1/45
Looks like no tags are added yet.
Name | Mastery | Learn | Test | Matching | Spaced | Call with Kai |
|---|
No analytics yet
Send a link to your students to track their progress
Control volume
The volume that identifies the region (or system) of interest
how can you study the fluid flow in and out of the control volume
Determining the boundaries of the system
What is the Euler points of reference
Imagine fluid is flowing within a steel pipe, which has a small window through which you can see
The window is fixed and you watch the fluid going past the window
The fixed window is known as the Eulerian frame of reference
Practically: fix a ‘window’ in space along the system and study the fluid as it crosses that

What is the Lagrange’s frame of reference
Imagine fluid is flowing within a steel pipe, which has a sliding small window through which you can see
The window moves with the speed of flow. You move with the window and watch the fluid moving along the system.
The moving window is known as the Langrangian frame of reefrence
Practically: select a window and move with it along the system; studying the fluid as it travels through the system

What is the integral approach?
The integral approach seeks the average value of the fluid property over a region in space. This approach uses a fixed frame of reference, the Eulerian frame of reference
What is the differential approach
The differential approach seeks a solution to every point within the control volume. Can use Eulerian or Lagrangian frame of reference. Build up a picture of changes to each discrete point within the fluid, using differential equations to all the particles that make up the fluid.
Where should one consider the control volume
One could consider the control volume as left ventricular volume at end of diastole, just before systole/ejection begins
Conservation of mass
Mass must be conserved within the arterial system, and this means the rate of increase of mass in the control volume will be equal to the net change of mass into the control volume
Conservation of mass equation
𝑑𝑚/𝑑𝑡 = 𝑚𝑖𝑛̇ − 𝑚𝑜𝑢t (m=mass, t=time)
Mass equation using density, cross-sectional area and distnace
m=pAL (p=blood density, A=cross-sectional area, L is distance
What can be considered if the density of fluid is constant?
As blood can be considered an incompressible fluid, the mass conservation equation can be written in terms of volume
mass conservation equation in terms of volume
DV/dt = Vin-Vout (volume is V=AL (area*length)
Mass flow rate equation
dm/dt = (pAdL/dt)in-(pAdL/dt)out (where flow velocity is U=dL/dt)
can also be written as
dm/dt=(pAU)in-(pAU)out
Mass flow rate equation in steady state conditions (dm/dt=0)
(pAU)in=(pAU)out
What must the average flow in the pulmonary arteries equal
The average flow in the pulmonary arteries must equal the average flow in the systemic arteries because, on average, the volume of blood in either ventricle is constant.
What is N2L
Force is proportional to the rate of change of momentum (F=dM/dt, where F is a force vector and dM represents the momentum vector)
equation for momentum
mass*velocity (M=mU, where m is mass and U is velocity)
How to derive F=ma
F=U(dm/dt)+m(dU/dt), when mass remains constant over times, dm/dt=0 and du/dt=a, where a denotes acceleration. This leads to F=ma

What happens when the momentum changes
The momentum changes when forces are applied to a body and so the conservation of momentum is essentially a representation of the changes in momentum in responses to forces.
What is the rate of momentum in a control volume equal to?
The rate of change of momentum in a control volume is equal to the net rate at which momentum is converted into the volume plus the net force acting on the volume
What does the conservation of momentum implies for steady flows that are time independent
(Mout)-(Mout)= Forces acting on fluid in control volume (CV)
This formulation is only true for steady flows that are time independent (no acceleration or deceleration).

What is the conservation of momentum when flow is time dependent
if the flow is time-dependent, the rate of change of momentum in the control volume must be taken into consideration:
(Mout)-(Min)+(Rate of increase of momentum within CV)=Forces acting on fluid in CV
What are the forces acting on the blood in the CV?
a. the pressure forces acting on the blood at the ends of the CV
b. the pressure forces from the walls of the arteries on the blood in the CV, which can be considered as:
The force applied to the wall externally (such as weight of the tissue around the wall
The tethering force, which are the forces that old the arterial segments in place
What is the conservation of momentum when eliminate the force applied on the wall
Given that the force applied to the wall externally is very small, for simplicity, we eliminate it and consider only the tethering force. Assuming the flow is not time dependent
(Mout)-(Min)=(Pressure force on the blood at the ends of CV) + (Pressure force from walls on blood)
What is N3L when applied to pressure from force of blood
Considering N3L, the force applied by the blood on the walls is equal and opposite in direction to the forces applied by the wall on the blood
what is the resultant force acting on the walls
Since the walls are in equilibrium the resultant force acting on the walls must be 0
(resultant force on walls) = (pressure force of blood on walls) + (tethering force)=0
What is the tethering force?
Tethering force = -Pressure force of blood on walls
= Pressure force from walls on blood
= (Mout)-(Min)-(Pressure force on ends of blood in CV)
What is the steady Bernoulli equation
P=1/2pU² (P is the pressure, p is the density of the fluid and U is the velocity
What is the general form of the Bernoulli equation
(p + pu² /2 + pgz) _1 =(p + pu² /2 + pgz) _2

What is the Modified Bernoulli Equation
∆P = 4 U²
What is the modified Bernoulli equation used for
To commonly estimate the pressure difference between two chambers of the heart or between a ventricle and an artery using the measurement of velocity of a regurgitant (leaking) or stenotic (restricted) valve
What is the issue with the modified Bernoulli equation
The LHS and RHS units are not equal and therefore are not dimensionally correct.
The equation is accurate if P is measure in mmHg and velocity in m/s.
This is because the density of blood and 1 mmHg. If we consider the original Bernoulli equation and use P in mmHg, and the velocity the Bernoulli equation can be expressed as.. see image

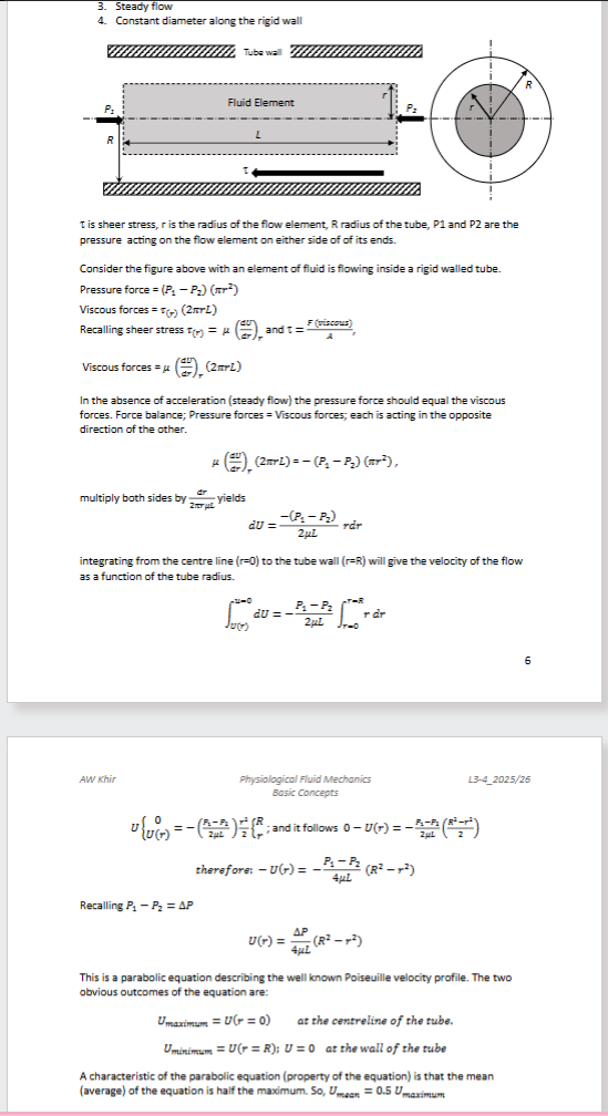
What are the Poiseuille Flow assumptions
Fluid is homogenous
Fluid is Newtonian (viscosity is constant)
Steady flow
Constant diameter along the rigid wall

What are the equation for the pressure forces in an element of fluid is flowing inside a rigid walled tube
Pressure force =(P1-P2)(pi * r²)
What are the equation for the viscous forces in an element of fluid is flowing inside a rigid walled tube
Viscous forces = 𝜏(𝑟) (2𝜋𝑟𝐿)
or
Viscous forces = 𝜇 (𝑑𝑈/𝑑𝑟 )𝑟(2𝜋𝑟𝐿)
What are the equation for the recalling shear stress in an element of fluid is flowing inside a rigid walled tube
𝜏(𝑟) = 𝜇 (𝑑𝑈/𝑑𝑟 )𝑟 and 𝜏 = 𝐹 (𝑣𝑖𝑠𝑐𝑜𝑢𝑠)/𝐴
What is the pressure force equation in the absence of acceleration
In the absence of acceleration (steady flow) the pressure force should equal the viscous forces. Force balance; Pressure forces= viscous forces; each is acting in the opposite direction of the other
𝜇(𝑑𝑈/𝑑𝑟 )𝑟(2𝜋𝑟𝐿) = − (𝑃1 − 𝑃2) (𝜋𝑟2)
How to derive the well known Poiseuille velocity profile
State assumptions
Draw diagram
Pressure forces=Viscous forces
Multiply both sides by 𝑑𝑟/2𝜋𝑟𝜇𝐿
Integrate from the centre line (r=0) to the tube wall (r=R) will give the velocity of the flow as a function of the tube radius
Recall that P1-P2=∆𝑃

What are the two obvious outcomes of the Poiseuille velocity profile
Umax=U(r=0) at the centreline of the tube
Umin-U(r=R); U=0 at the wall of the tube
What is a characteristic of the parabolic equation (property of the equation) of the Poiseuille velocity profile
A characteristic of the parabolic equation (property of the equation) is that the mean (average) of the equation is half the maximum.
So Umean=0.5Umaximum
What is the boundary layer
Where the flow velocity goes from zero at the wall to the maximum velocity at the centre line.
One of the consequences of the presence of boundary layers near the wall of the blood vessel is that there is always a velocity profile (Poiseuille profile) across the lumen of the vessel. Therefore, using the peak velocity in the vessel U to calculate the flow Q=AU will always result in an over-estimation
What is the no-slip condition
Regardless of how large the Re number, there will be a region near any way where viscosity dominates, and the velocity goes to zero at the wall. The relative velocity of a fluid always goes to zero at a solid/fluid interface (the arterial wall). If the arterial wall moves with distending and extending with every cardiac beat this is as its relative.
What is the Reynolds number
The ratio of inertial forces to the viscous forces
What is the equation for Reynolds number
𝑅𝑒 = 𝜌𝑢𝐷/𝜇
p=density
U=velocity
D= Diameter
u=viscocosity coefficient
What are typical values of Re numbers in Arteries, Aortic Valve, Mitral Valve.
see image

What is equation to develop the boundary layer length
𝐿 = 0.06 𝑅𝑒𝐷
D= Vessel Diameter
As the flow enters a pipe, full boundary layers are not formed immediately. It takes the flow some distance to develop the boundary layer