Carmon Geometry Unit 1A

0.0(0)
studied byStudied by 0 people
full-widthCall with Kai
GameKnowt Play
learnLearn
examPractice Test
spaced repetitionSpaced Repetition
heart puzzleMatch
flashcardsFlashcards
Card Sorting

1/38

encourage image

There's no tags or description

Looks like no tags are added yet.

Study Analytics
Name
Mastery
Learn
Test
Matching
Spaced

No study sessions yet.

39 Terms

1
New cards

vertical angles

two nonadjacent angles formed by two intersecting lines

<p>two nonadjacent angles formed by two intersecting lines</p>
2
New cards

supplementary angles

Two angles whose sum is 180 degrees

<p>Two angles whose sum is 180 degrees</p>
3
New cards

linear pair

a pair of adjacent angles whose noncommon sides form a straight angle

<p>a pair of adjacent angles whose noncommon sides form a straight angle</p>
4
New cards

complementary angles

Two angles whose sum is 90 degrees

<p>Two angles whose sum is 90 degrees</p>
5
New cards

adjacent angles

two angles that share a common vertex and side, but have no common interior points

<p>two angles that share a common vertex and side, but have no common interior points</p>
6
New cards

angle bisector

a ray that divides an angle into two congruent angles

<p>a ray that divides an angle into two congruent angles</p>
7
New cards

Angle Addition Postulate

If B is in the interior of

<p>If B is in the interior of </p>
8
New cards

acute angle

an angle that measures less than 90 degrees

<p>an angle that measures less than 90 degrees</p>
9
New cards

right angle

an angle that measures 90 degrees

<p>an angle that measures 90 degrees</p>
10
New cards

obtuse angle

An angle that measures between 90 and 180 degrees

<p>An angle that measures between 90 and 180 degrees</p>
11
New cards

straight angle

an angle that measures 180 degrees

<p>an angle that measures 180 degrees</p>
12
New cards

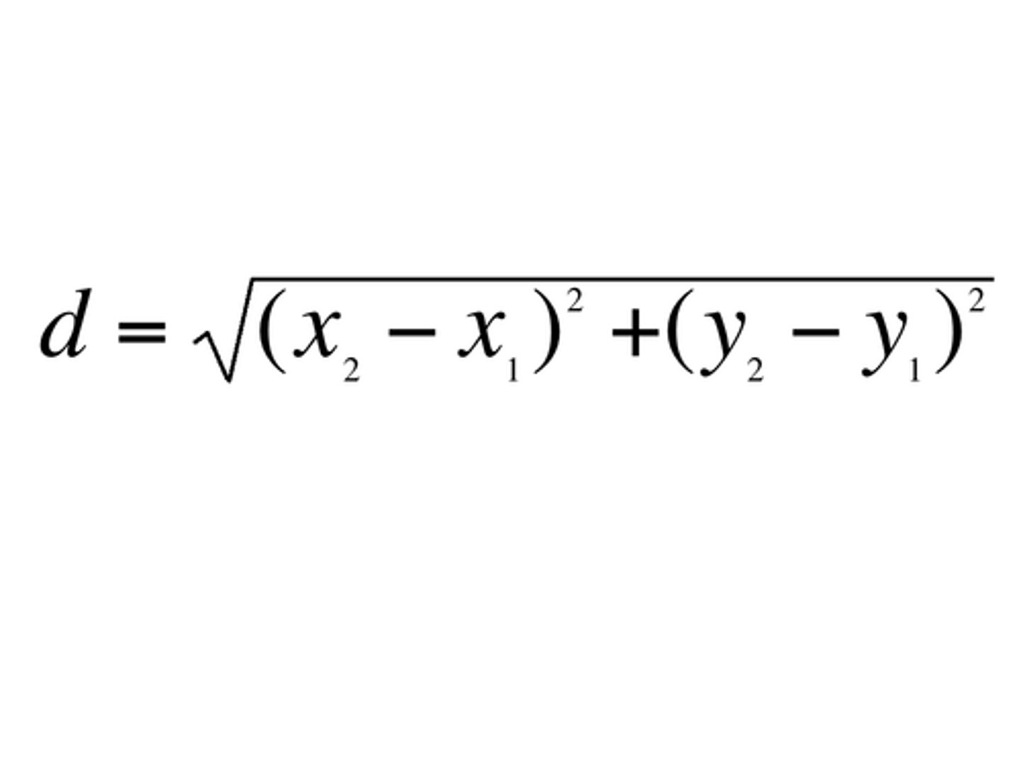
Distance Formula

finds the length of a segment; on the reference sheet

<p>finds the length of a segment; on the reference sheet</p>
13
New cards

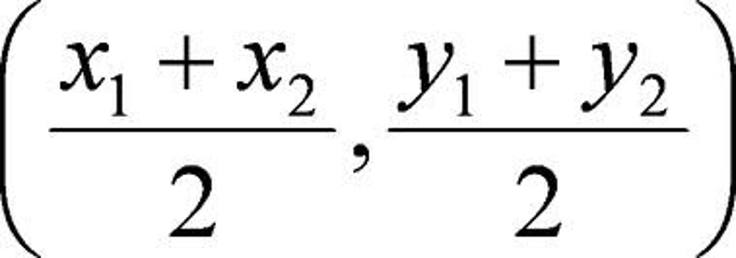
midpoint formula

finds the point in the middle of two other points; answer will be a POINT (x, y)

<p>finds the point in the middle of two other points; answer will be a POINT (x, y)</p>
14
New cards

Midpoint

A point that divides a segment into TWO EQUAL PARTS

<p>A point that divides a segment into TWO EQUAL PARTS</p>
15
New cards

segment bisector

a segment, ray, line, or plane that intersects a segment at its midpoint; means there are TWO EQUAL PARTS

<p>a segment, ray, line, or plane that intersects a segment at its midpoint; means there are TWO EQUAL PARTS</p>
16
New cards

Collinear

points that lie on the same line

<p>points that lie on the same line</p>
17
New cards

Coplanar

points, lines, segments, and/or rays that lie in the same plane

<p>points, lines, segments, and/or rays that lie in the same plane</p>
18
New cards

point

an exact location in space

19
New cards

Line

A set of connected points continuing without end in both directions.

<p>A set of connected points continuing without end in both directions.</p>
20
New cards

ray

A part of a line, with one endpoint, that continues forever in one direction

<p>A part of a line, with one endpoint, that continues forever in one direction</p>
21
New cards

segment

A part of a line consisting of two endpoints and all points between them.

<p>A part of a line consisting of two endpoints and all points between them.</p>
22
New cards

plane

A two-dimensional flat surface that extends forever in all directions

<p>A two-dimensional flat surface that extends forever in all directions</p>
23
New cards

endpoint

a point at the end of a segment or ray; the segment or ray does not go past this point.

<p>a point at the end of a segment or ray; the segment or ray does not go past this point.</p>
24
New cards

Two planes intersect at a _________________

line

<p>line</p>
25
New cards

Two lines intersect at a _____________

point

<p>point</p>
26
New cards

intersection

A point or set of points where lines, segments, rays, or planes cross each other.

27
New cards

Segment Addition Postulate

If B is between A and C, then AB + BC = AC. little part + little part = BIG part

<p>If B is between A and C, then AB + BC = AC. little part + little part = BIG part</p>
28
New cards

congruent segments

segments that have the same length, marked in a figure with "slashies"

<p>segments that have the same length, marked in a figure with "slashies"</p>
29
New cards

congruent angles

angles that have the same measure, marked in a figure with arcs

<p>angles that have the same measure, marked in a figure with arcs</p>
30
New cards

postulate

a math rule, sort of common sense

31
New cards

opposite rays

two rays that have a common endpoint and form a line

<p>two rays that have a common endpoint and form a line</p>
32
New cards

How do you name a LINE?

two points in any order and the line symbol <-> above it or write out "line" with a lowercase letter; line "s" in cursive

<p>two points in any order and the line symbol &lt;-&gt; above it or write out "line" with a lowercase letter; line "s" in cursive</p>
33
New cards

How do you name a SEGMENT?

Two endpoints with capital letters and "—" above it

<p>Two endpoints with capital letters and "—" above it</p>
34
New cards

How do you name a RAY?

Write the endpoint first and then another point on the ray. Use the ray symbol: ->

<p>Write the endpoint first and then another point on the ray. Use the ray symbol: -&gt;</p>
35
New cards

How do you name a PLANE?

A (script) capital letter OR three points (or more) that aren't on one line

<p>A (script) capital letter OR three points (or more) that aren't on one line</p>
36
New cards

How do you name an ANGLE?

With the word "Angle" or the angle symbol and the three points (vertex in middle)

Ex: Angle ABC, Angle CBA, ∠ABC, ∠CBA,

Also with the vertex Ex. ∠B, (if there is only one angle)

or with a number Ex. Angle 1 or ∠1

<p>With the word "Angle" or the angle symbol and the three points (vertex in middle)</p><p>Ex: Angle ABC, Angle CBA, ∠ABC, ∠CBA,</p><p>Also with the vertex Ex. ∠B, (if there is only one angle)</p><p>or with a number Ex. Angle 1 or ∠1</p>
37
New cards

"line XY"

means the line goes through X and Y and continues forever in both directions

<p>means the line goes through X and Y and continues forever in both directions</p>
38
New cards

"ray AB"

means the ray starts at A and goes through B continuing forever in that one direction.

<p>means the ray starts at A and goes through B continuing forever in that one direction.</p>
39
New cards

"segment CD"

just the part of the line between C and D; does not continue past either point

<p>just the part of the line between C and D; does not continue past either point</p>