1/110
Looks like no tags are added yet.
Name | Mastery | Learn | Test | Matching | Spaced | Call with Kai |
|---|
No study sessions yet.
What is microeconomics?
Analysis of individual choices and their interaction on markets
What is macroeconomics?
Analysis of economy as a whole
How do scarce resources appear and what is their cause?
human wants exceed the resources available to satisfy them → trade-offs
Trade-off: opportunity cost of a choice → best forgone alternative → need to weigh costs and benefits
What is the general goal of optimization?
rational individuals make rational choices
maximize utility (satisfaction) from a given set of resources → objective function
minimize resource use to obtain a given utility level
these opposing goals create a dual problem
What is an equilibrium?
no agent has an incentive to change their behavior
agents are compatible with each other, and thus feasible → market equilibrium
all choices are realizable
market supply quantity is at a given price (market demand quantity = market supply quantity)
What is the Pareto principle?
allocation of resources so that they are Pareto efficient
Pareto improvement: reallocation that makes at least one agent better off without making any other agent worse off
What is production?
transformation of inputs into outputs
time + other resources → production → alleviate scarcity
efficient production → trade-off → producing more of one good implies producing less of another good
What is trade?
voluntary exchange of goods between agents
voluntariness → Pareto improvement
direct exchange (barter, goods-for-goods) → double coincidence of wants
indirect exchange → simple coincidence of wants
uses a medium of exchange (money)
dividable
widely accepted
non-perishable
terms of trade must be between the opportunity costs of two agents
What is a transformation curve?
graphical representation of a production trade-off
all combinations of goods on and below the transformation curve are feasible
efficient combinations on the curve
slope → opportunity cost = marginal cost of producing one good expressed in units of another

What is an absolute advantage?
An agent’s ability to produce a certain good using less resources than other agents
What is a comparative advantage?
An agent’s ability to produce a certain good at a lower opportunity cost than other agents
not relevant when one party has an absolute advantage for all produces
What is the principle of comparative advantage?
Specialization according to comparative advantages → mutual gains from trade
true whether one trading partner has an absolute advantage in every good
terms of trade must be between the opportunity costs of the trading partners
What are the three main characteristics of a representative consumer?
derives utility from the consumption of two goods (q1, q2) available to the individual
price taker; considers the prices (p1, p2) as given
the individual’s budget (initial endowment) y= p1q1 + p2q2 is given
What is the budget line?
Locus of all consumption bundles (q1, q2) that an individual can obtain is she spends her entire budget

What is the price ratio?
Rate at which the individual can substitute one good for another at constant expenses (price of one good in the unit of another good)
What does the utility function for demand U(q1, q2) represent?
the individual’s preference order with respect to all consumption bundles (q1, q2)
utility is an ordinal concept, not cardinal
there are infinite preference combinations
increasing, strictly concave function
What is the indifference curve of consumption?
Locus of all consumption bundles (q1, q2) that have the same rank in the individual’s preference order → yield the same utility level U(q1, q2)

What is marginal utility?
By how much does utility increase when the consumer increases the consumption of one of the goods
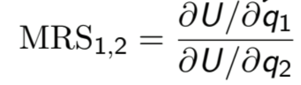
What is the marginal rate of substitution?
Rate at which the individual can substitute one good for another at constant utility
individual’s willingness to pay for an additional unit of q1 measured in units of q2
slope of indifference curve: -MRS

What are the four assumption of preferences?
completeness
transitivity
monotonicity
convexity
What is completeness?
The individual can compare any two consumption bundles A and B
every consumption bundle is located on an indifference curve
What is transitivity?
Between three consumption bundles of A, B, and C, if the individual prefers A to B and B to C, then she also prefers A to C. Similarly, if she is indifferent between A and B, as well as B and C, then she is indifferent between A and C.
homo economicus → rational decision maker
if preferences are transitive, indifference curves do not cross

What is monotonicity?
If consumption bundle A contains more of each good than consumption bundle B, then A is better than B. If consumption bundle A contains more of at least one good and not less of another, then A is at least as good as B. If A is always better than B, then preferences are strictly monotonous.
“more is better than less”
if preferences are strictly monotonous, indifference curves are negatively sloped
What is convexity?
If the individual is indifferent between two consumption bundles A and B, then any convex combination of A and B is at least as good as A or B. If any strictly convex combination of A and B is better than A or B, then preferences are strictly convex.
strictly convex preferences → strictly convex indifference curves

What are perfect substitutes for consumption?
Two goods the individual is willing to substitute for one another at a constant rate → linear indifference curves (not strictly convex !)

What are perfect complements for consumption?
Two goods the individual wants to consume in fixed proportions → orthogonal indifference curves
e.g. left and right shoes

What is Grossen’s 2nd law?
MRS should be equal to the price ratio
What are the 3 assumption of a budget maximization problem? What is an interior solution?
the entire budget must be spent
the consumption bundle is on the budget line
MRS = price ratio
If slope of indifference curve = slope of budget line → interior solution → exchange rate at constant utility = exchange rate at constant expenses

What is a normal good?
A good for which an increase in income causes an increase in consumption
dqi/dy > 0

What is an inferior good?
A good for which an increase in income causes a decrease in consumption
dqi/dy < 0

What is the substitution effect?
Change in price ratio → substitution of the good that has become relatively more expensive with the good that has become relatively less expensive
What is the income effect?
Increase in prices decreases the individual’s purchasing power → decrease in purchasing power induces the individual to consume less of normal and more of inferior goods
What is an ordinary good?
A good for which an increase in its own price causes a decrease in consumption
dqi/dpi < 0
the ordinary good is normal → substitution and income effect work in the same direction
the ordinary good is inferior → substitution and income effects work in opposite direction

What is a Giffen good?
A good for which an increase in its own price causes an increase in consumption
dqi/dpi > 0
must be inferior → substitution and income effects work in opposite direction
income effect outweighs substitution effect
e.g. price of bread

What is a substitute?
A good is a substitute if an increase in the price of the latter causes an increase in the consumption of the former
dqj/dpi > 0
the substitute good is normal → substitution and income effects work in the opposite direction
substitute good is inferior → substitution and income effects work in the same direction
e.g. potato & rice
What are complements?
A good is a complement to another if an increase in the price of the latter causes a decrease in the consumption of the former
dqj/dpi < 0
must be normal → substitution and income effects work in opposite directions
e.g. printers and cartridges
What is market demand?
Sum of individual demand quantities of a good → Q = sum of q

What is the law of demand?
The market demand for a good decreases as its price increases
dQ/dp < 0
What assumptions are made for production and supply?
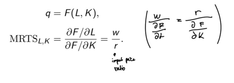
The firm produces q units of a good (output) by employing two factors of production (inputs); L denotes the quantity of labor, while K denotes the quantity of capital.
the firm is a price taker → output price p, labor w, and capital r are given
input cost: c = wL + rK
revenue: R(q) = pq
What is an isocost line?
Locus of all input bundles (L, K) that lead to the same level of input costs

What is the input price ratio?
Rate at which the firm can substitute one input for another at constant input costs
What is an isoquant?
Locus of all input bundles (L, K) that yield the same level of output q = F(L,K)

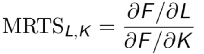
What is the marginal rate of technical substitution?
Rate at which the firm can substitute one input for another at constant output

Out of the four assumption which do not apply for production and supply?
completeness and transitivity → naturally satisfied in a cardinal context
What are perfect substitutes for production?
Two inputs that can be substituted for one another at a constant rate while output remains constant → linear isoquants
e.g. driver vs. autonomous driving
What are perfect complements for production?
Two inputs that should be employed in fixed proportions → orthogonal isoquants
e.g. truck and truck driver
What are returns to scale?
All inputs are multiplied by a constant λ → change in output can be proportional, more than proportional, or less than proportional

For a cost minimization problem, which conditions must be satisfied?

What is the interior solution for cost minimization?
substitution of labor for capital at constant output = substitution of labor for capital at constant input costs
optimality: slope of isoquant = slope of isocost line

How does the change in output influence input costs?
increase in output → higher input costs
to increase output, more of at least one input must be employed

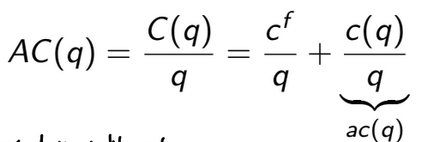
What are total costs of production?
Sum of fixed and variable costs
fixed cost cf : independent of output
variable cost c(q): represent minimum input costs as a function of output
C(q) = cf + c(q)
What are average costs of production?
Cost per unit of output
AC(q): average total cost
ac(q): average variable costs

What are marginal cost of production?
Change in total costs resulting from a marginal increase in output
positive → costs monotonously increasing

What does the variable cost curve show?
Variable cost increases → output increases
function of minimum input costs
price of capital is normalized to r = 1
dc(q)/dq > 0

What are short-run total costs?
In the short run, fixed costs are sunk costs.
Sunk costs: incurred costs that cannot be recovered

What are long-run total costs?
In the long run, non-variable costs must be quasi-fixed costs.
Quasi-fixed cost: costs that arise if a firm starts production, but do not vary as output increases.
there are always short-run costs as long as a company is active in the market

What are the correlations in a profit-maximization problem?
profit: revenue - total cost
marginal revenue = marginal cost → MR + MC = 0
MR: change in revenue resulting from a marginal increase in output
price-taking firm → MR = output price

What does a marginal cost curve show?
costs are strictly convex → MC increase as output increases → dMC(q)/dq > 0
increase in the output price → increase in profit-maximizing output ωq/ωp > 0
increasing MC function → convex → decreasing returns to scale
flat MC function → linear
decreasing MC function → concave → increasing returns to scale

What are the conditions of optimal production?
q > 0 → p=MC(q) or q = 0
short run: R(q)≥c(q); p≥ac(q) if p>0
production should only continue if revenue at least covers variable costs → fixed costs are already sunk
long run: R(q)≥C(q); p≥AC(q) if q>0
at least break even
What does the individual supply curve correspond to short- & long-term?
short-run: the individual supply curve corresponds to the segment of the MC curve that runs above the average variable cost curve
long-run: the individual supply curve corresponds to the segment of the MC curve that runs above the average total cost curve
What is market supply?
Sum of individual supply quantities of a good; Q = ∑ q

What is the law of supply?
The market supply of a good increases as its price increases

When is a market perfectly competitive?
If all producers and all consumers are price takers
What are the assumptions made in case of perfect competition?
an ordinary good is supplied by identical profit-maximizing firms
production at increasing marginal costs
no barriers to enter or exit market
consumers consider every unit of good identical → products of different firms are perfect substitutes
uniform prices
consumption doesn’t affect market price
When is a market in equilibrium?
if for a given price p, market demand QD equals market supply QS so that the market is cleared
p* → equilibrium price (market clearing price)
Q* → equilibrium quantity (market clearing quantity)
agent’s choices are optimal (no change) & compatible with each other
stable situation
stable choices
every agent is optimized → no reason to change behavior
individual choices add up → feasibility

When is a market imbalanced?
if for a given price p, market demand QD differs from market supply QS so that the market is not cleared
excess demand: p’ < p* → QD > QS; Q’ < Q*
market price is too low to clear the market → price will increase until equilibrium
unmet demand
customers signal they are willing to pay more
excess supply: p’’ > p* → QD < QS; Q’’ < Q*
price too high → can’t sell supply
firms signal they are willing to sell at a lower price
QD = QS → market clearing price

How does the number of firms differ short & long run?
short run: number of firms in the market is fixed
long run: number of firms may change because of entry & exit of firms
additional firms enter the market if this yields non-negative profits
incumbent firms exit the market if they make losses
equilibrium: number of firms in the market is the maximum number of firms that can make non-negative profits
more firms → additive individual supply functions become flatter → intersection with demand function at a lower p value → more competition = selling products for less → more difficult to break even
What is the marginal willingness to pay?
At any quantity Q, inverse market demand p(Q) measures the maximum price that consumers are willing to pay for an additional marginal unit of the good.
utility maximization implies that consumers buy a quantity for which inverse market demand equals market price → p(Q) = p
What is the marginal willingness to accept?
At any quantity Q, marginal costs MC(Q) measure the minimum price that producers are willing to accept for an additional marginal unit of the good.
profit maximization implies that firms produce a quantity for which marginal costs equal the market price → MC(Q) = p
What is competitive equilibrium?
If consumers and producers face the same market price, then inverse market demand equals marginal costs in equilibrium, i.e. at the market clearing quantity Q*.
p(Q*) = MC(Q*) = p*
marginal monetary valuation of market demand
first unit is worth the most → with more units the willingness to pay is decreasing

What is consumer surplus?
Aggregated differences between inverse market demand and the market price

What is producer surplus?
Aggregated differences between the market price and marginal costs
PS = revenue - variable cost vs. profit = revenue - cost

What is total surplus?
Sum of consumer and producer surplus

When is welfare maximum achieved?
traded quantity inverse market demand = marginal cost
Q* → all potential gains from trade are realized

When does welfare loss happen?
traded quantity inverse market demand > marginal cost → not all potential gains are realized
What is the effect of introducing a price ceiling?
p’ < p*; Q’ < Q*; p(Q’) > MC(Q’)
lower cost → less product is sold → welfare loss
makes sense only below market clearing price
producers lost 2 areas → strictly detrimental
consumers gain 1 area & lose 1 area → ambiguous
total surplus is smaller

What is the effect of introducing a price floor?
p’’ > p*; Q’’ < Q*; p(Q’’) > MC(Q’’)
consumers lose welfare
producer surplus increases
willingness to pay exceeds willingness to accept
increased price and limited quantity → loss of welfare for maximum price
e.g. to protect producers of agricultural goods, pharmaceuticals, renting, labor market
similar: cartel, monopolistic market

What is the effect of taxation on welfare?
tax rate t > 0; T = tQ tax revenue
the welfare effects of the tax are independent of whether it is levied on producers (e.g. per unit tax on gasoline or electricity) or consumers (e.g. sales tax)
tax drives a wedge between inverse market demand and MC in equilibrium → t = p(Qt) - MC(Qt)
equilibrium price: MC(p) + t
tax → higher equilibrium price → burden on consumers
willingness to pay is adjusted according to tax

How does the change in tax rate influence welfare?
increase in tax rate → decrease in traded quantity → increase in tax revenue if the tax rate is sufficiently large
higher welfare loss of taxation

When does market failure occur?
When individual optimization of consumer and firms leads to an outcome that is not optimal from a societal (collective) perspective → justifies government intervention
What are properties of a monopoly market?
all consumers are price takers → negligible influence on market price
the monopolist is a price setter
the monopolist’s output choice determines market price
monopolist has market power
the monopolist is informed about market demand but cannot identify individual demands
knows how much consumers are willing to pay given the quantity produced
no price discrimination → charge the same price for everyone
1st degree: personalized pricing → perfect price discrimination
2nd degree: different prices based on quantity
3rd degree: group pricing (e.g. children, seniors)
What are the conditions of monopoly profit maximization?
maximize with respect to output given market demand and total costs
if MR>MC → increase production quantity
MR: market price + price reduction of intramarginal units

When is market equilibrium reached in a monopoly market?
QM = profit-maximizing quantity; pM = corresponding price
monopoly quantity equals market demand: QM = QD(pM)
monopoly price equals inverse market demand: pM = p(QM)

When does welfare loss happen in a monopoly market?
profit-maximizing quantity does not maximize total surplus
not all potential gains are realized
choosing profit-maximizing quantity → price above MC

What is a natural monopoly?
A market where total costs are subadditive in the relevant output range → desired quantity can be produced less costly by a single firm than by two or more firms
e.g. rail network, electricity/gas/water
when fixed costs are very high/demand very small
average total costs of the monopolist are decreasing at any positive output smaller or equal to the quantity where inverse market demand is equal to marginal costs

Why is patent protection necessary?
prevents others from utilizing the invention
if fixed costs are higher for the inventor than for potential imitators → protect inventor from making negative profits
results in welfare loss
e.g. upfront costs of R&D
trade-off between prospective welfare and present welfare
Why is price control used to regulate monopolies?
price ceiling that induces the monopolist to increase output → increase welfare (since change in MR is not linear with output increase)
welfare-maximizing price ceiling → produce Q* where p(Q*) = MC(Q*)
natural monopoly: welfare-maximizing price ceiling → losses for monopolist → subsidization/nationalization → soft budget constraint

When do external effects occur?
Occurs if a choice has an effect on a third-party which is not taken into account by a decision maker because there is no compensation for it
What are external costs?
Uncompensated costs resulting from production or consumption choices that affect third parties.
negative externality
social marginal costs are the sum of private and external marginal costs
private marginal costs: marginal willingness to accept of the firms active in the market → inverse market supply
e.g. waste water disposal, health costs of second-hand smoking

What are external benefits?
Uncompensated benefits resulting from production or consumption choices that affect third parties.
positive externality
social marginal benefits are the sum of private and external marginal benefits
private marginal benefits: marginal willingness to pay of the consumers active in the market → inverse market demand
e.g. honey production → pollination of farm crops, education

What welfare loss occurs in case of negative externalities?
QOpt < Q*

What welfare loss occurs in case of positive externalities?
QOpt > Q*

What is quantity regulation?
decision makers can be forced to choose the welfare-maximizing quantity
requires information on social marginal costs and social marginal benefits
What is corrective taxation?
Pigouvian tax or subsidy
induces decision makers to choose the welfare-maximizing quantity
requires information on external marginal costs and external marginal benefits
e.g. tax for water pollution
What is the purpose of bargaining?
only if property rights of the resource are well-defined
between those affected by the externality and those causing it
choose the welfare-maximizing quantity irrespective of the division of property rights
What is a public good?
neither rival nor excludable
rival: consumption by one individual diminishes the consumption possibilities of other individuals
excludable: individuals can be prevented from consuming the good → can charge for it

When does welfare loss occur for public goods?
private provision of public good → undersupply ← benefits are not taken into account
Q* < QOpt
Free-rider problem: consumers have an incentive to rely on others to provide the public good

What is the Samuelson condition?
welfare-maximizing public-good provision
welfare-maximizing quantity → sum of marginal benefits is equal to marginal costs
public provision of a public good requires information on marginal benefits of all consumers and marginal costs
leads to increased supply and reduced welfare loss
tax → enforce individuals to contribute

What is gross domestic product?
Measure of domestic economic activity in a given period of time that equivalently captures output, income, and expenditures.
Output method: GDP is the market value of domestic production
import → value-added from domestic step → subtract foreign component values
count final product at its respective market price (includes value of intermediate products) - net of intermediate goods produced abroad/intermediate goods produced in previous periods
Income method: GDP is the sum of incomes from domestic production
Expenditure method: GDP is the sum of expenditures on domestic production
What is net domestic product?
GDP - depreciation