1/39
Looks like no tags are added yet.
Name | Mastery | Learn | Test | Matching | Spaced | Call with Kai |
|---|
No analytics yet
Send a link to your students to track their progress
In a DNA double helix, _____________________.
the two DNA strands run antiparallel
You are a virologist interested in studying the evolution of viral genomes. You are studying two newly isolated viral strains and have sequenced their genomes. You find that the genome of strain 1 contains 25% A, 55% G, 20% C, and 10% T. You report that you have isolated a virus with a single-stranded DNA genome. Based on what evidence can you make this conclusion?
Double-stranded genomes have equal amounts of A and T
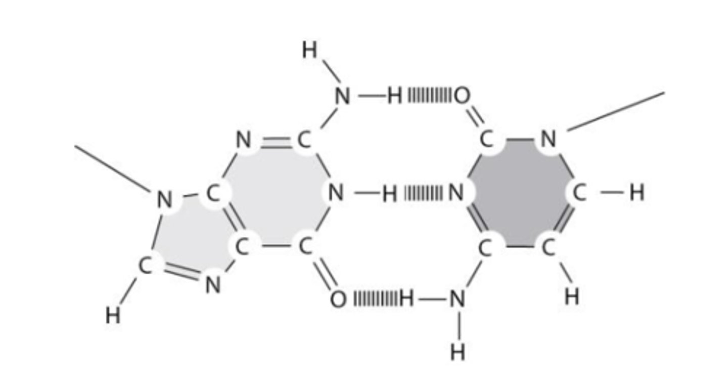
Which DNA base pair is represented in this Figure?
G-C

The human genome is a diploid genome. However, when germ-line cells produce gametes, these specialized cells are haploid. What is the total number of chromosomes found in each of the gametes (egg or sperm) in your body?
23
Which of the following questions would not be answered by using karyotyping?
Do any chromosomes contain point mutations
The classic "beads-on-a-string" structure is the most decondensed chromatin structure
possible and is produced experimentally. Which chromatin components are not retained
when this structure is generated?
linker histones
Interphase chromosomes contain both darkly staining _________________ and
more lightly staining _________ _________. Genes that are being transcribed are
thought to be packaged in a _____________ condensed type of euchromatin. Nucleosome core particles are separated from each other by stretches of ________________ DNA. A string of nucleosomes coils up with the help of _________________ to form the more compact structure of the _______________. A _____________ model describes the structure of the 30-nm fiber. The 30 nm chromatin fiber is further compacted by the formation of ______________ that emanate from a central _________________.
heterochromatin
euchromatin
less
linker
histone H1
30-nm fiber
zigzag
loops
axis
Which of the following best describes the mechanism by which chromatin-remodeling
complexes "loosen" the DNA wrapped around the core histones?
They use energy derived from ATP hydrolysis to change the relative position of the DNA and the core histone octamer.
Cell-free extracts from S-strain cells of S. pneumoniae were fractionated to _________________ DNA, RNA, protein, and other cell components. Each fraction was then mixed with ________________ cells of S. pneumoniae. Its ability to change these into cell
s with ________________ properties resembling the ________________ cells was tested by injecting the mixture into mice. Only the fraction containing _________________ was able to_______________ the _________________ cells to __________________ (or ________________ ) cells that could kill mice.
purify
R-strain
pathogenic
S-strain
DNA
transform
R-Strain
pathogenic
S-Strain
Which of the following DNA strands can form a DNA duplex by pairing with itself at
each position?
5′-AAGCGCTT-3′
Many of the breakthroughs in modern biology came after Watson and Crick published
their model of DNA in 1953. However, chromosomes were identified earlier. In what
decade did scientists first identify chromosomes?
1880s
The complete set of information found in a given organism's DNA is called its ____________.
genome
The information stored in the DNA sequences is used directly as a template to make ___________.
RNA
The human genome is divided into linear segments and packaged into structures called
chromosomes. What is the total number of chromosomes found in each of the somatic
cells in your body?
46
Stepwise condensation of linear DNA happens in five different packing processes. Which
of the following four processes has a direct requirement for histone H1?
formation of the 30-nm fiber
The core histones are small, basic proteins that have a globular domain at the C-terminus
and a long, extended conformation at the N-terminus. Which of the following is not true
of the N-terminal "tail" of these histones?
It binds to DNA in a sequence-specific manner
Which of the following structural characteristics is not normally observed in a DNA duplex?
uniform left-handed twist
Which of the following chemical groups is not used to construct a DNA molecule?
six-carbon sugar
Specific regions of eukaryotic chromosomes contain sequence elements that are absolutely required for the proper transmission of genetic information from a mother cell to each daughter cell. Which of the following is not known to be one of these required elements in eukaryotes?
terminators of replication
The octameric histone core is composed of four different histone proteins, assembled in a
stepwise manner. Once the core octamer has been formed, DNA wraps around it to form
a nucleosome core particle. Which of the following histone proteins does not form part of
the octameric core?
H1
The process of DNA replication requires that each of the parental DNA strands be used as a ___________________ to produce a duplicate of the opposing strand.
template
The classic experiments conducted by Meselson and Stahl demonstrated that DNA replication is accomplished by employing a ________________ mechanism.
semiconservative
How many replication forks are formed when an origin of replication is opened?
2
Which of the following statements correctly explains what it means for DNA replication to be bidirectional?
The replication forks formed at the origin move in opposite directions.
What part of the DNA replication process would be most directly affected if a strain of bacteria lacking DNA ligase were used to make the cell extracts?
lagging-strand completion
Initiator proteins bind to replication origins and disrupt hydrogen bonds between the two DNA strands being copied. Which of the factors below does not contribute to the relative ease of strand separation by initiator proteins?
the reaction can occur at room temperature
What part of the DNA replication process would be most directly affected if a strain of bacteria lacking the exonuclease activity of DNA polymerase were used to make the cell extracts?
lagging-strand completion
What part of the DNA replication process would be most directly affected if a strain of bacteria lacking helicase were used to make the cell extracts?
Initiation of DNA synthesis
Because helicase unwinds the two DNA template strands, replication of both strands depends upon the activity of helicase at the time of initiation.
What part of the DNA replication process would be most directly affected if a strain of bacteria lacking single-strand binding protein were used to make the cell extracts?
Okazaki fragment synthesis
DNA replication is considered semiconservative because ___________________________.
each daughter DNA molecule consists of one strand from the parent DNA molecule and one new strand
What part of the DNA replication process would be most directly affected if a lacking primase were used to make the cell extracts?
leading-strand elongation
If the genome of the bacterium E. coli requires about 20 minutes to replicate itself, how can the genome of the fruit fly Drosophila be replicated in only 3 minutes?
Drosophila DNA contains more origins of replication than E. coli DNA.
How does the total number of replication origins in bacterial cells compare with the number of origins in human cells?
1 versus 10,000
The chromatin structure in eukaryotic cells is much more complicated than that observed in prokaryotic cells. This is thought to be the reason that DNA replication occurs much faster in prokaryotes. How much faster is it?
10×
Which of the following statements is true with respect to this in vitro replication system?
The leading and lagging strands compose one half of each newly synthesized DNA strand.
Leading and lagging strands are synthesized bidirectionally from the replication origin, and are joined together by DNA ligase where the two replication forks meet at the termination site.
DNA polymerases are processive, which means that they remain tightly associated with the template strand while moving rapidly and adding nucleotides to the growing daughter strand. Which piece of the replication machinery accounts for this characteristic?
sliding clamp
Which of the following statements about sequence proofreading during DNA replication is false?
The exonuclease activity cleaves DNA in the 5′-to-3′ direction.
The DNA duplex consists of two long covalent polymers wrapped around each other many times over their entire length. The separation of the DNA strands for replication causes the strands to be "overwound"in front of the replication fork. How does the cell relieve the torsional stress created along the DNA duplex during replication?
Topoisomerases break the covalent bonds of the backbone allowing the local unwinding of DNA ahead of the replication fork.
Telomeres serve as caps at the ends of linear chromosomes. Which of the following is not true regarding the replication of telomeric sequences?
The leading strand doubles back on itself to form a primer for the lagging strand
Even though DNA polymerase has a proofreading function, it still introduces errors in the newly synthesized strand at a rate of 1 per 107
nucleotides. To what degree does the mismatch repair system decrease the error rate arising from DNA replication?
100-fold