1/332
Looks like no tags are added yet.
Name | Mastery | Learn | Test | Matching | Spaced | Call with Kai |
|---|
No analytics yet
Send a link to your students to track their progress
Quadratic Formula

Sum of Roots of a Quadratic Equation

Product of Roots of a Quadratic Equation

Binomial Expansion

rth term of a Binomial Expansion
rth = nCm * an-m * bm
Arithmetic Progression: Common Difference
d = a2 - a1
Arithmetic Progression: nth term
an = a1 + (n-1)d
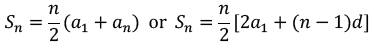
Arithmetic Progression: Sum of first n terms

Geometric Progression: Common Ratio
r = a2 / a1
Geometric Progression: nth term
an = a1 * rn-1
Geometric Progression: Sum of first n terms

Sum of Infinite Geometric Progression
Sn = a1 / (1 - r)
Harmonic Progression: Common Difference of Reciprocals
d = 1 / a2 - 1 / a1
Harmonic Progression: nth Term
an = 1 / (a1 + (n - 1)d)
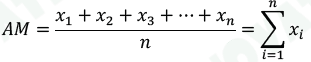
Arithmetic Mean

Geometric Mean

Harmonic Mean

Relationship between Means of Two Numbers
AM * HM = GM2
Types of Variation and their Relationships
Direct: x = ky
Indirect: x = k / y
Joint: x = kyz
Permutation: General Formula
nPr = n! / (n - r)!
Permutation: The number of permutations of n objects taken
all at a time in which there are alike objects
n! / (n1! n2! n3! …)
Permutation: The number of ways of partitioning a set of n
objects into r groups with specific number of elements per group.
n! / (n1! n2! n3! …)
Cyclic Permutation: taken r at a time
(nCr) (r - 1)! = nPr / r
Cyclic Permutation: taken all at a time
(n - 1)!
Combination: General Formula
nCr = n! / [r! (n - r)!]
Summation of Combinations

Probability: Multiplication Rule
P(A and B) = P(A) * P(B | A)
Note: P(B | A) = Probability that event B occurs given that event A occurred
Probability: Bayes’ Theorem
P(A) * P(B | A) = P(B) * P(A | B)
Probability: AND Rule for independent events
P(A and B) = P(A) * P(B)
Probability: Addition Rule
P(A or B) = P(A) + P(B) - P(A and B)
Probability: Complementary Events
P(A) = 1 - P(Ac)
Note: Ac = event not A
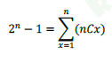
Binomial Probability Distribution
P(x) = px * qn - x * nCx
Geometric Probability Distribution
P(n) - qn-1 * p
Poisson Probability Distribution

Standard Normal Distribution (CALCTECH)
Get value of Z-score
Stat Mode → 1 then AC (don’t type anything)
Apps → 7: Distr
For 1: P( → Input the Z-score, you will get the area to the left of the z-score to negative infinity.
For 2: Q( → Input the Z-score, you will get the area between the z-score and the middle point (mean of the dataset).
For 3: R( → Input the Z-score, you will get the area to the right of the z-score to positive infinity.

Pythagorean Theorem
a2 + b2 = c2
Oblique Triangle: Sine Law
a / sinA = b / sinB = c / sinC
Oblique Triangle: Cosine Law
a2 = b2 + c2 - 2bc cosA
b2 = a2 + c2 - 2ac cosB
c2 = a2 + b2 - 2ab cosC
Trigonometry: Pythagorean Relations
sin2A + cos2A = 1
1 + tan2A = sec2A
1 + cot2A = csc2A
Sum and Difference of Two Angles: Sine
sin(A + B) = sinA cosB + cosA sinB
sin(A - B) = sinA cosB - cosA sinB
Sum and Difference of Two Angles: Cosine
cos (A + B) = cosA cosB - sinA sinB
cos (A + B) = cosA cosB + sinA sinB
Sum and Difference of Two Angles: Tangent
tan (A + B) = tan A + tan B / (1 - tanA tan B)
tan (A - B) = tan A - tan B / (1 + tanA tan B)
Double Angle: Sine
sin2A = 2 sinA cosA
Double Angle: Cosine
cos 2A = cos2A - sin2A
Double Angle: Tangent
tan 2A = 2 tanA / (1 - tan2A)
Half- Angle Identities

Square Identites

Area of Triangle: Base and Altitude
A = ½ bh
Area of Triangle: Two sides and included angle
A = ½ ab sinC
A = ½ bc sinA
A = ½ ac sinB
Area of Triangle: Three sides
Heron’s Formula: A = √s(s - a)(s - b)(s - c)
s = ½ (a + b + c)
Area of Triangle: Three angles and one side
A = a2 sinB sinC / 2 sinA
A = b2 sinA sinC / 2 sinB
A = c2 sinA sinB / 2 sinC
Period and Amplitude: Sine Function
y = A sin(Bx + C) + D
Period = P = 2π / B
Amplitude = A
Period and Frequency: Cosine Function
y = A cos(Bx + C) + D
Period = P = 2π / B
Amplitude = A
Period and Frequency: Tangent Function
y = A tan(Bx + C) + D
Period = P = π / B

Medians of a Triangle
ma = ½ √ 2b2 + 2c2 - a2
mb = ½ √ 2a2 + 2c2 - b2
mc = ½ √ 2a2 + 2b2 - c2

Altitudes of a Triangle
ha = 2AT / a
hb = 2AT / b
hc = 2AT / c
Angle Bisectors of a Triangle
ba = 2√bcs(s - a) / (b + c)
bb = 2√acs(s - b) / (a + c)
bc = 2√abs(s - c) / (a + b)

Spherical Excess
E = A + B + C - 180°
Spherical Deflect
D = 360° - (a + b + c)

Right Spherical Triangle
Sin-Ta-Ad: Sine of middle = product of tangent of adjacent parts
i.e., sinb = tana * tan(co-A)
Sin-Co-Op: Sine of middle = product of cosine of opposite parts
i.e., sin(co-c) = cosa * cosb
Note: co-A = complement of A (equal to 90 - A)
Oblique Spherical Triangle: Sine Law
sina / sinA = sinb / sinB = sinc / sinC
Oblique Spherical Triangle: Cosine Law for Sides
cosa = cosb cosc + sinb sin c cosA
cosb = cosa cosc + sina sin c cosB
cosc = cosa cosb + sina sin b cosC
Oblique Spherical Triangle: Cosine Law for Angles
cosA = -cosB cosC + sinB sinC cosa
cosB = -cosA cosC + sinA sinC cosb
cosC = -cosA cosB + sinA sinB cosc
Area of Spherical Triangle
A = π r2 E / 180°
Note: See pic for computation of spherical excess, given the sides

Conversion: minute of arc to feet
1 minute of arc = 6080 ft
Conversion: statute mile to feet
1 statute mile = 5280 ft
Conversion: nautical mile to statute mile
1 nautical mile = 1.1516 statute mile
Conversion: knot to nautical mile per hour
1 knot = 1 nautical mile per hour
Polygons: Sum of Interior Angles
Σθ = 180° (n - 2)
n = number of sides
Polygons: Number of Diagonals
d = n(n - 3) / 2
Perimeter of Regular Polygon
P = sn
Area of Regular Polygon
A = Pa / 2 = s2 n / (4 tan(180° / n))
a = apothem
Area of Parallelogram
A = bh
Area of Trapezoid
A = h(b1 + b2) / 2
Area of Kite and Rhombus
A = d1d2 / 2
Area of General Quadrilateral
A = √(s - a)(s - b)(s - c)(s - d) - abcd cos2θ
θ = (A + C) / 2 or θ = (B + D) / 2
s = (a + b + c + d) / 2
Circle: Circumference
C = πd = 2πr
Circle: Area
A = πr2
Arc Length
s = rθ
Note: θ is in radians.
Circle: Sector Area:
A = r2θ / 2 = πr2θ / 360
Circle: Segment Area
A = r2 (θ - sinθ) / 2

Circle: Two Chords Rule
a × b = c × d

Circle: Two Secants Rule
AC × AB = AE × AD

Circle: Secant-Tangent Rule
AB2 = AC × AD
Cyclic Quadrilateral
d1 × d2 = ac + bd

Circle Inscribed in a Triangle
AT = rs
s = ½ (a + b + c)

Circle Circumscribing a Triangle
AT = abc / 4R

Escribed Circle
AT = r(s - a)
Prism: Volume and Surface Area
V = AB h
TSA = 2AB + LSA
Truncated Prism: Volume and Surface Area
V = AB have
TSA = A1 + A2 + LSA
Pyramid: Volume and Surface Area
V = AB h / 3
TSA = AB + LSA
Tetrahedron: Volume and Surface Area
V = a3 / 6√2
SA = a2 √3
Hexahedron (Cube): Volume and Surface Area
V = a3
SA = 6a2
Octahedron: Volume and Surface Area
V = √2 / 3 × a3
SA = a2 × 2√3

Cylinder: Volume and Surface Area
V = AB h = π r2
TSA = 2π r2 + 2π r h

Cone: Volume and Surface Area
V = π r2 h / 3
TSA = π r2 + π r l

Sphere: Volume and Surface Area
V = 4π r3 / 3
SA = 4π r2

Volume of a Spherical Segment
1 Base: V = πh2(3R - h) / 3
2 Bases: V = πh(3a2 + 3b2 + h2) / 6