1/8
Looks like no tags are added yet.
Name | Mastery | Learn | Test | Matching | Spaced |
|---|
No study sessions yet.
Hydroboranation
1) BH2, THF
————→ syn addition, anti-markivnkioffs
2) NaOH, H2O2

Oxymercuration
1) Hg(OAc)2, H2O
————→ syn/anti addition, markivnkioffs
2) NaBH4

Hydration
1) H2SO4
————→ syn/anti addition
2) H2O

HX (Br, Cl, or I)
HCL
————→ syn/anti addition

Bromination
Br2
————→ anti addition

Halohydrin
1) Br2
————→ anti addition
2) H2O

hydrogenation
1) H2
————→ syn addition,
2) Pd/C

Halogenation (Radical Br)
1) HBr
————→ syn/anti. anti-markivnkioffs
2) Peroxide (RO-OR)

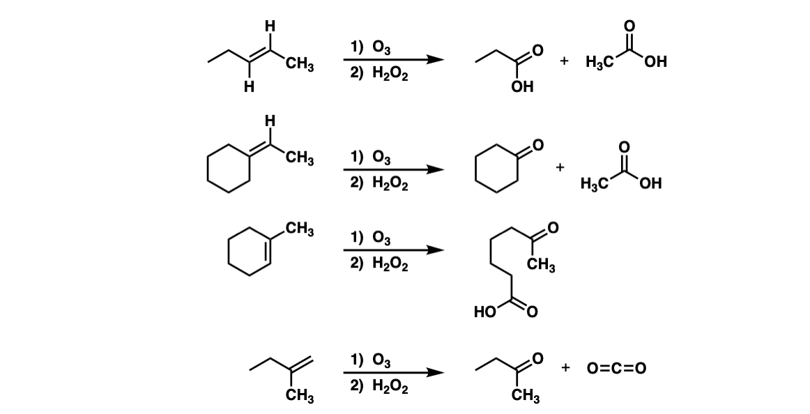
Ozonolysis
1) O3
————→
2) Mg-S-Ch3 or Me2S or H2O2 or KMnO4
