1/3
Looks like no tags are added yet.
Name | Mastery | Learn | Test | Matching | Spaced | Call with Kai |
|---|
No analytics yet
Send a link to your students to track their progress
What is the doppler effect?
Doppler effect - the change in observed frequency when a source moves relative to the observer
How does the observed frequency change depending on whether the source is moving to or away from the observer?
Source moving towards
The wavelengths shorten
The frequency increases
Source moving away
The wavelength increases
The frequency decreases
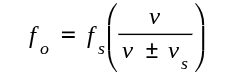
How do you calculate the doppler shift?

Where f0 is the observed frequency in Hz
Where fs is the frequency emitted by the source in Hz
Where v is the speed of the wave in ms-1
Where vs is the speed of the source
Use a + when the source is moving away as the frequency decreases
Use a - when the source is moving towards as the frequency increases
1
1