1/163
Looks like no tags are added yet.
Name | Mastery | Learn | Test | Matching | Spaced | Call with Kai |
|---|
No analytics yet
Send a link to your students to track their progress
Risk
Variability in future outcomes over a specific time
Risk: Importance
Can cause us to use resources inefficiently, often because individuals are believed to be risk averse
ERM: Purpose
Minimize the negative effects of risk
Enterprise Risk Management (ERM)
Decision-making process by which negative3 effects of risk are minimized
Risk Averse
Willing to give up value to reduce variability risk
Risk: Negative Effects
Giving up possible opportunities/benefits because of risk
Spending resources with the intent of reducing risk
Spending resources with the intent of paying for losses if they happen
ERM: Process
Set Objectives
Identify RM problems
Measure RM problem dimensions
Identify and evaluate alternatives to manage risk
Select among alternatives and implement selection
Monitor the system
Risk: Types of Situations
Speculative vs. Pure
Diversifiable vs. Non-diversifiable
Pure Risk
Equal-to or worse-off after situation
Diversifiable Risk
Offset-able. Ex. a company sells both umbrellas and sunscreen
GARP Wheel
There are many types of risk and ERM is represented in the centre of the wheel to incorporate all risks
Objectives: Types
Strategic: An organization's mission/goal
Operational: Day-to-day activities to achieve strategy
Risk management: Actions designed to ensure ability to meet operational objectives
Objectives: Communication
Internal documents: Mission statement, employee handbook, etc.
External communication: Advertisements, new releases, spokesperson, etc.
Objectives: Examples
Survive
Continuity of operations
Maintain expenses below some level
Hold variability below some level (stable earnings)
Meet outside responsibility (complying legally)
Be socially responsible
Some risks are non-diversifiable
True
Risk reduction is not costly
False
Risk is associated with only foreseen cost fluctuations
False
Exposures
Underlying assets that may experience loss. Ultimately the intention is to identify the existence and value of each exposure.
Exposure: Types
Property
Liability
Human capital / employee benefits
Consequential
Peril
Direct causes of loss. We try to know the probability and velocity of relevant perils
Hazard
Conditions that increase the probability and/or severity of loss. We try to know hazards
Hazard: Types
Physical
Economic
Cultural: social, political, regulatory, legal
Cognitive and behavioural
Moral Hazard
Behaviour that makes negative outcomes more likely and/or larger, induced by the fact that costs are not borne entirely by the actor
not necessarily intentional
Physical Assets: Property
Ownership:
Real property
Personal property
Use/possession
How to value a physical asset for risk/insurance purposes
Replacement cost. For ex., If a machine is destroyed, the firm must:
Replace it or shut down production.
Replacement cost determines how much insurance is needed
Value in Use
The economic cash flows an equipment generates in the future
Replacement Cost
Typically the insurance amount. i.e. the cost to replace property
Physical Assets: How to Identify
Document analysis (financial statements)
Inspections/interviews
Expertise outside the organization
Compliance review
Liability
The legal responsibility to remedy some harm experienced by another party. The effect is an allocation of costs
Liability: Exposure
Financial assets used to fulfill the responsibility to pay for another party's harm
Liability: Peril
The filing of a legal claim (not the occurrence of harm)
Liability: Hazard
Wrongful conduct, poor record keeping, operating in locations where laws are more favourable toward plaintiffs than defendants, etc.
Tortious Conduct
Type of wrongful conduct, intentional and unintentional.
Negligence
The failure to is the failure to exercise reasonable care, resulting in unintended harm or loss to another party. It is the foundation of liability in Canada
Negligence: Requirements
Owe a duty
Breach the duty
Harm
The breach of duty is the proximate cause of harm
Unreasonable Behaviour: How It's Shown
Court, precedent rulings
Learned Hand's Ruling
Learned Hand's Ruling
If Cost to prevent harm > Pr(loss) x size of loss, then it is reasonable to not prevent
Negligence: Defenses
Contributory negligence, comparative negligence
Contributory Negligence
The plaintiff is partly responsible for their own injury.
If the plaintiff failed to take reasonable care for their own safety, their damages are reduced.
Comparative Negligence
Fault is divided between plaintiff and defendant by percentage.
Each party is assigned a percentage of responsibility.
The plaintiff's damages are reduced in proportion to their fault.
This is the dominant modern approach in Canada
Assumption of Risk
The plaintiff knowingly and voluntarily accepted the risk of harm.
Defendant argues the plaintiff understood the danger and chose to proceed anyway
Example: Signing a waiver before a dangerous activity.
Cap on General or Punitive Damages
The law limits how much money a plaintiff can receive.
Even if the defendant is negligent, damages may be legally capped for:
Pain and suffering (general damages)
Punitive damages
Contributory vs. Comparative Negligence
Contributory negligence asks whether the plaintiff was negligent. Comparative negligence asks how much each party was negligent
Fault
Refers to blameworthy conduct
Expansions of Liability
Joint and several liability
Vicarious liability
Strict liability
Joint and Several Liability
Each defendant can be held responsible for the entire loss.
Applies when multiple defendants cause the same harm.
Plaintiff may recover 100% of damages from any one defendant, even if that defendant is only partly at fault.
That defendant can later seek contribution from others.
Vicarious Liability
One party is held liable for the negligence of another.
Most common relationship: employer-employee
Employer is liable for negligent acts committed within the scope of employment, even if the employer did nothing wrong.
Vicarious Liability: Key Question
Was the employee acting in the course and scope of employment when the harm occurred?
Strict Liability
Liability without fault.
Plaintiff does NOT need to prove unreasonableness or negligence.
Instead, must show:
A dangerous condition or activity
The condition caused the loss
Worker's Compensation
Workers' compensation is a system to pay workers for their work-relatedinjuries/illnesses. The employer provides payment and it is required by statute.
Worker's Compensation: Conditions
Accident/no fault
Arising out of employment
In the course of employment
Worker's Compensation: Coverage
Reasonable medical expenses
Rehabilitation expenses
Portion of lost wages
Portion of Lost Wages: Formula
0.85 x Min(weekly wage, Ontario average wage)
Worker's Compensation: Purpose
To ensure compensation for workplace injuries and specify payment
To improve safety and spread costs of injuries
Reduced administrative costs
Worker's Compensation: Execeptions
Volunteers, owners do not count
Generally < 3 employees
Some employment sectors
Human Capital: Exposure
To employee:
Financial & emotional costs of medical care, lost wages, satisfaction/feeling good
To employer (our focus):
Intellectual capital, Cost of searching for, hiring, training, developing, keeping talent, Financial assets used to pay for liabilities, Financial assets used to pay for non-wage compensation (employee benefits)
Employee Benefits: Peril
Employee's inability to earn income
Disability, Retirement, Unemployment
Employee's use of health care
Employee Benefits: Hazards
Workforce characteristics
Labour supply
Pension Plan: Types
Defined benefit (DB)
Defined contribution (DC)
Pension Plan: Defined Benefit
Employer promises a certain pension amount to the employee upon retirement(benefit amount calculated by a formula)
Pension Plan: Defined Contribution
Employer promises to create a fund on behalf of the employee, and decides anamount to be paid into the fund (contribution) each pay period
Pension Plan: Contributory vs Non-Contributory
Either type of pension plan may be "contributory," where employees pay into the system (and often the employer does as well) or "non-contributory," where only employers pay into the system
Common Law
A body of law derived from judicial decisions and precedents rather than statutes. It evolves through court rulings and is foundational to many legal systems.
Consequential Loss
Conditions that may result in a reduction in revenues and/or increase in expenses due to the disruption of normal operations caused by some other event (loss).
Consequential Loss: Exposure
Net income
Consequential Loss: Peril
loss of use of property
Develop Probability Distributions: Methods
Identify all possible outcomes
Calculate probabilities for all possible outcomes
Identify All Possible Outcomes: Types
Collectively exhaustive: account for all possibilities
Mutually exclusive: the occurrence of one outcome preludes the occurrence of another
Probability Distribution: Mean

Probability Distribution: Range
Largest value - smallest value. Range represents the total spread between the minimum and maximum possible losses or claims, providing a measure of potential risk exposure
Probability Distribution: Variance
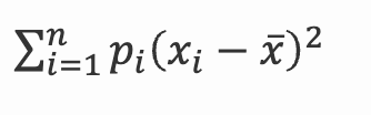
x^— is the mean. Variance quantifies overall uncertainty and risk in claim sizes or frequencies for premiums

Probability Distribution: Standard Deviation
sqrt(variance). Standard deviation represents the typical deviation of actual losses from their mean, offering a scale for risk assessment.
Probability Distribution: Coefficient of Variation
Standard Deviation/ Mean. Coefficient of Variation represents a relative measure of dispersion or risk
Probability Distribution: Value-at-Risk (VaR)
Maximum probable loss. If an organization is risk averse, then they will increase their VaR as the organization sets a higher safety buffer for potential losses.
Value-at-Risk (VaR): How Organizations Increase
Buy insurance: VaR becomes more predictable
Diversify Operations
Hold more capital
Uncorrelated/Independent Events
The occurrence of one event does not indicate anything about the probability of the other
Correlated/Dependent Events
The occurrence of one event tells us something about the probability of the other
Expected Loss Formula
Pr(loss)(value of loss)
Pooling
Combining risks or losses from many individuals to make the outcomes more predictable. With pooling, the expected loss per person does not change, but the risk per person decreases
Law of Large Numbers
As the number of observations increase, the relative dispersion decreases
Law of Large Numbers: Key Facts
Larger losses are not necessarily more predictable than smaller losses
The law of large numbers explains how pooling can increase predictability
Resource allocation decisions can be made with greater relative certainty as the number of observations increases
Risk Management Tools: Purpose
To reduce variability
Avoidance
Making decisions with the intention of eliminating either: Some potential for loss or a future potential for loss from a new venture.
Lost opportunities
Elimination is the extreme form of avoidance
Risk/Loss Control
Actions that reduce frequency and/or severity of loss
Risk/Loss Control: Mechanisms
Prevention: any measure that reduces the probability of loss
Reduction any effort that lessens the severity of losses that occur/occured
Reduction: Segregation
Lower the dependence on any single asset, activity, or person, and as
a result, each loss is smaller in size
Segregation: Examples
Separation: diversification
Duplication: reproduce assets with the duplicate’s purpose as a back-up
Reduction: Crisis Management
Plans of action to prepare for an emergency
Risk/Loss Control: Heinrich’s Domino Theory
Focuses on people’s behaviour
Social environment leads to fault of person leads to unsafe act leads to accident leads to injury (SFUAI)
Emphasizes the intervention of the “unsafe act” phase
Risk/Loss Control: Haddon’s Release of Energy Theory
Focuses on physical environment
Suggests that accidents result from the release of excess energy
Suggests that loss control is possible by suppressing build-up of energy and enhancing accident-retarding conditions
Risk/Loss Financing
Paying for losses not avoided
Risk/Loss Financing: Types
Retain: Do not shift risk but rather pay for losses directly as they occur
Transfer: Shift risk to another party
Risk Management Tools: Diagram

Pooling: Benefits
Organizations and entities opt to pool their losses because the standard deviation decreases. This causes variability and individual risk to decrease.
Pooling: Why it Fails with Positive Correlation
Pooling works because risks are independent. So, If risks are positively correlated, then losses happen together. So:
Variability does not decrease
Insurer can’t diversify risk
Evaluate RM Alternatives: General Criteria
Choose tools to support organizational objectives
Choose tools to promote efficiency
Retention
Pay for losses directly out of the organization’s own funds, so “retain risk.”
Retention: Types
Passive: not even being aware of the potential for loss
Current expensing: paying losses as they occur as normal operating expenses
Reserving: Setting up liability account that reflects the losses over time. Expense losses in each period (accrual accounting) even though they will be paid in the foreseeable future