1/17
Looks like no tags are added yet.
Name | Mastery | Learn | Test | Matching | Spaced | Call with Kai |
|---|
No analytics yet
Send a link to your students to track their progress
Older notation for directional derivatives (optional)

Recall: Alternate representation of the dot product with an angle




Formula for this


Formula for this directional derivative

Another property of the gradient
It provides the direction of maximal increase of the function (“steepest ascent”)

Property of the negative gradient
It provides the direction of maximal decrease of the function (“steepest descent”)
Formula for a level surface
A function of three variables set equal to a constant; F(x, y, z) is called w; k is a constant; a level surface is the intersection of the “hyperplane” w = k

Example of a level surface
A sphere (centered at the origin with a radius of 3 in this case)

Why z isn’t a function of x and y in the context of spheres
The surface wouldn’t pass the vertical line test (the line perpendicular to the xy-plane at each point would intersect the surface at two points instead of one, so we would need two surfaces, one for each hemisphere)
Two points that each lie on the level surface

What F(Q) - F(P) equals in the context of level surfaces

Total differential for a function of three variables

Equation involving a function of three variables that holds true for all smooth curves


Relationship between the gradient of a function of three variables and the level surface

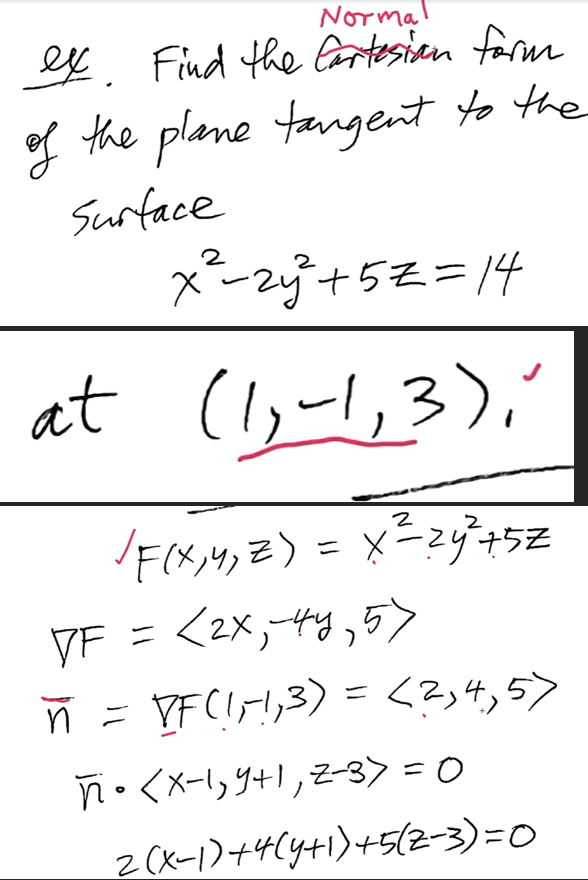
Recall: Normal form of a plane

How to find the normal form of the plane tangent to a level surface
Find the gradient of the surface and plug in the values of the point you’re given. Treat this gradient as the normal vector and substitute x^0, y^0, and z^0 with the values of the point in the formula for the normal form of a plane.


Is our new method for finding the normal form of the tangent plane consistent with our old method for finding the general equation of the tangent plane?
Yes (this means that we can get the same results with the new method if we forget the old method)