Home
Explore
Exams
Search for anything
Login
Get started
Home
Science
Chemistry
chemie vzorce
0.0
(0)
Rate it
Studied by 2 people
0.0
(0)
Rate it
Call Kai
Learn
Practice Test
Spaced Repetition
Match
Flashcards
Knowt Play
Card Sorting
1/59
Earn XP
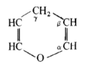
Description and Tags
Chemistry
Add tags
Study Analytics
All Modes
Learn
Practice Test
Matching
Spaced Repetition
Name
Mastery
Learn
Test
Matching
Spaced
No study sessions yet.
60 Terms
View all (60)
Star these 60
1
New cards
benzen
2
New cards
naftalen
3
New cards
anthracen
4
New cards
fenanthren
5
New cards
kumen
6
New cards
cymen
7
New cards
toluen; methylbenzen
8
New cards
o-xylen; 1,2-dimethylbenzen
9
New cards
m-xylen; 1,3-dimethylbenzen
10
New cards
p-xylen; 1,4-dimethylbenzen
11
New cards
styren
12
New cards
vinylchlorid
13
New cards
chloroform
14
New cards
jodoform
15
New cards
fluoroform
16
New cards
perfluorethen
17
New cards
aceton
18
New cards
formaldehyd
19
New cards
acetaldehyd
20
New cards
benzaldehyd
21
New cards
butyraldehyd
22
New cards
\
acetylen
23
New cards
ethylen
24
New cards
oxiran
25
New cards
furan
26
New cards
alfa pyran
27
New cards
gama pyran
28
New cards
tetrahydrofuran
29
New cards
tetrahydropyran
30
New cards
o-benzochinon
31
New cards
p-benzochinon
32
New cards
thiofen
33
New cards
glycerol
34
New cards
propylengylkol
35
New cards
ethylenglykol
36
New cards
anilin
37
New cards
fenol
38
New cards
naftol alfa
39
New cards
naftol beta
40
New cards
pyrimidin
41
New cards
purin
42
New cards
pyridin
43
New cards
pyrrol
44
New cards
glycin
45
New cards
alanin
46
New cards
serin
47
New cards
threonin
48
New cards
valin
49
New cards
leucin
50
New cards
isoleucin
51
New cards
kys. asparagová
52
New cards
asparagin
53
New cards
kys. glutamová
54
New cards
glutamin
55
New cards
arginin
56
New cards
lysin
57
New cards
cystein
58
New cards
methionin
59
New cards
fenylalanin
60
New cards
tyrosin
Explore top notes
Chapter 8 Photosynthesis (1)
Updated 377d ago
Note
Preview
Cell Parts and Functions
Updated 673d ago
Note
Preview
1509 Final
Updated 748d ago
Note
Preview
Types of prayers
Updated 287d ago
Note
Preview
APUSH Chapter 19: Drifting Towards Disunion (Antebellum)
Updated 998d ago
Note
Preview
Chapter 19: Contract as Law
Updated 1186d ago
Note
Preview
Graphing Linear Functions
Updated 1178d ago
Note
Preview
Unit 4: Period 4: 1800–1848
Updated 6d ago
Note
Preview
Chapter 8 Photosynthesis (1)
Updated 377d ago
Note
Preview
Cell Parts and Functions
Updated 673d ago
Note
Preview
1509 Final
Updated 748d ago
Note
Preview
Types of prayers
Updated 287d ago
Note
Preview
APUSH Chapter 19: Drifting Towards Disunion (Antebellum)
Updated 998d ago
Note
Preview
Chapter 19: Contract as Law
Updated 1186d ago
Note
Preview
Graphing Linear Functions
Updated 1178d ago
Note
Preview
Unit 4: Period 4: 1800–1848
Updated 6d ago
Note
Preview
Explore top flashcards
psychology test 2 (copy)
Updated 293d ago
Flashcards (56)
Preview
Anatomy Layering and Sectional Anatomy
Updated 917d ago
Flashcards (114)
Preview
vocab 2
Updated 293d ago
Flashcards (39)
Preview
Mr Lee. Chapter 1 flashcards, test on 02/13/24 (copy)
Updated 677d ago
Flashcards (137)
Preview
Lab 7: Spinal cord and Spinal Nerves
Updated 692d ago
Flashcards (53)
Preview
Lecture 8/ Chapter 7 - Skeletal System 1 (Bones Structure & Function)
Updated 88d ago
Flashcards (39)
Preview
Memory (AP PSYCH)
Updated 715d ago
Flashcards (37)
Preview
Medical Abbreviations
Updated 1064d ago
Flashcards (118)
Preview
psychology test 2 (copy)
Updated 293d ago
Flashcards (56)
Preview
Anatomy Layering and Sectional Anatomy
Updated 917d ago
Flashcards (114)
Preview
vocab 2
Updated 293d ago
Flashcards (39)
Preview
Mr Lee. Chapter 1 flashcards, test on 02/13/24 (copy)
Updated 677d ago
Flashcards (137)
Preview
Lab 7: Spinal cord and Spinal Nerves
Updated 692d ago
Flashcards (53)
Preview
Lecture 8/ Chapter 7 - Skeletal System 1 (Bones Structure & Function)
Updated 88d ago
Flashcards (39)
Preview
Memory (AP PSYCH)
Updated 715d ago
Flashcards (37)
Preview
Medical Abbreviations
Updated 1064d ago
Flashcards (118)
Preview