1/93
Name | Mastery | Learn | Test | Matching | Spaced | Call with Kai |
|---|
No analytics yet
Send a link to your students to track their progress

Which segment is adjacent to angle, ∠E?
PE

Which segment is the hypotenuse?
PX

Which segment is the hypotenuse?
SD

Which segment is adjacent to angle, ∠X?
ZX

Which segment is opposite to angle, ∠L?
MA

sinI=
sin I ≈ 0.37


Express tan N as a fraction in simplest terms.
Tan N = (√38)/5


Express cos U as a fraction in simplest terms.
Cos U = (√51)/10


Express cos Q as a fraction in simplest terms.
Cos Q = (√95)/12


Find the value of sin F rounded to the nearest hundredth, if necessary.
Sin F = 0.76


Find the value of cos P rounded to the nearest hundredth, if necessary.
Cos P = 0.95


Express cos U as a fraction in simplest terms.
Cos U = 20/27

In ΔMNO, the measure of ∠O=90°, NM = 85, MO = 84, and ON = 13. What ratio represents the tangent of ∠M?
13/84

In ΔGHI, the measure of ∠I=90°, GI = 5, HG = 13, and IH = 12. What is the value of the sine of ∠G to the nearest hundredth?
0.92

In ΔWXY, the measure of ∠Y=90°, WY = 24, YX = 7, and XW = 25. What is the value of the tangent of ∠W to the nearest hundredth?
0.29

In ΔBCD, the measure of ∠D=90°, DC = 36, CB = 85, and BD = 77. What ratio represents the sine of ∠B?
Sin B = 36/85

In ΔQRS, the measure of ∠S=90°, RQ = 97, QS = 72, and SR = 65. What ratio represents the tangent of ∠R?
Tan R = 72/65


Which Ratio?
Cos M = JK/KL


Which statement is true?
Tan D = BE/BF


Which statement is true?
Tan D = AC/AB


Which is equivelent to sin D?
Sin D = BC/CD


Which is equivalent to Sin F?
BC/CD


Which of the following ratios is equivalent to tan F?
DE/DF


x = __
10.7


x = ___
12.5


x = ___
48.9


x = ___
128.7


x = ___
2.9


The angle of elevation to a nearby tree from a point on the ground is measured to be 70∘. How tall is the tree if the point on the ground is 69 feet from the bottom of the tree? Round your answer to the nearest hundredth of a foot if necessary.
189.58


Adriel wants to use a sheet of fiberboard 25 inches long to create a skateboard ramp with a 16∘ angle of elevation from the ground. How high will the ramp rise from the ground at its highest end? Round your answer to the nearest hundredth of an inch if necessary.
6.89


Grayson leans a 30-foot ladder against a wall so that it forms an angle of 80∘ with the ground. What’s the horizontal distance between the base of the ladder and the bottom of the wall? Round your answer to the nearest hundredth of a foot if necessary.
5.21


Fawzia is flying a kite, holding her hands a distance of 3.75 feet above the ground and letting all the kite’s string out. She measures the angle of elevation from her hand to the kite to be 33∘. If the string from the kite to her hand is 110 feet long, how many feet is the kite above the ground? Round your answer to the nearest tenth of a foot if necessary.
63.7

Answer the following questions:
Which of the following is equivalent to Sin 15?
a. sin 75
b. cos 75
c. tan 75
d. tan 15
What is the sum of 15 and 75?
Which of the following is equivalent to Cos 38?
a. cos 52
b. sin 38
c. Tan 52
d. Sin 52
If Sin A = Cos B, what must be the sum of A and B in order for this to be true?
Cos (75)
90
Sin 52
90

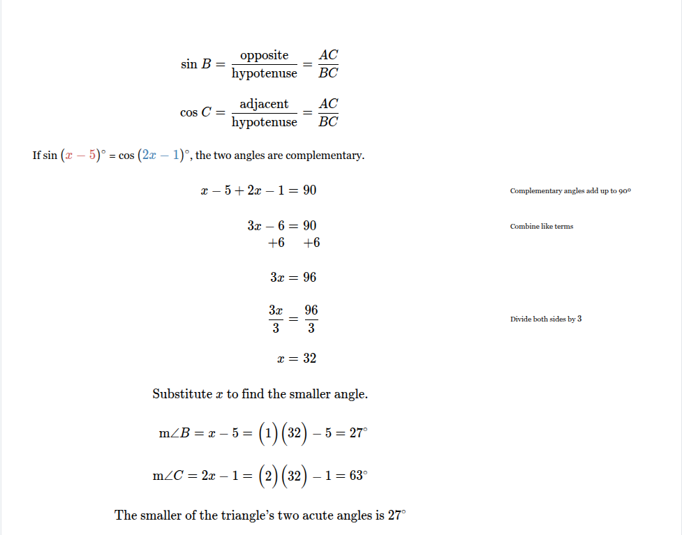
__∘
The larger of the triangle’s two acute angles is 62∘


__∘
The smaller of the triangle’s two acute angles is 27∘


Sin T=
Cos U=
Sin T and Cos U are ____ because SU is _____ to
∠T and ____ to ∠U
sin T = 4/5
cos U = 4/5
sin T and cos U are equal because start SU is opposite ∠ T and adjacent to ∠U.


Cos E = ___
Sin F = ___
Cos E and Sin F are ___ because DE is ____ to ∠E and ___ to ∠F
Cos E = 5/13
Sin F = 5/13
Cos E and Sin F are equal because DE is adjacent to ∠E and opposite to ∠F


x = ____
x = 0.1

When trying to find the two angles or degrees of a triangle you use the formula ____ + _____ = 90 but when trying find the value you use the formula ____ = _____.
Sin (B) + Cos (C) = 90
Sin(B) = Cos (C)
You can tell which formula to use if the equation has a degree symbol or if they tell you to find a angle

x = ___
x = -0.15


Sin M = ___
Cos N = ___
Sin M and Cos N are ____ because LN is _____ to ∠M and ____ to ∠N .
Sin M = 4/5
Cos N = 4/5
Sin M and Cos N are equal because LN is opposite to ∠M and adjacent to ∠N .


Cos R = ___
Sin S = ___
Cos R and Sin S are ____ because QR is _____ to ∠R and ____ to ∠S .
Cos R = 11/12
Sin S = 11/12
Cos R and Sin S are equal because QR is adjacent to ∠R and opposite to ∠S .


Cos M = ___
Sin L = ___
Cos M and Sin L are ____ because KM is _____ to ∠M and ____ to ∠L .
Cos M = √55/28
Sin L = √55/28
Cos M and Sin L are equal because KM is adjacent to ∠M and opposite to ∠L .


A tipping platform is a ramp used to unload trucks, as shown in the diagram below.
The truck is on a 75-foot-long ramp. The ramp is tipped at an angle of 30°. What is the height of the upper end of the ramp, x, to the nearest tenth of a foot?
37.5

From a hot-air balloon, Elizabeth measures a 30∘ angle of depression to a landmark that’s 361 feet away, measuring horizontally. What’s the balloon’s vertical distance above the ground? Round your answer to the nearest tenth of a foot if necessary.
__ feet
The balloon is 208.4 feet above the ground.


An electrician leans an extension ladder against the outside wall of a house so that it reaches an electric box 24 feet up. The ladder makes an angle of 80∘ with the ground. Find the length of the ladder. Round your answer to the nearest tenth of a foot if necessary.
The ladder is 24.4 feet long.


An electrician leans an extension ladder against the outside wall of a house so that it reaches an electric box 24 feet up. The ladder makes an angle of 77∘ with the ground. Find the length of the ladder. Round your answer to the nearest hundredth of a foot if necessary.
The ladder is 24.63 feet long.


__ feet
The boat traveled 751.2 feet from point A to point B.


__ feet
The boat traveled 772.4 feet from point A to point B.

Tamika wants to use a sheet of fiberboard 19 inches long to create a skateboard ramp with a 20degrees∘ angle of elevation from the ground. How high will the ramp rise from the ground at its highest end? Round your answer to the nearest tenth of an inch if necessary.
The ramp will rise 6.5 inches from the ground.

A boat is heading towards a lighthouse, whose beacon-light is 140 feet above the water. The boat’s crew measures the angle of elevation to the beacon, 10degrees∘. What is the ship’s horizontal distance from the lighthouse (and the shore)? Round your answer to the nearest tenth of a foot if necessary.
The ship is 794 feet from the lighthouse.

The angle of elevation to a nearby tree from a point on the ground is measured to be 54∘. How tall is the tree if the point on the ground is 89 feet from the bottom of the tree? Round your answer to the nearest hundredth of a foot if necessary.
The tree is 122.5 feet tall.

A boat is heading towards a lighthouse, whose beacon-light is 145 feet above the water. The boat’s crew measures the angle of elevation to the beacon, 11∘. What is the ship’s horizontal distance from the lighthouse (and the shore)? Round your answer to the nearest tenth of a foot if necessary.
The ship is 746 feet from the lighthouse.

A boat is heading towards a lighthouse, whose beacon-light is 113 feet above the water. The boat’s crew measures the angle of elevation to the beacon, 15∘. What is the ship’s horizontal distance from the lighthouse (and the shore)? Round your answer to the nearest tenth of a foot if necessary.
The ship is 421.7 feet from the lighthouse.


Brigette is a surveyor who was asked to estimate the distance across a pond. She stands at point C, 85 meters from point D, and locates points A and B on either side of the pond such that A, D, and B are collinear.
Brigette approximates the measure of angle DCB to be 35° and the measure of angle ACD to be 75°. Determine and state the distance across the pond, AB , to the nearest meter.
Explain the steps you took to solve the question.
377

As shown in the diagram below, a ship is heading
directly toward a lighthouse whose beacon is 125
feet above sea level. At the first sighting, point A,
the angle of elevation from the ship to the light was
7°. A short time later, at point D, the angle of
elevation was 16°.
To the nearest foot, determine and state how far the
ship traveled from point A to point D.
582

The map of a campground is shown below.
Campsite C, first aid station F, and supply station S
lie along a straight path. The path from the supply
station to the tower, T, is perpendicular to the path
from the supply station to the campsite. The length
of path FS is 400 feet. The angle formed by path
TF and path FS is 72°. The angle formed by path
TC and path CS is 55°.
Determine and state, to the nearest foot, the following:
A. The distance from the campsite to the first aid station.
B. The distance from the campsite to the tower.
CF = __
CT= __
CF = 462
CT = 1503

Cape Canaveral, Florida is where NASA launches
rockets into space. As modeled in the diagram
below, a person views the launch of a rocket from
observation area A, 3280 feet away from launch
pad B. After launch, the rocket was sighted at C
with an angle of elevation of 15°. The rocket was
later sighted at D with an angle of elevation of 31°.
Determine and state, to the nearest foot, the
distance the rocket traveled between the two
sightings, C and D.
1092

x = ___
x= −0.23


__∘
The larger of the triangle’s two acute angles is 52∘


Cos H = ___
Sin I = ___
Cos H = 5/13
Sin I = 5/13


x = ___
x=8.1


__∘
The smaller of the triangle’s two acute angles is 41∘

Which expression is equivalent to sin 71∘?
a. tan 71∘
b. cos 19∘
c. sin 19∘
d. cos 71∘
b. cos 19∘

a. Cos A
b. Tan A
c. Cos B
d. Tan B
a. Cos A

Solve for x. Round to the nearest tenth of a degree, if necessary.
x=61.6∘


Solve for x. Round to the nearest tenth of a degree, if necessary.
x=32.2∘


Solve for x. Round to the nearest tenth of a degree, if necessary.
x=58.4∘


Solve for x. Round to the nearest tenth of a degree, if necessary.
x=33.4∘


Solve for x. Round to the nearest tenth of a degree, if necessary.
x=42.1∘

Serenity leans a 28-foot ladder against a wall. If the ladder reaches 24.7 feet up the wall, what angle does it form with the wall? Round your answer to the nearest tenth of a degree.
28.1º

Scarlett leans a 30-foot ladder against a wall. If the ladder reaches 29.3 feet up the wall, what angle does it form with the wall? Round your answer to the nearest tenth of a degree.
12.4º

Hannah wants to use a sheet of fiberboard 34 inches long to create a skateboard ramp with a height of 12.25 inches at its highest end. Find the angle of elevation made by the ramp with the ground. Round your answer to the nearest tenth of a degree.
21.1 º

If a tree has a height of 139 feet, what would be the angle of elevation from level ground measured from 40 feet away? Round your answer to the nearest tenth of a degree.
73.9 º


Complete the question below
23
A 12-foot ladder leans against a building and reaches a window 10 feet above ground. What is the measure of the angle, to the nearest degree, that the ladder forms with the ground?
a. 34
b. 40
c. 50
d. 56
d. 56

BC = ___
Angle C = ___
BC = 164
Angle C = 59
Nakayla was cutting right triangles from wood to use
for an art project. Two of the right triangles she
cut are shown below.
If triangle ABC ∼ triangle DEF, with right angles B and E,
BC = 15 cm, and AC = 17 cm, what is the measure
of ∠F, to the nearest degree?
28°

m∠S = ___
m∠BCS = __
m∠S = 37
m∠BCS = 53

___in2
2341 in2


__cm2
708cm2


__in2
2767 in2


__cm2
4.9cm2


__in2
439in2


__ft2
20.5ft2


___in2
10.8


__in2
162288in2


Choice 1, 2, 3, or 4
Choice 2

Choice 1, 2, 3, or 4
Choice 2

Choice 1, 2, 3, or 4
Choice 1

Determine the area of SRO
194
*The angle has to be between the two sides.

A = ___ units2
A=3.5 units2


A = ___ units2