1/15
Looks like no tags are added yet.
Name | Mastery | Learn | Test | Matching | Spaced | Call with Kai |
|---|
No analytics yet
Send a link to your students to track their progress

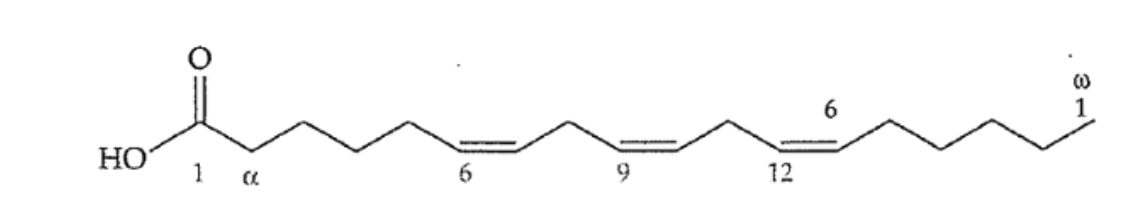
What acid is this
A-linoleic acid

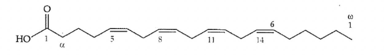
What acid is this
linoleic acid

What acid is this
Arachidonic Acid

What is this structure
Monoglyceride

What is this structure
Diglyceride

What is this structure
Ethanolamine

What is this strucutre
Choline

what is this structure
Serine

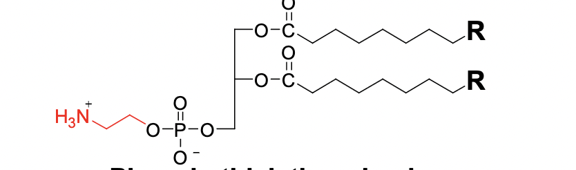
What is this Phosphatidate structure
Phosphatidylethanolamine

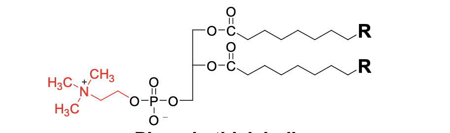
What is this Phosphatidate structure
Phosphatidylcholine

What is this Phosphatidate structure
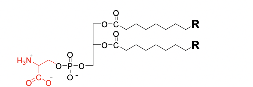
Phosphatidylserine

What is this structure
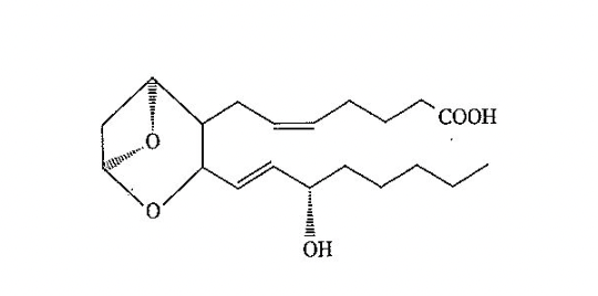
Thromboxanes

What is this structure
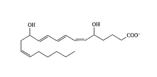
Leukotrienes

what is this structure
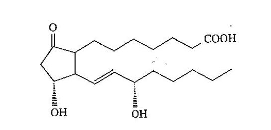
Prostaglandins

What wax is this
Bee’s wax

What wax is this
Carnauba Wax