MED CHEM EXAM 1

0.0(0)
studied byStudied by 0 people
full-widthCall with Kai
GameKnowt Play
learnLearn
examPractice Test
spaced repetitionSpaced Repetition
heart puzzleMatch
flashcardsFlashcards
Card Sorting

1/426

encourage image

There's no tags or description

Looks like no tags are added yet.

Study Analytics
Name
Mastery
Learn
Test
Matching
Spaced

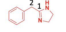
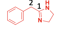
No study sessions yet.

427 Terms

1
New cards

Norepinephrine Synthesis

knowt flashcard image

2
New cards

Norepinephrine Synthesis

Tyrosine → (Hydroxylation) → L-Dopa → (Decarboxylation) → Dopamine → (Hydroxylation) → Norepinephrine

3
New cards

Ortho vs Meta vs Para

4
New cards

ROMP

knowt flashcard image

5
New cards

Activation of α2 receptor inhibits the ________

enzyme adenylate cyclase.

Inactivation of adenylate cyclase → decreases cAMP → → inhibition of further release of norepinephrine (uses negative feedback).

<p>enzyme adenylate cyclase.</p><p></p><p><span style="background-color: transparent; font-family: Arial, sans-serif, Inter, ui-sans-serif, system-ui, -apple-system, BlinkMacSystemFont, &quot;Segoe UI&quot;, Roboto, &quot;Helvetica Neue&quot;, &quot;Noto Sans&quot;, &quot;Apple Color Emoji&quot;, &quot;Segoe UI Emoji&quot;, &quot;Segoe UI Symbol&quot;, &quot;Noto Color Emoji&quot;; font-size: 1.6rem;">Inactivation of adenylate cyclase → decreases cAMP → → inhibition of further release of norepinephrine (uses&nbsp;</span><u>negative feedback</u><span style="background-color: transparent; font-family: Arial, sans-serif, Inter, ui-sans-serif, system-ui, -apple-system, BlinkMacSystemFont, &quot;Segoe UI&quot;, Roboto, &quot;Helvetica Neue&quot;, &quot;Noto Sans&quot;, &quot;Apple Color Emoji&quot;, &quot;Segoe UI Emoji&quot;, &quot;Segoe UI Symbol&quot;, &quot;Noto Color Emoji&quot;; font-size: 1.6rem;">).</span> </p>
6
New cards

Epinephrine (EPI) has a poor oral bioavailability due to extensive metabolism by ______

MAO and COMT

7
New cards

Norepinephrine 


No CH3!

8
New cards

Epinephrine

9
New cards

Epinephrine MOA

Think of sympathetic signaling!

Activates a1 → Vasoconstriction → Good for hypotension

Activates a1 → Vasoconstriction → Good for nasal decongestant (dilation)

10
New cards

Why should catecholamines like NE and Epinephrine be stored away from light?

Bases and lights cause it to oxidize, leading to an ortho-quinone, which then can react with your DNA=bad.

That is why they are always formulated with antioxidants.

11
New cards

Why would you use Epinephrine?

Causes vasoconstriction (leading to hypertension in the sympathetic response) and also dilating blood vessels in mucus membranes (dilate to increase airflow). You want it’s vasodilatory effect.

Thus it also used for allergic rhinitis when the airways close up why? To cause bronchodilation!

12
New cards

What is the problem with ortho-quinone?

Toxic and it can react with DNA, protein, GSH and others.

13
New cards

Epinephrine and all other catechols are chemically susceptible to _______

oxygen and other oxidizing agents, especially in the presence of base and/or light, quickly decomposing to inactive quinones.

14
New cards

All catechol-containing drugs are stabilized with ______

antioxidants and dispensed in air-tight amber containers.

<p>antioxidants and dispensed in air-tight amber containers.</p>
15
New cards

Epinephrine, also known as adrenaline, is used to treat a number of conditions, including ___________

anaphylaxis, cardiac arrest, asthma, and superficial bleeding

<p>anaphylaxis, cardiac arrest, asthma, and superficial bleeding </p>
16
New cards

Anaphylaxis

A severe, potentially life-threatening allergic reaction.

The reaction can occur within seconds or minutes of exposure to an allergen.

Symptoms include a skin rash, nausea, vomiting, difficulty breathing, and shock.

If not treated right away, usually with epinephrine, it can result in unconsciousness or deat

17
New cards

Epinephrine infusions may also be used for symptomatic _____

bradycardia.

Since it causes your HR to go up, and bradycardia is when your HR is too SLOW.

18
New cards

Bradycardia is a type of arrhythmia, or abnormal heart rhythm, that occurs when the heart beats slower than ______

60 beats per minute (bpm).

19
New cards

Epinephrine (Epi Pen) usually is administered slowly by intravenous (IV) injection to relieve a__________  not controlled by other treatments

acute asthmatic attacks

20
New cards

Phenylethanolamine

knowt flashcard image

Common structure for 1 of 2 classes of a1 agonists

21
New cards

Alpha 1 agonists are spilt into what two classes?

2-arylimidazoline

Phenylethanolamine

<p>2-arylimidazoline </p><p>Phenylethanolamine </p>
22
New cards

2-arylimidazoline

Common structure for 1 of 2 classes of a1 agonists

23
New cards

a1 agonist MOA

Stimulates phospholipase C activity.

What is it used for? Vasoconstriction, mydriasis; used for the treatment of hypotension, nasal decongestants, and during eye exams.

24
New cards

-azoline

Alpha 1 agonists that are apart of the 2-arylimidazoline class 

<p>Alpha 1 agonists that are apart of the 2-arylimidazoline class&nbsp;</p>
25
New cards

Phenylethanolamine Alpha 1 Agonists

26
New cards

2-arylimidazoline Alpha 1 agonists 

Suffix: “azoline”

27
New cards

Phenylephrine Structure

Class: Alpha 1 agonists with the phenylethanolamine backbone.

28
New cards

Phenylephrine 

Very frequently found in over-the-counter (OTC) decongestants in cold medications

Short duration of action of less than 4 hrs 

Class: Alpha 1 agonists with the phenylethanolamine backbone.

Structure:

knowt flashcard imageknowt flashcard image

29
New cards

Metaraminol

Alpha 1 agonist used for the treatment of hypotension

Class: Alpha 1 agonists with the phenylethanolamine backbone. 

<p>Alpha 1 agonist used for the <u>treatment of hypotension</u></p><p>Class: Alpha 1 agonists with the <strong><u>phenylethanolamine backbone.&nbsp;</u></strong></p>
30
New cards

Midodrine

Alpha 1 agonist for orthostatic hypotension

Do=A prodrug that does require conversion to the active metabolite, desglymidodrine

<p>Alpha 1 agonist for orthostatic hypotension</p><p>Do=A prodrug that <u>does</u> require conversion to the active metabolite, desglymidodrine </p>
31
New cards

Midodrine Structure

knowt flashcard image

Key: Midodrine does require metabolism to its active metabolite, desglymidodrine

Class: Alpha 1 agonists with the phenylethanolamine backbone. 

32
New cards

Midodrine Metabolism

Class: Alpha 1 agonists with the phenylethanolamine backbone. 

<img src="https://knowt-user-attachments.s3.amazonaws.com/feb410d3-d7ae-40b3-bbf7-dd6ca5e04902.png" data-width="100%" data-align="center"><p>Class: Alpha 1 agonists with the <strong><u>phenylethanolamine backbone.</u></strong>&nbsp; </p>
33
New cards

Alpha 1 Agonists Class w/ phenylehtanolamine backbone

Methoxamine

Midodrine 

Metaminol 

Phenylephrine 

Amidephrine 

NE (Why? The structure is essentially NE minus the two OHs on the catechol!)

34
New cards

Imadazole vs Imidazoline pKAs

35
New cards

Alpha 1 2-aryl imidazoline agonists need a lip_____

ophillic substitution at the ortho position of the phenyl ring

36
New cards

Structure-activity relationship of arylimidazoline agonists

Lipophilic ortho position is required. 

Lipophilic meta/para substitution helps to provide selectivity for the alpha 1 receptor. 

<p>Lipophilic ortho position is <u>required.&nbsp;</u></p><p>Lipophilic meta/para substitution helps to provide selectivity for the alpha 1 receptor.&nbsp;</p>
37
New cards

Mixed-acting agonists

Ephedrine

Pseudoephedrine

MOA: Bind to both alpha and beta adrenoreceptors and displace NE from synaptic vesicles or inhibit their uptake, thus increasing NE concentration at the adrenergic receptors.

Used in cold medications with antihistamines.

38
New cards

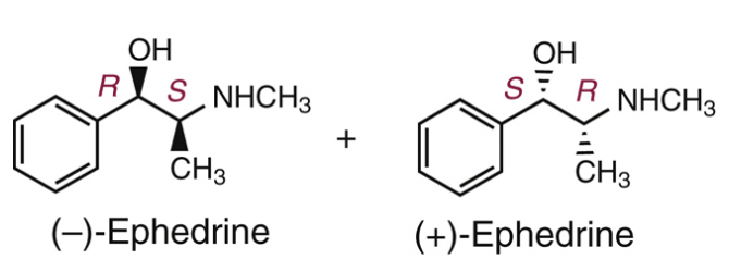
Ephedrine 

Not a substrate for COMT nor MAO. Why? The alpha methyl group sterically hinders its metabolism.

Class: Mixed acting sympathomimetic (targets alpha, beta receptors, and also increases NE concentration).

39
New cards

What is ephedrine regulated?

Ephedrine → Methamphetamine (Meth) 

40
New cards

Loratadine Structure

Antihistamine

<img src="https://knowt-user-attachments.s3.amazonaws.com/332bea22-57be-45e8-8769-ab8a33b209a3.png" data-width="50%" data-align="center"><p>Antihistamine </p>
41
New cards

Diphenhydramine Structure 

Antihistamine

<img src="https://knowt-user-attachments.s3.amazonaws.com/22d54dae-7fba-4a40-814d-f97581d4a988.png" data-width="50%" data-align="center"><p>Antihistamine </p>
42
New cards

Pseudoephedrine Use

Nasal decongestant (in combo OTC products e.g., Claritin-D)

Structure:

Used in products like Zyrtec-D (Allergy + Sinus) and Advil Cold and Sinus

<p>Nasal decongestant (in combo OTC products e.g., Claritin-D)</p><p>Structure:</p><img src="https://knowt-user-attachments.s3.amazonaws.com/e9725632-c682-44b5-b60e-e0965aaf6446.png" data-width="50%" data-align="center"><p>Used in products like<u> Zyrtec-D (Allergy + Sinus) and Advil Cold and Sinus</u>.&nbsp;</p>
43
New cards

Arylimidazoline adrenergic agonists are highly ionic in nature.

They are widely used in topical preparations as nasal decongestants and eye drops for conditions associated with the common cold, influenza, sinusitis, allergic and nonallergic rhinitis, and upper respiratory track infections

44
New cards

Ephedrine is not a substrate for ___ and ___

COMT; MAO

Not for MAO because of the presence of an alpha-methyl group which sterically hinders metabolism by MAO.

45
New cards

Fexofenadine Structure

<img src="https://knowt-user-attachments.s3.amazonaws.com/aaa11fb5-696a-4a04-b957-983c138a6b96.png" data-width="100%" data-align="center"><p></p>
46
New cards

Certizine Structure

<img src="https://knowt-user-attachments.s3.amazonaws.com/eb3381d1-a8b0-48e1-b680-79501db12a31.png" data-width="100%" data-align="center"><p></p>
47
New cards

Mixed-acting sympathomimetics are common ingredients in many ______ with oral decongestant formulations

cold medications

Mixed-acting sympathomimetics:

Ephedrine

Pseudoephedrine

48
New cards

Ibuprofen Structure 

<img src="https://knowt-user-attachments.s3.amazonaws.com/5094ae47-58f5-4eb6-9615-2724df508378.png" data-width="50%" data-align="center"><p></p>
49
New cards

α2 agonist Uses 

Antihypertensive, treatment of glaucoma, sedative & treatment of opiate dependence and alcohol withdrawal symptoms. 

**Even though it’s in the brain! Activates the receptor to lead to a decrease in NE which decreases BP

50
New cards

Alpha 2 agonists Structures

Suffix “idine”, all contain the aminoadamine backbone.

51
New cards

Alpha 2 agonists Nomenclature Exceptions 

Monoxide → HT 

Guanfacine → HT 

Guanabenz →  HT

Methyldopa →  HT

Mnemonic: Asma and Aliza (a2) watched “Good Morning Ginny”.

<p><span style="background-color: transparent;"><strong>Monoxide</strong> → HT<strong>&nbsp;</strong></span></p><p><span style="background-color: transparent;"><strong>Guanfacine </strong>→ HT<strong>&nbsp;</strong></span></p><p><span style="background-color: transparent;"><strong>Guanabenz </strong>→&nbsp; HT</span></p><p><span style="background-color: transparent;"><strong>Methyldopa </strong>→&nbsp; HT</span></p><p><span style="background-color: transparent;">Mnemonic:  Asma and Aliza (a2) watched “Good Morning Ginny”. </span></p>
52
New cards

Clonidine

Used for hypertension

Tablets, Injection, Transdermal System

Due to it’s CNS Side Effects it cannot treat gluacoma

<p>Used for hypertension </p><p>Tablets, Injection, Transdermal System </p><p>Due to it’s <u>CNS Side Effects</u> it cannot treat gluacoma </p>
53
New cards

Clonidine

Class: Alpha 2 agonist with a 2-aminoimidazoline backbone.

Used for Hypertension

So it’s an alpha 2 agonist, think about how Clonidine affects the brain, so the “inidine” suffixes all pertain to that drug class.

54
New cards

Apraclonidine vs Clonidine

Apraclonidine contains an NH2 polar group, which will cause it to be highly ionized at a physiological pH, so it’s less likely to cross the BBB.

Clonidine=cutesy and demure; it will cross the blood-brain barrier → HT

Brimonidine does a little bit of both → crosses the BBB for fatigue and glaucoma use

55
New cards

Suffix: -nidine

Alpha 2 agonists 

56
New cards

Apraclonidine

Brimonidine

Alpha 2 agonists used to treat glaucoma

-nidine: Alpha 2 agonists 

57
New cards

Apraclonidine vs Brimonidine

Apraclonidine: Poor BBB penetration → fewer CNS effects

Brimonidine: Crosses BBB → may cause fatigue/drowsiness

Why? Apraclonidine is highly ionized at a normal pH (can’t cross) and Brimonidine is very lipophillic

58
New cards

2-Arylimidazoline VS 2-aminoimidazoline

Outlier: Lofexidine which is an alpha 2 agonist but doesn’t have the 2-aminoimadzoline backbone

59
New cards

2-Arylimidazoline vs 2-aminoimidazoline Clinical Use

2-Arylimidazoline: Alpha 1 agonist for nasal decongestant (the other class for alpha 1 was for hypotension also).

2-aminoimidazoline: Alpha 2 agonist for hypertension, glaucoma

60
New cards

Methyldopa

Also like midodrine both are prodrugs that need to be converted to their activie metabolite 

But methyldopa is alpha 2, hypertension and midodrine is alpha 1 for hypotension

61
New cards

Guanfacine, guanabenz, and moxonide are used for the treatment of _____

hypertension

All alpha 2 agonists!

62
New cards

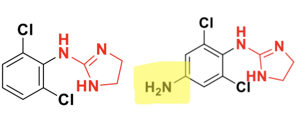
What does the 2-arylimidazoline vs 2-aminoimidazoline rings require for activity? 

2-arylimidazoline: Liophilic ortho substitution and needs an Imidazoline Ring 

2-aminoimidazoline: Phenyl needs one ortho Chlorine or Methy,l but the Imidazoline Ring not required 

63
New cards

Tizanidine

“idine” → Alpha 2 agonist

Used for muscle spasticity due to spinal cord injury or multiple sclerosis

64
New cards

Tizanidine readily crosses the ________ reducing spasticity by increasing presynaptic inhibition of motor neurons

BBB where it functions as a α2 -adrenergic agonist

“idine” → Alpha 2 agonist

<p><strong>BBB</strong> where it functions as a α2 -adrenergic agonist</p><p>“idine” → Alpha 2 agonist</p>
65
New cards

Tizanidine

Alpha 2 agonist that readily crosses the BBB and is used for the treatment of muscle spasticity.

66
New cards

All alpha 2 agonist have the 2-aminoimidazoline backbone except….

knowt flashcard image

Also…Guanfacine, Guanabenz, Moxonidine, Methyldopa

67
New cards

Lofexidine is an agonist of α2 adrenergic receptor and used for the treatment of _____ symptoms in adults (approved in 2018)

opioid withdrawal

“idine” → Alpha 2 agonist

Does not have a 2-aminoimidazoline backbone!

<p>opioid withdrawal</p><p>“idine” → Alpha 2 agonist</p><p><strong>Does not have a 2-aminoimidazoline backbone!</strong></p>
68
New cards

Guanfacine Structure

Used for Hypertension

Class: Alpha 2 agonist, but does not contain the 2-aminoimidazole backbone like lofexidine.

**Open ring analog of clonidine.

69
New cards

Systolic vs Diastolic Pressure

Systolic → Blood pumped out of the heart

Diastolic → Resting state between heartbeats

70
New cards

Guanabenz Structure

Used for Hypertension

Class: Alpha 2 agonist, but does not contain the 2-aminoimidazole backbone like lofexidine.

**Open ring analog of clonidine. 

71
New cards

Moxonidine Structure 

Used for Hypertension

Class: Alpha 2 agonist, but does not contain the 2-aminoimidazole backbone like lofexidine

72
New cards

What do the structures of Guanfacine, guanabenz, and moxonide reveal for alpha 2 agonists?

The imidazoline ring was not necessary for the activity, but the phenyl ring requires at least one ortho chlorine or methyl group

73
New cards

Methyldopa

Used for the treatment of hypertension

An alpha 2 agonist that does require conversion to its active metabolite to be selective for the alpha 2 agonist.

74
New cards

Dexmedetomidine is an agonist of α2 adrenergic receptor which was approved for the ____

sedation purpose (approved in 2020)

“idine” → Alpha 2 agonist

Also decreases blood pressure and heart rate!!  

<p>sedation purpose (approved in 2020)</p><p>“idine” → Alpha 2 agonist</p><p></p><p>Also decreases blood pressure and heart rate!!&nbsp;&nbsp;</p>
75
New cards

What do the structures of Guanfacine, guanabenz indicate for alpha 2 agonist?

The imidazoline ring was not necessary for the activity, but the phenyl ring requires at least one ortho chlorine or methyl group.

76
New cards

Is methyldopa the active form of the drug?

No, it’s the active metabolite that is so.

77
New cards

What part of molecules does COMT metabolize?

The catecholamine

For Sudafed, by not having a catecholamine means that it will not be metabolized by COMT but since it has a methyl it will be by MAO.

78
New cards

Apraclonidine vs Clonidine 

Apraclonidine: Contains an NH2 group which is polar 

This means that it will not cross the BBB like clonidine making it a better candidate for glaucoma (in the eye) than clonidine. 

79
New cards

“pril”

ACE inhibitors 

80
New cards

“sartan”

ARBs

81
New cards

Normal HT 

Less than 120 (Systolic) 

Less than 80 (Diastolic) 

Anything higher than these values is HT 

82
New cards

140/90 mmHG

High Blood Pressure

83
New cards

What is the first line of therapies for patients with high blood pressure?

Thiazide Diuretics

Calcium Channel Blockers

Angiotensin-Converting Enzymes

** Beta-blockers if this treatment options fail

84
New cards

ABCD

First line therapies for hypertension

A: Angiotensin-Converting Enzyme Inhibitors (ACE Inhibitors) 

B: Beta Blockers 

C: Calcium Channel Blockers 

D: Diuretics 

85
New cards

ARBs suffix

“sartan”

86
New cards

Calcium Channel Blockers suffix

“dipine”

87
New cards

Diuretics Suffix

“ide”

88
New cards

Beta Agonists Classes

knowt flashcard image

89
New cards

____ β-blockers are often preferred in patients with respiratory conditions like asthma or COPD due to their reduced effect on bronchoconstriction compared to non-selective β-blockers.

Selective

90
New cards

Dobutamine

β1 adrenergic agonist used as a cardiac stimulant after surgery or congestive heart failure (IV only)

91
New cards

Dobutamine Structure

Only B1 agonist.

Catechol Structure allows it to be quickly degraded by COMT, which is used as a cardiac stimulant after congestive heart failure. 

92
New cards

How does the structure of dobutamine effect it’s metabolism?

Contains a catechol: Metabolized by COMT 

Thus, it has a short duration of action and no oral activity

93
New cards

Dobutamine is an example of what?

Beta 1 agonist 

94
New cards

All SABAs are resistant to COMT metabolism except what?

Isoetharine 

95
New cards

What is the common structure in short-acting Beta agonists (SABAs)?

Resorcinol

This prevents COMT metabolism and allows SABA to be slowly metabolized by MAO.

<p>Resorcinol</p><p>This prevents COMT metabolism and allows SABA to be slowly metabolized by MAO. </p>
96
New cards

This indicates that the structure is what?

SABA (Resorcinol)

97
New cards

Structures of SABAs

It contains a Resorcinol that is not metabolized by COMT but by MAO.

But also, the MAO metabolism is slow because the nitrogens are very sterically hindered, making it harder for them to be metabolized.

Exception: Isoetharine

98
New cards

Metaproterenol vs Terbutaline

Short-acting β2 agonists → Used for COPD/Asthma

Terbutaline: Can be used for long-term treatment since the nitroge

is more sterically hindered, increasing the time it takes for MAO metabolism to occur.

99
New cards

How can albuterol be administered?

Inhaled or orally

100
New cards

What makes levalbuterol so special?

This is the R enantiomer of albuterol.

Meaning that compared to the structure of epinephrine, this will be bind to the B2 receptors more potently because it structure is similar to that of epinephrine (natural sympathetic analog which triggers bronchodilation).

<p>This is the <u>R enantiomer of albuterol</u>. </p><p>Meaning that compared to the structure of epinephrine, this will be bind to the B2 receptors more potently because it structure is similar to that of <mark data-color="#3774d6" style="background-color: rgb(55, 116, 214); color: inherit;">epinephrine (natural sympathetic analog which triggers bronchodilation).  </mark></p>