1/10
Looks like no tags are added yet.
Name | Mastery | Learn | Test | Matching | Spaced |
|---|
No study sessions yet.
Halogenation (Give intermediate + Major Product)
Br2, Cl2
Anti/Trans

Halohydrin from Alkene
Br2 / H2O
Products: Br + OH
Anti/Trans
Follows Mark’s Rule

Halohydrin (NBS)
NBS / H2O DMSO
Products: Br + OH
OH goes to more substituted Carbon
Anti/Trans

Hydration
H2O/H2PO4 / 250oC
Creating an Alcohol by addiing OH to more substituted Carbon

Hydroboration
BH3/THF / H2O2
Products: H + OH
Syn/Cis
AntiMark’s Rule

Hydrogenation
H2/ Pd/C in ethanol
Products H + H
Syn/CIs
Remove double bond

Expoxidation
X2 / H2O
Step 1: Halohydrin Formation
Products: OH + X
Anti/Trans
Step 2 Epoxide
Base/ NaOH
Product: O
Syn/Cis

Epoxidization (Peroxy Acids)
RCO3H
Product: O
Syn/Cys

Hydroxylation of Epoxides
H3O+/H2O
Products: OH+ OH
Anti/Trans

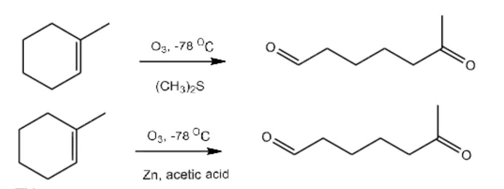
Ozonolysis
O3, -78oC / Either Zn, Acetic Acid
Everywhere a double bond is/ make it an O

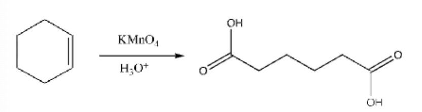
Oxidization
KMnO3 / H3O+
Similar to ozonylsis, but OH is added to the central carbon to create carboxylic acid
