1/32
Looks like no tags are added yet.
Name | Mastery | Learn | Test | Matching | Spaced |
|---|
No study sessions yet.
reaction 1
pyruvate + oxaloacetate = citrate
enzyme 1
citrate synthase
reaction 2
citrate → isocitrate
enzyme 2
aconitase
reaction 3
isocitrate + NAD → a-ketoglutarate + NADH + CO2
enzyme 3
isocitrate dehydrogenase
reaction 4
a-ketoglutarate + CoA-SH + NAD → succinyl-CoA + NADH + CO2
enzyme 4
a-ketoglutarate dehydrogenase complex
reaction 5
succinyl-CoA + GDP + Pi → succinate + CoA-SH + GTP
enzyme 5
succinyl-CoA synthetase
reaction 6
succinate + FAD → fumarate + FADH2
enzyme 6
succinate dehydrogenase
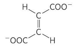
reaction 7
fumarate + H2O→ L-malate
enzyme 7
fumarase
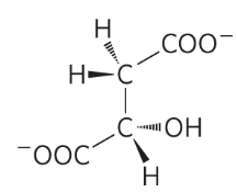
reaction 8
L-malate + NAD → oxaloacetate +NADH + H
enzyme 8
L-malate dehydrogenase
3 ways to regulate krebs cycle
isocitrate dehydrogenase, a-ketoglutarate dehydrogenase, citrate synthase (bacteria only)
what inhibits isocitrate dehydrogenase
NADH and ATP
what stimulates isocitrate dehydrogenase
ADP
what inhibits a-ketoglutarate dehydrogenase
NADH, ATP, and succinyl-CoA
what inhibits citrate cynthase
ATP

acetyl-CoA

oxaloacetate

citrate

cis-aconitate

isocitrate

a-ketoglutarate

succinyl-CoA

succinate

fumarate

L-malate
which enzymes produce NADH
isocitrate dehydrogenase, a-ketoglutarate dehydrogenase, L-malate dehydrogenase
which enzyme produces FADH2
fumarase