1/10
Looks like no tags are added yet.
Name | Mastery | Learn | Test | Matching | Spaced | Call with Kai |
|---|
No analytics yet
Send a link to your students to track their progress
derivative algebraically
limit of the difference quotient
derivative graphically
slope of the tangent line
derivative real world
instantaneous rate of change (velocity)

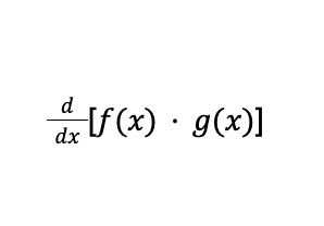
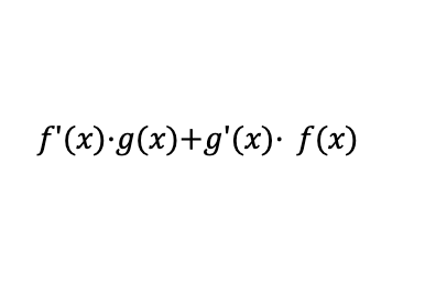
product rule


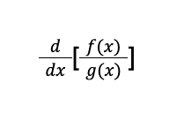
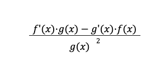
quotient rule


sin rule


cos rule


tan rule


csc rule


sec rule


cot rule
