1/40
Looks like no tags are added yet.
Name | Mastery | Learn | Test | Matching | Spaced | Call with Kai |
|---|
No analytics yet
Send a link to your students to track their progress
Why is studying product differentiation important, Bertrands model? Policy?
Not directly related to competition policy, it is indirectly related
Very difficult to see real world markets that fit Bertrand model. And where products are homogenous
Bertrand said, as they sell identical products, even if there is a tiny price difference all consumers will go to the lowest priced firm, very extreme. Assumptions as Most markets we have preferences over firms, service, locations are examples
In the hotelling model we can answer both questions. Extra reading at the end of the lecturer, hint towards how price competition impacts product differentiation
Unilateral effects of a merger is when two firms come together to create on economic entity and the firms because of that sort of reduction in competitive pressure, they increase prices.

Go through the assumptions of endogenous prices in the hotelling framework (4)
Firms compete on prices and locations are exogenous. Demand is equal to revenue.
Prices are so high the consumers in the middle might not buy, but here they will just marginally buy
Consumer utility - work out the firm demand, then demand we can work out profits, and from profits we work out the best response and lastly Nash equilibrium
Utility of consumer located at theta from buying from firm I at price pi. V is utility of consuming the product, the same regardless buying from different firms. Pi is the price, this is endogenous and is set by the firm. kD^2 is the dis utility from travelling to the shop, quadratic transportation costs.
Profits = price * demand
K is the variable to measure product differentiation, the higher the more differentiation. K increase the transportation costs of consumers, therefore they are more likely to buy from their closer store. Strong brand preference to the store which is closer to them

How does the Utility/beach diagram look with quadratic functions
Bottom, the market with the firms located at the ends and utility on the vertical axis.
Shows the utility from buying from different firms. Located at the store, they don’t have to pay any travel costs.
Concave distance functions, the extra distance away will be more impactful the further away they are, e.g. look at the gradient, the gradient is greater the further away you are from the store
Marginal consumers, indifferent between the two firms. Last week they would lie in the middle, this isn't the case this week due the prices differences

What is the condition for the marginal consumer and what store it will buy from and the equation for the marginal consumer?
A has greater U than B, subbed in. Shows that the price differential is greater than the transportation costs for firm A, as the initial assumptions is Utility from A is greater than utility from b.
Last week price exogenous and both set at the same prices, so last week the only thing which was important to consumers was the transportation costs and that was the reason why the consumer was located in the middle. Price differ, so the consumer located at the middle might have a strict preference of buying from one and not the other. At the middle point, they will incur the same transportation costs, so the RHS will be equal to 0 and so the firm is definitely want to travel and buy from firm A if firm A's has lower prices. We could have a situation where a consumer is located very close to one firm but end up buying from the firm at the other end, but this is an extreme example. Delivery prices, the further away the greater the costs.
The marginal consumers, set the utility equal to each other to get to the 1/2 + Pb-Pa/2k, which is the expression for the marginal consumer
To find the marginal consumers - set the utility equal, expression of the marginal consumers is the implication

What is the impact on the utility/beach diagram if firm A located at 0 chnages their price
Firm A lowers it's price. Shows the impact of lowering prices, utility of all consumer that buy from firm A increases. Parallel shift, for how much prices have decreased. Changes the position of the marginal consumer. Prices can become so low, all consumers would prefer A over B (p''a).
Utility functions can be negative as well. Below the X axis

How does the demand work with the marginal consumer
Middle line, when the prices are similar (the marginal consumer), its demand is going to be given by the marginal consumer.
Top Line - firms A price is much lower relative to firms B
Bottom line, if A's price is really higher
Shows the level of demand

What are the properities of demand when p increase and what are the cross elastcity of demand formula, hat happens as K increases to elasicity
Firm A demand is the marginal consumer and B demand is 1 minus the marginal consumer, shows a reflection of demand, A's demand is increasing in its rivals price and decreasing in its own price, same for B's demand.
Differentiation by pi shows the magnitude of the decrease/increase in demand. Shows the transfer of demand as prices change between the two firms when prices of the own firm is raised or the rivals price raises.
Demand function to shows the x elasticity of demand - responsiveness of firm I demand due to an increase of firm j's price.
To get to the final equation, sub in values from the slide to simplify. Sub in qi and the differentiation. We can see that differentiation increases, prices increase and we can understand this from the x electivity of demand
X elasticity is a function of the parameter K, As k increase in the market the x elasticity reduces. Product D, firms I demand is less responsive to firm j price, this is why prices go up as k increases. If a firms demand is less responsive to their rivals price changes, the firms is less worried about being under cut, as if it gets undercut, less demand will go to its rivals. Second reason, when undercutting its rivals it will receive less demand from its rival. These two reasons price competition is less intense and prices will be higher in the market

How does a price fall in A impact the marginal consumer
Price changes from pa to p'a. As it reduces it prices, lead to a parallel shift in the utility function as we can see it generate a new marginal consumers at the black arrow. This level of product differentiation, firms A demand is moving from the old to the new marginal consumer all due to the price change.

What happen if we have a idnetical chnage in price of A, but the K parameter also increases, what is the effect in PD
Everything is constant from the last slide but K increases, product differentiation. Where the individual is located at the store, they don’t include the parameter K, so they are unchanged, constant. Increase in K will make the utility function steeper. The same price decrease as before pa to p'a is identical as the slide before. Black arrow is the previous marginal consumers, the new marginal consumers when product differential is higher, it captures less of the rivals demand than beforehand. Firm A has less incentive to undercut its rivals, as the rivals consumer have a greater preference for their rivals. As it doesn't want to undercut as much, the rival will set a higher price.

Answer

What are the Nash equilibrirum price conditions
Faces a trade off when increasing its prices. P increases, profits will increase by all the units it sells but on the other hand, it will lose some of its sales to its rivals.
Condition A: Don't change your price "by a little"
This is the "business as usual" zone. You are choosing to share the market, meaning your price is high enough ($p_i \ge p_j^* - k$) that you aren't trying to steal your competitor's most loyal die-hard fans.
This condition means that as long as you are sharing the market, your current price is already perfectly optimized. Tweaking it up or down by $0.50 won't increase your total profits. You've hit the ceiling of what you can make in the normal, shared market.
Condition B: Don't change your price "by a lot"
This addresses the temptation of the nuclear option.
It means the business has done the math and realized: "Yes, if I slash my prices aggressively (**$p_i < p_j^ - k$**), I will successfully steal every single customer from my rival. However, I will have to cut my prices so drastically to overcome their brand loyalty ($k$) that my profit margins will be destroyed. I will end up making less money overall."*
Profit formula: This translates to a fundamental business concept: Profit = Price * Market Share.
The $p_i$ on the outside represents the price the business sets.
Everything inside the parentheses represents the slice of the market they capture. It assumes they naturally start with half the market ($\frac{1}{2}$), and then either gain or lose customers depending on how their price compares to their competitor's price ($p_j$).

How do you get the best response functions.
Will max profits once this trade off equals 0, then rearrange to get it in terms of its best response function.
It tells us as its rival raises its prices firm I, is going to want to increase its price.

What are the best response functions
Firm A's price on Y axis and firm B's price on the x axis, and 45 degree line is the same price. Purple lines are the best response functions. When B sets a price equal to 0, A's best response is to set a price of k/2 and as firm b increases its firm they will also want to increase their prices. The intercept of both BR's is the Nash equilibrium, if firm b sets a Pn price, firm a can do no better than set the price to pn as well, it maximises profits by setting price at Pn and vice versa.
Purple dot - both playing their best response functions, a sets a Price of pn, b can't do any better than setting pn.

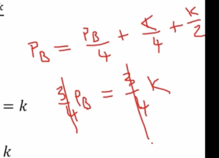
How do you get the equilibirum prices
Find the interception of the two best response functions by subbing one into another.
Solving the Puzzle (Middle)
Because both businesses are playing the exact same game, you can use algebra to mash these two formulas together. This is what the "Substitute..." section is doing.
You don't need to worry about the specific algebra steps. The important part is the result: when the math clears, it turns out that $p_B = k$ and $p_A = k$.
This means that for "Condition A" (just tweaking prices a little bit), the ultimate sweet spot is for both businesses to simply charge a price that is exactly equal to the brand loyalty factor ($k$).
3. Checking the "Nuclear" Option (Bottom)
Remember "Condition B" from the last slide? That was the scenario where a business considers slashing its prices massively to steal 100% of the competitor's customers. The slide does a quick logic check to see if that's a smart move here.
To steal everyone, you have to price your product below your competitor's price minus the loyalty factor ($p_j - k$).
If your competitor is charging $k$, the math becomes: $k - k = 0$.
Therefore, to steal all their customers, your price ($p_i$) must be $0$ or less.
As the slide dryly notes: "This is clearly not profitable." You would have to literally give your product away for free (or pay people to take it) to overcome the brand loyalty.

What do prices equal in the example above

What are the properties of the nash equilibrium
Solved for equilibrium and shown that the equilibrium price is a function of the parameter k, product differentiation. Higher K, higher the prices. Firms are therefore less worried about being undercut by their rivals as less of its consumers will go to its raise and when the firm is thinking about undercutting its rival, its going to be getting less from its rival. SO they're less worried about losing consumers, they're less worried by trying to take consumers and that allows prices in the market to rise. AT the extreme it collapses to Bertrand model, when no product differentiation.
Profits:
Simply k/2, then finally we need to make sure all consumers will buy int eh market, so the marginal consumer located in the middle of the firms are going to get a non negative utility

WHat happen if a monopoly owns both stores, where will they want to locate?
Stores are owned by a monopolist, set the price to such a level that the consumer is indifferent at the midpoint is indifferent between buying and not buying. Ensures everyone buys and do it at the point where the marginal consumers gets 0 utility. If they set a price higher, the profits will fall. They want to ensure that everyone buys.
Theta Hat, locates in the middle as the marginal consumer, sub in 0.5. Sets the utility equation to 0.
Also k is equal to the price. As K increases, the competitive price increases, but here the monopoly price falls. The difference between the two gets smaller as the product differentiation increases.
Unilateral effects - the difference between the prices is larger when lower levels of differentiation, shown when k = 4 and k = 6

What is the impct on unilateral effects

What is the BR graph with a monopoly price on

Symmetric Differentiation

Continued

what is the br function in this example

Maximum differentiation

Topic 4
What is collusion and how is the agreement reached and what policy try to prevent this?
Combine all three definitions to have the best one, and mention time as it is an important element.
Price levels, output and not competing in certain markets are all ways (don’t compete in my market I wont in yours) to collude.
Types: Explicit - firms directly communicate with each other to get an agreement, Ceo's directly talking to each other is an example
Tacit - no communication, form agreement without talking, perhaps through trail and error (raise prices one day to see if the rivals will follow)
Policy: European 101 and Chapter 1 at the Uk level. Only prevents explicit collusion, as it is a lot easier to prove in a court of law, hard evidence (emails). Tacit, there is no hard evidence, only can tell through the level of prices, easy to make mistakes and cause greater issues for the wider economy. A policy to prevent tacit is merger control.
Coordination effects are essentially collusion effects

Number of cartels in Euorpe and the size of fines over time?
How common is collusion? Focusing on explicit collusions.
At the start of the periods the European commission noticed about 10 and the detecting increased over time, slight decline after 2009, also covid could impact the results here.
Viewing in a good light - the commission got better at detecting cartels
Bad view - perhaps the commission was as good at detecting but there are more cartels to detect and why it increased, the proportion might've decreased.
But likely to be a good view, as in 1996, new policy called the leniency programme, hand over information to get out with a smaller punishment, so the increase in detecting cartels is definitely a good thing. The fines also show this effect, increased hugely, average fines shown on the slide. The average fine per cartel is shown on the slide. Increased by a factor of ten from 95 to 15. As fines are largely, the incentive to collude decreases and shows the decrease on the graph towards the end.

What are the collusive incentives we saw from Topic 3 and the two conditions needed for collusion
Diagram from last week. Two firms, symmetric and compete on prices. Purple lines are the best repones functions, gives us the price that maximise the profit given the price of the rival. Competitive price is the interception of the two best response functions. If the firms interact, they notice they can do better by increasing prices to the pm level and thus incur higher profits.
Shows a joint/collective incentive not to compete but to collude. If they agree to set prices above competitive level, they also have the incentive to cheat to get all of the demand in the short term. Pd is the price of cheating if firm b sets a monopoly price, deviation from the optimum.
Two conditions need
Need a punishment if one firms deviation to prevent the incentive of deviations, normally price wars. Need to be able to monitor the rivals behaviour

What is an example of tacit collusion
Increase information for customers, the idea behind this is that if consumers have better information they would be able to shop around for the best prices and create more competition. They found that firms would offer individualised and discounts went against their policies of promoting market transparency so they collected the prices and published them.
By publishing the information on prices, the competition council gave firms the information to collude. Was definitely collusion as they wasn't any price increases in other regions
This information transparency approach was abandoned afterwards

Explain he infinitely repeated game approach?
A model to capture these incentives
Stream of profits from colluding vs deviating - red lines is deviating and the final green arrow is going back to the collusion approach.Pp is a punishment price - price war

What are the conditons for which firms can sustain a collusive price abpve the nash price
Will set collusive price if other firms have set the collusive price in the past, if they haven't played the collusive price they will play the Nash equilibrium price.
Pc - collusive

What is the PV of collusive profits vs deviation profits
Will get profits of colluding in every period, profits in recent period will be more value than profits in later periods, as they can be invested. Future profits will therefore be discounted.
Period 2 profits are less than period 1 profits

What is the condition for collusion with PV’s, rearrange for the discoutn factor and what does this imply about the discoutn factor
Collusion is greater than the profits of deviating and entering a price war
Subtract pie c and subtract the summary term to the other side
How much profit is lost in each future period * the present value of all future periods on the LHS and the RHS is the short term benefit.
If the long term punishment is harsh enough to prevent deviation, collusion will occur.
Ii) the critical discount factor (RHS theta*), shows us tactic collusion is sustainable, if they are sufficiently patient, patient for future profits.

What is the assumptions around the model for collusion
Change the number of firms to begin with
Bertrand's model, n firms in the market, sell homogenous product and firms are symmetric and compete on prices. In a competitive equilibrium prices are equal to marginal costs and the firms will be making zero economic profits
Per period profits:
Collusive. Dividing the monopoly profits between the number of firms, equally.
Pie d is the monopoly price, will marginally undercut the price from the Bertrand's assumption, will get all demand from a small price deviation, like 0.01p
Punishment = profits equal 0, p = mc
Collusion sustainable when the critical discount factor is equal to 1 - 1/n. Is a function of the number of firms in the market, as the number increases the critical discount factor gets closer to 1 as 1/n gets closer to 0, firms have to be more and more patient as the number of firms increase as it converges to 1 as n increases. Collusion more difficult when there are fewer firms in the market
Long term punishment, as the number of firms increase, the punishment is getting weaker because the monopoly profits is divided across more of them. The benefit of colluding falls.
Short term benefit, the collusive profits decrease the number of firms increases, so the short term gain is increasing as the collusive figure is reducing as n increases.
Both together, as the number of firms go up, the possibility of collusion decreases as the share of monopoly profits falls. Collusion to occur when there is a small number of firms.

What are the assumptions for a Asymmetric duopoly
When they set the same price for whatever reason, firm a market share (s) is going to be equal to 0.5 or more. A will always be the biggest firm in the market. B will be the smallest.
Four per period profits:
Punishment profits = 0
Collusive - S is the market share
Deviation - Betrand's- marginally undercut price, will get very close to the monopoly profits.
As firms become relatively less symmetric it becomes harder to continue colluding. Both of the intuition is based on firm A punishment and benefit of deviating. As s increases the long term punishment increases and the short term benefit falls, gets closer to 0. Firm A punishment increased and benefit falls, firm a wants to collude more as it gets larger.

What are the implication of the asymmetric duopoly
Firm B's incentive need to be considered as well. The punishment of firm b, as s increases, so firm a increases in size and b gets smaller, s will get closer to 1 and the punishment becomes smaller and smaller, so firm b is less worried about the punishment as it gets smaller as its rival gets bigger. Benefit, as s increases, s will increase, so the short term benefit from deviating is also increasing as firm B gets smaller.
Firm b wants to collude less as firm A gets bigger.
Looking at the critical discount factors, we have two different ones as we are looking at two different firms. So if we re arrange and get it in terms of the critical discount factor we find that for firm A 1-s and for B it is S. From the assumptions we know that S is greater than or equal to a 0.5, so the critical DF for B will be binding so it will be satisfied for both firms only if its satisfied for firm B. As s increases, firms have to be more patient, harder to sustain.
Two different critical discount factors. B CDF is more binding. As s increases, they need to be more patient to collude, harder to sustain.

What evidence is there for cartels and who showed this?
Collusion to occur when there is a small no of firms and relatively symmetric. Data from 1990 to 2008
S1 - market share of the largest firm in the market and s2 is the second largest firm in the market. Orange dots are the detected cartels over the period. S1:100 and S2:0 is a monopoly point, moving down the green line from right to left is the duology line where the market share of the largest plus the market share of the second largest equals 100%, from bottom left to top right is a symmetric line, where the market share of the largest firm is equal to the market share of the second largest firm. Where the two green lines intercept, this is a duopoly. A symmetric Tropology will be at roughly 33% on the bottom left to top right green line.
According to the theory, we should detect cartels around the intercept of the two green lines as there are only two firms in the market and they are relatively symmetric. Some do fall here, but also a number of cartels that don't fall here. Like the extreme, nearly a monopoly situation. Some cartels occur when the market shares of the largest firm is small, which could indicate a large no of firms in the market, but despite this fact, we can see that they still have decide to form a cartel. When counters the theory we have just learnt.
How does this occur, opposite to the theory.
Sample selection bias - not showing unobserved cartels and only see the cartels which are easy to detect and where they are different to detect, e.g. the interception of the green lines.
Only focusing on explicit collusion, nothing about tacit collusion. When relatively symmetric they don’t need to communicate to collude and as not illegal it is not picked up on.

Answer

What is the impact on collusion with differentiation
Per period profits are impacted by product differentiation, by using the hotelling framework (at the end of the slides)
A situation where the per period profits are given by the three outcomes.
Collusive not a function of PD
Deviation, profits are going to be decreasing in product differentiation - so as products become more differentiated, its going to be less profitable for the firms to deviate. This is because as they become more differentiated, the consumers are going to be more sort of loyal to the rivals. Harder to attract rivals consumers
Nash equilibrium profits are increasing for the same reason as last week.
The constraint - long term punishment x short term gain. If the punishment is great than the short term benefit from deviating the firms will collude.
There is an ambiguous effect as the Nash equilibrium profits increase so this makes the longer term punishment weaker. As the punishment is weaker it makes collusion more difficult to sustain. Short term gain, as PD increases the short term gain is going to get smaller, because the firms will get less profits from trying to attract consumers away from rival firms who are more loyal. And this will make collusion easier to sustain. This is an example where changing factors has opposite effect on these two parts, one hand the punishment is weaker but on the other it makes short term benefit smaller, which is better for the chances of collusion. If PD increases collusion will entirely depend on the size of these effects and which one dominates.
Policy makers don’t thing it is ambiguous, they have a clear thought collusion is much more likely where PD doesn’t arise, as agreeing to the agreement is much easier if the product ae similar.
Cross effecting impacts
Collusion much more likely where product differentiation doesn't arise

Collusion in the Hotelling frameowrk

Effect of PD in the hotelling Framework