1/5
Looks like no tags are added yet.
Name | Mastery | Learn | Test | Matching | Spaced | Call with Kai |
|---|
No analytics yet
Send a link to your students to track their progress
Overview:

Procedure:

What is important to note with burette readings (including the mean titre)?
all volumes measured using a burette should be recorded to 2 decimal places with the second figure being 0 or 5 only
Calculations:

Make a list of any procedural errors. Suggest ways in which these errors can be avoided.
the colour change at the end point is subjective → to avoid this a white tile was used to better see the colour change
Some KMnO4 got ‘stuck’ around the neck of the conical flask → to avoid this, wash the neck with some deionised water
Overshooting end point → go drop wise when nearing predicted end point
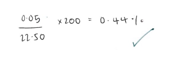
Calculate the % uncertainty for the average titre:
