RPI ASTRO 2050 EXAM 1

5.0(1)
studied byStudied by 21 people
5.0(1)
full-widthCall with Kai
GameKnowt Play
New
learnLearn
examPractice Test
spaced repetitionSpaced Repetition
heart puzzleMatch
flashcardsFlashcards
Card Sorting

1/60

flashcard set

Earn XP

Description and Tags

people not included

Study Analytics
Name
Mastery
Learn
Test
Matching
Spaced

No study sessions yet.

61 Terms

1
New cards

Spring Tide

Occurs when the tidal bulges produced by the Sun and Moon are alligned

2
New cards

Neap Tide

Occurs when the tidal bulges are at right angles

3
New cards

Synodic Period

the time it takes a planet to return to the same position in the sky, relative to the Sun, as seen from the Earth

4
New cards

Conjunction

the planet is in the same direction as the Sun (as seen from Earth)

5
New cards

Opposition

the planet is in the opposite direction from the Sun, as seen from Earth

6
New cards

Inferior Planet

the distance from the Sun is smaller than the Earth-Sun distance

7
New cards

Aphelion

the point in a celestial body’s orbit where it is farthest from the sun

8
New cards

4 Terrestrial Planets

Mercury, Venus, Earth, Mars

9
New cards

4 Jovian Planets

Jupiter, Saturn, Uranus, Neptune

  • more massive & larger radii, lower density

  • faster rotation periods, many moons, all have moons

10
New cards

Gas giants

hydrogen, helium

11
New cards

Ice giants

water, ammonia, methane

12
New cards

What are the five confirmed dwarf planets in our system?

Ceres, Pluto, Eris, Makemake, Haumea

13
New cards

Facts about Dwarf Planets

  • less dense than terrestrial planets, more dense than giant planets

  • Mostly in Kuiper Belt and Beyond (except Ceres)

  • Have not “cleared the neighborhood”

14
New cards

Planet

Celestial body in orbit around the Sun, has sufficient mass for its self-gravity to overcome rigid body forces so that it assumes hydrostatic equilibrium (near-spherical shape), and is large enough to have cleared the neighborhood around its orbit of planetesimals

15
New cards

Dwarf Planet

like a planet except it has not cleared the neighborhood around its orbit of planetesimals

16
New cards

Small solar system bodies

orbits the sun but not spherical

17
New cards

Moon

a natural celestial body that orbits a planet, dwarf planet, or minor planet

18
New cards

Rotation axis tilt

23.5o

19
New cards

Tropic of Cancer

largest latitude for the Sun to be overhead June solstice, Summer at the Northern Hemisphere

20
New cards

Tropic of Capricorn

lowest latitude for the Sun to be overhead during the year, December solstice

21
New cards

Lines of Longitude

lines that connect the north and south poles

22
New cards
<p>Oblateness</p>

Oblateness

a measure of how squashed a planet is

23
New cards

Right ascension

measured in hours-minutes-seconds (24hrs/360o

24
New cards

Declination

Measured in degrees north or south of the celestial equation along hour circle

25
New cards

Sidereal Period

the time it takes a planet to complete one orbit of the sun, as seen from the stars

26
New cards

Sidereal day

the time it takes the Earth to spin once on its axis

27
New cards

Tropical Year

365.242 days

  • the time it takes from one winter solstice to the next

  • important to know for same weather patterns

28
New cards

Sidereal year

365.256

  • time it takes for Earth to go around the Sun once

  • important for astronomers to know when you are the same direction in the sky

29
New cards

Solar day

the time between consecutive times that the Sun is as high in the sky as it gets, is 4 minutes longer than a sidereal day

30
New cards

Direct orbit

same direction as the Earth’s orbit (counterclockwise)

31
New cards

Direct rotation

same direction as the orbit

32
New cards

Retrograde rotation

direction of orbital angular momentum and spin angular momentum vectors are more than 90 degrees apart

33
New cards

Ecliptic plane

the plane of the Earth’s orbit (and all the other planets)

34
New cards

Superior Planet

the distance from the Sun is larger than the Earth-Sun distance

35
New cards

Perihelion

the point in a celestial body’s orbit where it is closest to the Sun

36
New cards

Quadrature

there is a 90 degree angle between the sun and the planet, as seen from the Earth

37
New cards

Elongation

the anger from the Sun to the planet (as seen from the Earth)

38
New cards

Comets

dirty snowballs of ice and dust

  • highly eccentric objects that come close to the Sun

  • short-period comets: P < 200 yrs

    • long-period comets: P up to > 10^6 yrs

39
New cards
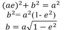
<p>Kepler’s First Law</p>

Kepler’s First Law

the orbit of each planet is an ellipse with the Sun at one focus

  • semi-minor axis depends on semi-major axis and eccentricity

<p>the orbit of each planet is an ellipse with the Sun at one focus</p><ul><li><p>semi-minor axis depends on semi-major axis and eccentricity</p></li></ul><p></p>
40
New cards

Kepler’s Second Law

The radial vector to a planet (from the Sun) sweeps out equal areas in equal areas of time

<p>The radial vector to a planet (from the Sun) sweeps out equal areas in equal areas of time</p>
41
New cards

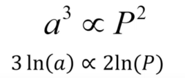
Kepler’s Third Law

The squares of orbital periods of the planets are proportional to the cubes of the semi-major axes of their orbits

<p>The squares of orbital periods of the planets are proportional to the cubes of the semi-major axes of their orbits</p>
42
New cards

Virial Theorem

For a stable, self-gravitating, spherical distribution of equal mass objects, the time-averaged total kinetic energy of the objects is the negative of one half the time averaged total gravitational potential energy

2K + U = 0

43
New cards

Center of Mass 

knowt flashcard image
44
New cards

Blackbody

an optically dense object that is a perfect emitter and absorber of radiation

  • do not have spectral lines in their spectra

45
New cards

Kirchhoff’s Rules

  1. a hot an opaque solid, liquid, or highly compressed gas emits a continuum spectrum

  2. a hot, transparent gas produces a spectrum of emission lines. the number and position of these lines in the spectrum depend on which elements are present in the gas

  3. if light with a continuum spectrum passes through a transparent gas at a lower temperature the cooler gas causes the appearance of the absorption lines. Their position in the spectrum, their strength, and their number depends on the elements in the cooler gas

46
New cards

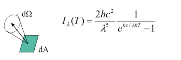
Planck’s Law

the energy radiated per second per unit wavelength per unit solid angle, in a given direction, from a surface which has a unit area perpendicular to the direction emission is called the monochromatic specific intensity

<p>the energy radiated per second per unit wavelength per unit solid angle, in a given direction, from a surface which has a unit area perpendicular to the direction emission is called the monochromatic specific intensity</p>
47
New cards

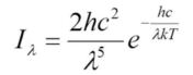
Wien distribution

approximation of Planck’s Law for low temperature, short wavelength

<p>approximation of Planck’s Law for low temperature, short wavelength</p>
48
New cards

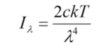
Rayleigh-Jeans

approximation of Planck’s Law for high temperature, long wavelength

<p>approximation of Planck’s Law for high temperature, long wavelength</p>
49
New cards

Wein’s Law

estimate of the peak of distribution

<p>estimate of the peak of distribution</p>
50
New cards

Blackbody Flux

knowt flashcard image
51
New cards

Lunar Eclipse

when the Moon moves into the Earth’s shadow, causing the Moon to be darkened

52
New cards

Solar Eclipse

when the moon moves to be in between the Sun and Earth, aligned with the sun-earth plane

53
New cards

What causes tides?

The side of the Earth towards the Moon is closer than the side away from the Moon, and thus has a larger acceleration due to the Moon’s gravity

<p>The side of the Earth towards the Moon is closer than the side away from the Moon, and thus has a larger acceleration due to the Moon’s gravity</p>
54
New cards

Why is the Earth slowing down?

the moon pulls on the Earth’s tidal bulge, slowing the Earth’s rotation. The angular momentum from the Earth’s spin is transferred to angular momentum of the Moon’s orbit (the moon is getting further away)

<p>the moon pulls on the Earth’s tidal bulge, slowing the Earth’s rotation. The angular momentum from the Earth’s spin is transferred to angular momentum of the Moon’s orbit (the moon is getting further away)</p>
55
New cards

Tidal Locking

since there is friction on the earth, as the length of a day is shorter than the length of month, the tide is swept ahead of the orbit of the Moon. (THERE IS MORE I DIDNT FINISH THIS)

56
New cards

Roche Limit

a satellite cannot approach its primary planet too closely or stray too far without being ripped apart by tidal forces

<p>a satellite cannot approach its primary planet too closely or stray too far without being ripped apart by tidal forces</p>
57
New cards

Hill Radius

if a moon is orbiting a planet, and that planet is orbiting a star, there is a maximum distance the moon can be from the planet before the moon is ripped away from the planet and starts orbiting the star instead

<p>if a moon is orbiting a planet, and that planet is orbiting a star, there is a maximum distance the moon can be from the planet before the moon is ripped away from the planet and starts orbiting the star instead</p>
58
New cards

Stellar streams

tidal streams of stars that get pulled out of a gravitationally bound system as it approaches the Roche limit

59
New cards

Rayleigh Criterion

Two peaks can just barely be distinguished from each other when one of the peaks lies in the minimum of the second peak

60
New cards

Flux

the energy per time per unit area passing through a real or imaginary surface

61
New cards

Luminosity

the energy per time produced by an object. (This has the same units as power. Power is a more general term meaning energy per time. Luminosity is usually used for a source that is the source of electromagnetic radiation.)