1/21
Looks like no tags are added yet.
Name | Mastery | Learn | Test | Matching | Spaced | Call with Kai |
|---|
No analytics yet
Send a link to your students to track their progress
Regarding frontier growth, how has GDP per capita in the US changed over time?

What is a key characteristic of frontier growth?
Steady, sustained exponential growth for the last 150 years
Which examples of modern economic theories consider frontier growth?

What do we know about the modern era of economic growth?

How have growth rates changed over time?

What does growth accounting aim to do?


How do we obtain output per worker?


What does the log differentiation w.r.t time give us?


What is the only unknown parameter? How do we obtain the rest of them?


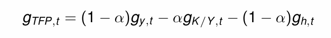
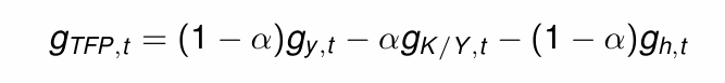
How do we rearrange for TFP growth?


What is the LHS known as?
Solow-residuum

What can we interpret from the growth accounting for the US?

How have factor shares changed over time?
Roughly constant and only started changing two decades ago


Using the production function and assuming perfect competition, how do we denote the labour income share?


How do we denote the capital income share?

What factors might have caused the shifts in factor shares?

How has educational attainment changed over time?

How has the supply of skilled labour relative to unskilled labour changed over time? How does it relate to the skill-wage premium?

How has investment into R&D changed over time?

How has patents issued changed over time?

What is the issue with the growth of patents and economy growth rates?

If we assume perfect competition, why is investment into R&D by firms incompatible?
