1/39
Looks like no tags are added yet.
Name | Mastery | Learn | Test | Matching | Spaced |
|---|
No study sessions yet.
3 PÄÄSÄÄNTÖÄ el. kuorien täyttymiselle
Energiaminimi=sijoittuu niin että pienin energia
Paulin kieltosääntö= el ei voi sijaita samalla orb. samalla spinkvanttiluvulla ( 2max)
Hundinsääntö= el sijoittuu niin että ensin täyttää 1 kerrallaan orbitaalit
sidospituus= ?
sidosenergia= ?
sidospituus= 2 atomin etäisyys joiden välillä -
sidosenergia= sidoksen muodostuessa vapautuva ja rikkomiseen vaadittava energia
Kerro ionisidoksen om?
- muodostaa hilan
- vahva rakenne ja korkea sp ja kp
- ei org. yhdisteillä
- elektronegatiivisuus yli 1,7
mikä on resonanssirakenne?
rakenne, jota ei voida täydellisesti viivakaavoin kuvata
esim.
mikä on resonanssirakenne?
rakenne, jota ei voida täydellisesti viivakaavoin kuvata
esim.
mikä rakenne?
C kolmoissidos N
-SH
-SH-C-=O
nitriili
teoli
tioeetteri
mitä ainetta alkaanit ovat? kerro myös muutamia ominaisuuksia
liuottimia, polttoaineita, voiteluaienita (poolittomuus)
- homologisen sarjan muodostaa
- inerttejä
- kp/sp kasvaa koon kasvaessa ( parillisilla korkeampi)
- H voi kääntyä = konfiguraatio
steerinen jännitys?
samat varaukset liian lähellä toisiaan , saa aikaan hylkimistä
lomittais/vastakkais konfiguraatio
luomittain= 60 astetta vetyjen välillä ( ovat puoli välissä)
vastakkais = 0 astetta vetyjen välillä
alkaanien käyttökohteet ja jatkojalostus?
raakaöljy ja maakaasu, jatkojalostetaan tislaamalla bensaksi ja polttoöljyksi.
Jakotislaus= jaottelee hiiliketjun mukaan eri fraktioiksi
milloin sigma sidos muodostuu?
kun sp, ss tai pp menee päällekkäin, tetraedri muoto ja 120 astetta
mikä on aksiaalinen H / ekvatoraalinen H
aksiaalinen H = ylä/alapuolella olevat vedyt sykloalkaanissa
ekvatoraalinen H = samassa tasossa olevat renkaan kanssa
invertio?
sykloalkaanin konfiguraatioiden vaihtelu tuoli/ vene
bisyklisten alkaanien muodot?
sulautuminen , sillottuminen ja spirosyklisyys
krakkaus
pitkien hiiliketjujen muuttaminen lyhyemmiksi (H2 ja lämpö avulla )
millaisissa olosuhteissa alkyylihalidi muodostuu?
valo/ lämpö avulla
reagenssina : halogeeni Br2
mitä tarkoittaa konjugoitunut, kumuloitunut tai erillään oleva hv?
konjugoitunut: -CH2=CH-CH=CH2-
kumuloitunut: -CH2=CH=CH2-
erillään : -CH2=CH-CH2-CH=CH2-
mitä teollisia aineita eteenit ovat ?
eteenit välituotteita muoville, lääkkeille,torjunta-aineille
mikä stabiloi alkeeniä?
alkyyli substituentin ( vähiten vety subst.) stabiilein (huomioi. steerinen jännite )
elektrofiili/neutrofiili?
elektrofiili= haluaa vastaanottaa el. esim. H+ = elektroni köyhä
neutrofiili= haluaa luovuttaa el . esim.additiossa hiiliyhdiste = elektronirikas
miksi veden additiossa tarvitaan katalyytti ja mikä se on?
happo ( rikkihappo , suolahappo, H+, fosforihappo, AlCl3, FeCl3) on elektrofiili → reagoi veden kanssa ja syntyy - OH ryhmä
karbokationi?
= hiiliryhmä on reagoinut elektrofiilin (H+) kanssa niin, että muodostuu positiivinen varaus toiseen C=C hiilistä
mikä on stabiilius järjestys (karbokationit) ? prim, sek, tert, metyylikationi?
eniten hiiliryhmiä sisältävä. eli tert>sek>prim>metyyli kationi
( koska + varaus levittyy useammalle molekyylille)
Markovnikovin sääntö “nykymuodossa”
stabiilein karbokationi syntyy epäsymmetrisen reagenssin liittymisessä epäsymmetriseen kaksoisidokseen
mitä tarkoittaa hydroboraatio ?
boorin additioreaktiota vasten Markovnikovin sääntöä

Dier -Alder reaktio?

mitä katalyyttiä täytyy käyttää vedyn hydrauksessa alkeeniin?
Pt platinaa / C palladiumia (pelkistys reaktio H määrä kasvaa)

mikä kuvassa on ?
konjugoidun kaksoissidoksen additioreaktio, jossa on esitetty karbokationin molemmat resonannsi muodot ( ottaa huomioon Markovnikov)
mikä reaktio mahdollinen vahvan hapettimen ja veden kanssa alkeenille?
hapetin: permanganaatti ja rt: glykoli

mitkä on rt otsonolyysissä ?
ketoni + ketoni

missä esiintyy alkyynejä?
teollisesti tärkein hitsauskaasuna (etyyni) , lääkeaineissa
milloin alkyynin pelkistymis reaktio voi edetä alkaaniksi asti?
kun HX eli reagenssia ylimäärä
tai vedyn additiossa jossa Pt katalyytti

Mitä tapahtuu alkyynien additiossa jos sama määrä tai jos 2:1 määrä
sama määrä: cis-trans isomeerinen seos
2:1 muodostuu tetrahalidi

missä reaktiossa muodostuu keto-enolitautomeeri?
alkyynin veden additioreaktiossa , happokatalysoitu
huom. epäsymmetrinen ketju - > 2 ketonia

terminaalinen alkyyni?
kolm.sidos ketjun päässä , stabiilimpi , tarvitsee happokatalyytin
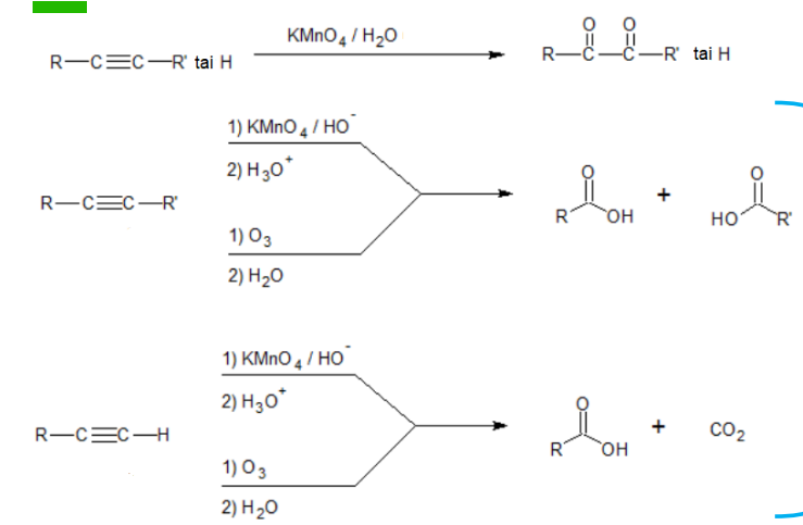
miten alkyynit hapettuvat?

miten sp hybridisaatio vaikuttaa happamuuteen?
heikoin happo : etaani <eteeni<etyyni
sp3 <sp2<sp
mitä tarkoittaa delokalisaatio? mitä aiheuttaa yhdisteille?
delokalisaatio = el. eivät ole tietyn atomin omia vaan kaikille yhteisiä (6 el. bentseenissä, p orbitaalien el eli piiddisoket)
= saa aikaan yhdisteen stabiloitumisen eli sitä muodostuu enemmän (RESONANSSISTABILOITUMINEN)
MYÖS konjugoidut dieenit stabiilempia kuin ei konjugoidut
mitä eri bentseeni muotoja on?
