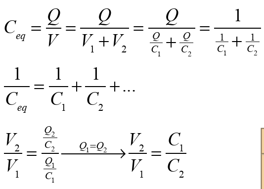
capacitors in series

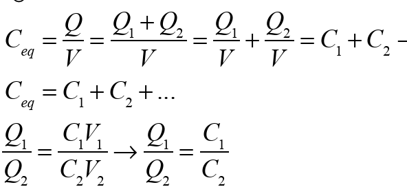
capacitors in parallel

x
x