1/25
Flashcards for AP Calculus Unit 2
Name | Mastery | Learn | Test | Matching | Spaced | Call with Kai |
|---|
No analytics yet
Send a link to your students to track their progress
What does a derivative represent?
The instantaneous rate of change of a function; the slope of the tangent line
Average rate of change
Slope of the secant line over an interval
Instantaneous rate of change
Slope of the tangent line at a point
Difference between average and instantaneous rate of change
Average uses two points (secant); instantaneous uses one point (tangent)
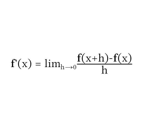
Formal definition of derivative
Formal (h → 0) focuses on a small change h

Alternate definition of derivative
Finds the exact value of the derivative evaluated at one exact point

When must you use the definition of the derivative
When rules are not allowed or when explicitly asked
Power rule

Derivative of a constant
0
Constant multiple rule

Sum rule/Difference Rule

Derivative of x
1
Tangent line
A line that touches the curve at one point and has the same slope there

Secant line
A line that intersects a curve at two points

Difference between tangent and secant line
Tangent touches once; secant crosses twice
Equation of tangent line at x=a

Position function
s(t) gives location as a function of time
Velocity
Derivative of position with respect to time
Acceleration
Derivative of velocity with respect to time
Positive velocity
Object moving in the positive direction
Negative velocity
Object moving in the negative direction
Velocity equals zero
Object is momentarily at rest
Acceleration equals zero
Velocity is not changing
Meaning of f(a)
The output (y-value) of the function at x=a
Meaning of f'(a)
The slope of the tangent line at x=a
Meaning of f'(a) in words
Instantaneous rate of change at x=a