1/7
Looks like no tags are added yet.
Name | Mastery | Learn | Test | Matching | Spaced | Call with Kai |
|---|
No analytics yet
Send a link to your students to track their progress
Parameter
A descriptive measure for a population
Statistic
A descriptive measure for a sample
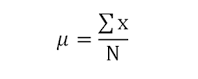
Population mean (mean of a variable)

‘N’ in the population mean formula stands for
Population size
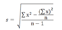
Computing formula for a sample standard deviation

‘n’ in the formula for a sample standard deviation stands for
sample size
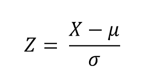
Standardized variable formula

z-Score
The corresponding value of the standardized variable ‘z’, often called standard score