1/9
Looks like no tags are added yet.
Name | Mastery | Learn | Test | Matching | Spaced | Call with Kai |
|---|
No analytics yet
Send a link to your students to track their progress
Statistical Inference
It is making conclusion or generalization about the population based on the study of samples
It is composed of estimating the population parameter and hypothesis testing.
Interval Estimate
It is a single value that estimates the population parameter
It is a range or interval used to estimate the population parameter.
Confidence Interval
It is an interval estimate with an associated confidence that it contains the unknown parameter.
Confidence Coefficient
It is the probability that an interval contains the population parameter.
Confidence Level
It is part of all possible samples(in percent) taken from the same population that can be expected to include the true population parameter
It is the other name for interval estimate
Margin of Error
It refers to the maximum likely difference between sample mean and the real population value.
Area
It refers to space under the curve which is equal to one
Bell-shaped
The shape of the normal curve
Limits
The endpoints of the interval

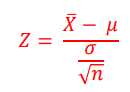
The formula for Z-score when the population variance or standard deviation is known.